消灭它们能消除恐惧?焦虑者知觉策略更保守? | Paper Alert
原创 NR 神经前研
认知与行为
新手带娃小贴士:多听
Schiavo et al., Nature
@Veronica
宝宝哭闹的时候,妈妈总能在第一时间认出宝宝的哭声。哭闹的声音各异,有的是因为饿了,有的是因为要换尿布了,有的纯粹就是不开心。神奇的是,妈妈总能分辨出来不同的哭闹声,无论在忙什么都会马上赶来安抚宝宝,止住啼哭。
这似乎不仅仅是人类妈妈的本领,很早之前科学家就发现,鼠妈妈也能分辨小鼠宝宝的求救信号(distress call),即使每次的求救信号都不一样,鼠妈妈依然能准确识别出来这些信号,并及时把小鼠重新衔回身边。这种本领是与生俱来的,还是后天习得的呢?近日,来自纽约大学的一群研究人员回答了这个问题。
通过测量,研究者首先得出小鼠求救信号的声音特点是各重复音节之间的时间间隔(Inter-syllable intervals, ISIs)在75毫秒到375毫秒之间。于是,他们将ISIs约在175毫秒左右的设为原型(prototypes)求救信号,并在保证其他特性不变的情况下,在原型信号中人为延长或缩短音节间的时间间隔,制造出各种变形的求救信号(morphs)。一般来说,鼠妈妈只会衔回能发出声音的鼠宝宝,而不会理会处于麻醉状态的鼠宝宝,有趣的是,一旦研究者给麻醉状态的鼠宝宝“配乐”出ISIs为75-375毫秒的求救信号,鼠妈妈便开始衔回麻醉鼠宝宝了,而如果只“配乐”单音节、或者ISIs大于375毫秒的求救信号,鼠妈妈则很少会有衔回宝宝的行为。
这种鼠妈妈对求救信号的敏感性是否先天就有呢?为了回答这个问题,研究者通过钙信号成像法分别观察了两种处女鼠左侧听觉皮层兴奋性神经元的信号反应。一种为完全无经验的处女鼠(没见过鼠妈妈听到求救信号后衔回鼠宝宝行为,naïve virgins),另一种则为有经验的处女鼠(见过鼠妈妈听到求救信号后衔回鼠宝宝行为,experienced virgins)。他们发现,两种处女鼠对原型求救信号都有强烈的反应。而对ISIs为75—375毫秒的变形求救信号,无经验处女鼠的反应较弱,有经验处女鼠则反映强烈。也就是说,与无经验处女鼠相比,有经验处女鼠对求救信号ISIs的选择性更广谱,而无经验处女鼠仅能识别175毫秒的原型求救信号。

- Schiavo et al., Nature -
有趣的是,虽然无经验处女鼠识别鼠宝宝求救信号的能力远不如有经验的处女鼠,但如果将无经验处女鼠放进同一个鼠妈妈养宝宝的笼子里(共笼, co-housing),它们也很快就能学会识别求救信号,开始衔回小鼠。如果通过钙信号成像记录无经验处女鼠的兴奋性神经元的“学习”过程,研究者则发现这些原本只对原型求救信号有选择性的神经元,在共笼后慢慢地变得对其他ISIs的求救信号有更广谱的选择性了。更神奇的是,如果给共笼的处女鼠定期播放一段通常不会引起神经元反应的长间隔ISI求救信号(ISI 为575毫秒),这些神经元竟慢慢地对575毫秒的求救信号也产生了选择性。
这些神经元的“学习”过程是否与大名鼎鼎的催产素(Oxytocin)有关呢?为了搞清楚这个问题,研究者给处女鼠在播放求救信号的同时通过光遗传技术抑制催产素神经元的活性。结果发现当催产素神经元被抑制以后,无论是对活动的小鼠还是“配乐”原型求救信号的麻醉小鼠,处女鼠衔回鼠宝宝的行为都减少了,不仅如此,听皮层的神经元对求救信号的广谱选择性也没有如约出现——看来,催产素不仅广泛参与育婴行为,它的活性在母鼠识别求救信号的学习过程中也非常关键。
doi: 10.1038/s41586-020-2807-6
小鼠的走走停停,
靠杏仁核来“决定”
Botta et al., Cell
@阿莫東森
在探索中,小鼠会表现出一阵阵的“冲刺”(bouts)和“停滞”(arrests),前者是为了进一步扩大探索区域,后者则是为了更详尽地检验当前区域。因此,冲刺和停滞的决定,需要整合当前的环境信息(外界信息)和内在状态(内部信息)。
在这其中,过往的外界信息,也称为“经验”(experience),是十分重要的。试想,在一个片熟悉的地域,小鼠已知A点可能有水,B点可能有吃的。当小鼠经过这两个点的周围时,就应该放慢脚步,进一步检验当前区域是否有自己“想要”的东西(水和食物)。因此,阐明小鼠整合经验的机制,就必须要先理解小鼠根据经验(experience-dependent)决定走走停停的神经环路。

- Botta et al., Cell -
在一项发表于Cell的新研究中,哥伦比亚大学的Rui Costa组决定在杏仁核中寻找介导这一机制的环路。利用钙离子成像技术,监测活动小鼠杏仁核中的神经元活动,他们发现在BLA(basolateral amygdala,底侧杏仁核)中,有一小撮名为“NL189”的神经元的发放频率与小鼠的运动速度呈反比例关系;也就是说,这群神经元在小鼠停滞的时候,发放得最剧烈。
为了确定NL189神经元与小鼠停滞的因果关系,Costa等人在这群神经元中分别表达了hChR2和Jaws,以光遗传学来激活和抑制这一群神经元。他们发现,短暂激活,抑制这群神经元,分别能降低小鼠的速度并诱导停滞,和增加小鼠的移动速度。
为了进一步确定这群神经元是否参与上文所说的依赖经验的停滞决策,他们训练小鼠逐渐熟悉整个布有奖励的场地(图2),并每天监测小鼠在奖励区时,NL189神经元的发放规律。他们发现,随着小鼠越来越熟悉整个场地,NL189神经元的发放也越来越规整,与停滞的程度呈正相关。进一步的示踪实验表示,这一群BLA的神经元会投射到CEA(central amygdala,中央杏仁核)中;CEA则直接与运动系统相联。因此,NL189神经元能通过CEA,介导小鼠依赖经验的停滞决策。

- Botta et al., Cell -
doi: 10.1016/j.cell.2020.09.023
选这个,有没有信心?
内侧颞叶的神经元有话说
Unruh-Pinheiro et al., Curr. Biol.
@肖本
决策的测量有三个要素:选择(choice)、反应时间(reaction time)和信心(confidence)。选择往往基于主观价值(subjective value),而主观价值是可以浮动的。一些癫痫患者脑中的电极恰好会覆盖内侧颞叶(medial temporal lobe,MTL),所记录的电活动可以用来探究“决策三要素”的神经基础。
来自德国的研究团队为此设计了如下图所示的实验:受试者会评价每种食物的主观价值,在强迫选择任务(two-alteranative forced-choice task, 2AFC)中选择不同食物,并标明自己的“信心”。同时,受试者将食用图中的食物——心满意足(satiation)后,主观价值也就理当发生变化。重复测试将捕捉到这一重要的变化,将主观价值同食物或图片刺激自身的属性区分开来。

结果显示,有些单元记录到的神经活动与信心评分呈正相关,其放电会在汇报完信心后停止。同时,这些电活动也会随食用食物前后的信心一起变化。还有一部分放电和反应时间相关,且其相关性在做出选择后也会下降。分析显示,这两种信号应该来自两组不同的神经元,且信心和反应时间在解释这些活动上的表现“打败”了其他122个可能的变量。
研究人员还观察到了一类瞬时的(transient)、与各个图片刺激同步(stimulus-locked)的活动。虽然这些活动与主观价值或者价值的绝对值有一定的关联性,但和一些营养方面的变量相比,主观价值并不能提供更好的解释。而且,食用了相应的食物后,这些活动并没有明显的改变——这更让人怀疑这些活动是否真的可以代表主观价值。总之,这项工作找到了内侧颞叶中与决策信心和反应时间相关的神经元,并发现了一些与刺激相同步的神经活动。
doi: 10.1016/j.cub.2020.09.021
焦虑者,知觉决策也要保守为上?
Kraus et al., Cognition
@肖本
是什么让一个人表现出特质焦虑(trait anxiety)?预测加工(predictive processing)理论体系中有这样的一种假设:负面情绪来自世界中的不可预测性,而一个平均值为负、方差较大的超先验分布(hyperpriors)——也就是关于可预测性的先验概率(prior)——可以用来解释特质焦虑。来自柏林的研究团队认为,根据这一理论,特质焦虑的人会过分地追求可预测性,依赖先验概率。研究者们认为,这样的倾向不但反映在认知中,还可能反映在知觉与决策上。
为了验证他们的猜想,该研究团队一方面取得了受试者的特征焦虑分数,另一方面则用随机点动实验(random dot kinematogram)测量其知觉决策(perceptual decision making)。如图中第三格所示,受试者需要判断动点的整体运动方向。该团队以箭头提示的形式(如图中第二格所示),人为地给受试者引入一个可以依赖的先验——当然,箭头的提示只有75%的时候是准确的,且有时会保持“中立”,不给出有用信息。

实验结果显示,提示是否有效,要受特质焦虑分数的影响——焦虑分数越高,那些准确的提示对决策的影响就越大。不过,意外的是,不准确的提示和中立的提示却没有受到特质焦虑的区别影响。同时,研究人员也承认,这一实验无法显示提示对知觉、注意力和决策等多个过程的区别影响。
doi: 10.1016/j.cognition.2020.104474
“水清无鱼”:
利他行为里的奇怪现象
Burum et al., Nat. Hum. Behav.
@狗尾巴花
科学家很早就注意到一个奇怪的现象:做好事的时候,人们似乎并不太关心效率——他们向慈善机构捐款,却很少计较这些帮助究竟起了多大的作用,也不太纠结有没有其他方式能使这笔金钱更好地帮助其他人。与那些“每一笔捐款都能做出改变”的募捐口号不同,人类的利他行为并不注重这些“改变”。那么问题来了:为什么我们会愿意捐钱,但又不讲究捐钱的效率呢?
学者们提出了不同的理论,但主要集中在“认知和情感的局限性”上。比如,我们不擅长处理太大的数字,很难对一个抽象概念产生移情并伸出援手,或者,我们自我感觉比较良好——我们会高估自己的贡献。
这些假设似乎都合情合理,但哈佛大学的一组科学家在最近的一项研究中对这种“情感和认知局限理论”提出了质疑。他们认为,先前的理论都没有真正“解释”低效利他行为,这些“原因”本身也需要解释(比如,为什么我们对抽象的概念/群体很难产生移情呢?尤其,为什么我们在捐钱的时候很难对抽象概念产生移情呢?)。为了解决这个问题,Burum和同事设计了5个实验,并提出了一个新的假设:取得社会奖励(social reward)是人们进行利他行为的主要动机,但社会奖励对好人好事之“效率”并不敏感,从而导致我们不甚在意自己的利他行为之结果。
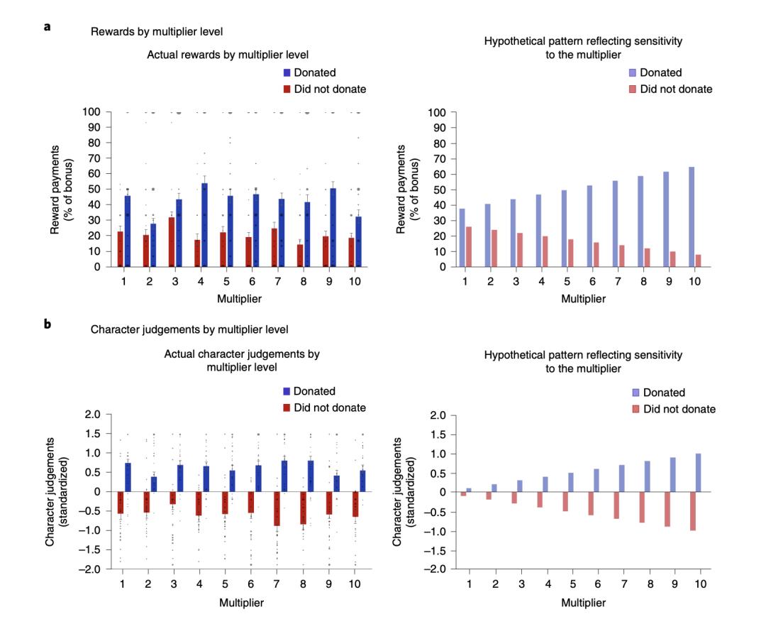
实验1中,被试们处理奖金时有两个选择:捐掉或者存起来。相比为自己存钱,捐钱的时候人们并不会考虑”收益“的大小(如图)。这说明,人们并非无法计算收益的大小,当钱是留给自己的时候,他们会毫不犹豫地在回馈(multiplier)较高的时候大量存钱以换取更多的收益。

不过,“留给自己”和“捐给他人”不太好直接比较,于是实验2中,捐款的对象换成了陌生人/自己的亲人。当他们被要求捐出自己的“钱财”来帮助一个或五个人度过难关时,人们只会在给自己的亲人捐钱时考虑需要帮助的人数——五个亲人需要帮助,就会捐出更多的钱。而在给陌生人捐款时,人们不仅捐的钱少,更不会“看人下米”,捐款的数目没有因为对象的增加而增加。这个实验表明,人们也不是意识不到“帮助更多的人需要更多的钱”,他们只是没那么在乎。研究人员提出,这种情况的出现可以用进化解释:为了使个体的一部分基因流传下去,我们天生会倾向于保护与自己有血缘关系的人。在陌生人和家人之间取舍并不难(如图)。

前两个实验研究的是亲自实践利他行为,那人们如何看待其他人的利他行为呢?
此前的研究表明,社会奖励和社会惩罚在人类社会中十分重要,第三方(非帮助者/受益者,非加害者/受害者)往往会放弃自己的一部分利益(比如金钱)来奖励善行,惩罚过失。与此相符,本研究中的被试也更愿意拿出自己的奖金,奖励那些愿意捐款的人。但有趣的是,奖励的多少与捐款的实际效率无关。当一份捐款可以以十倍的数量到达受捐者手中时,捐款人的善举并不会比只捐一份(即没有multiplier)时得到被试更多的社会奖励。甚至,实际捐了十倍的钱也不会比只捐一份钱更多地提高他们的声望(如图)。
研究人员由此提出,由于缺乏社会奖励,人们没有进化上的动机去提高对捐款效率的敏感度。这个假说背后的逻辑在于,如果某个行为可以使某人得到社会奖励,那么其或其家人就获得了更多的资源,更有可能成功生存繁衍,延续甚至改善自己的基因。因此人们会有进化上的动机去尽可能以最少的付出获取最多的社会奖励——比如,帮助他人,又不愿意多帮。

这个假设会得到更多数据支持吗?实验4和5中,研究人员分别控制了捐款的绝对数值和相对占比。实验4中,相比那些倾其所有捐出10份钱的人,同样倾其所有捐出20份钱的人并不会得到被试的额外奖励或者好评。实验5中,同样是捐了60份钱,捐出自己80%财产的人并不会比只捐出自己67%财产的人获得被试的额外奖励或好评(如图)。这些数据都支持了作者们的“社会奖励”假说,使其成为一个解释低效利他行为的有效理论。

说得挺弯弯绕的,其实这个逻辑很简单:科学家假设人类是“理性决策者”,随时试图最大化利益——利己行为中是最大化自己的利益,利他行为中则是最大化他人的利益。
然而,利他行为的低效特点似乎违背了这一“理性决策者”假设。相比从前的“情感和认知局限”理论,这篇文章的观点圆上了逻辑:利他行为的重要动机是为自己和亲人争取社会奖励(物质和精神上的都有),由于人类是“理性决策者”,他们会试图以最小的代价取得最多的奖励,因此他们有动机利他,却只会低效地利他。
不仅如此,作者还对社会奖励的缺失做出了猜想。他们提出,“善举”必须满足三个条件:1)定义明确,2)容易观察,3)标准统一。一个能获得社会奖励的行为,必须能被大多数社会成员认同是一件“好”事,且容易取得直接的观察证据。
因此,相比去试图去份“虽然他只有十块钱,但全捐了出来”和“虽然他捐了十块钱,但他有一百呢”的高下,社会往往会采取重结果、轻动机的方式规避这种界线模糊的难题——一视同仁,捐了钱就是好的,捐多捐少、怎么捐、为了什么捐,都没有那么重要。这个观点其实有一点中国人“水至清则无鱼”的意味:有时候计较得太明白容易适得其反。允许个体的“私心”存在,奖励他们的小善行,反可能更有利于整个群体的发展。
人类是复杂的动物,人类社会是复杂的社会,人类的社会行为更是盘根错节、极尽精微。正如文章作者所指出的那样,很难有一个理论可以解释所有情况。加之实验本身的样本多样性局限、特定的社会文化背景和实验室实验的设计局限,想要理解利他行为及其低效性还需要更多的研究。
doi: 10.1038/s41562-020-00950-4
系统与网络
海马细胞有“个性”,
位置野数量受内在兴奋性决定
Lee et al., Cell
@阿莫東森
同一个脑区中的细胞不一定是同质化(homogeneous)的。实际上大多数时候,同一个脑区中不同的细胞都有着不同的“个性”——海马体(hippocampus)也不例外。以活动小鼠全胞膜片钳(whole-cell patch-clamp in freely behaving mice)而闻名的Albert Lee近日带领团队在Cell上发文,称发现了小鼠海马体CA1区内的兴奋性神经元(编码记忆的主要细胞)在不同环境下的“行为”,可以用一个变量来解释,那就是野倾向(field propensity)。
上世纪70年代,UCL的John O'Keefe和Dostrovsky在小鼠的海马体内发现了位置细胞(place cells),这些CA1区内的细胞会在小鼠处于(或途径)特定位置的时候高频发放,这些特定位置就称为位置细胞的位置野(place fields)。当小鼠进入不同环境时,单个细胞的位置野会发生重投射(remapping),转换到新环境中的另外一个位置;这种重投射不仅没有规律可循,而且一些细胞在新环境中还会没有位置野。也就是说,一个细胞可以在八个环境中有八个无规律重投射的位置野,也可以在八个环境中,只在其中的一个里有位置野。Albert Lee团队的新研究发现,这种产生位置野的倾向,是被单个细胞的野倾向决定的。这也就意味着,空间编码的密度有着低到高的广阔范围。
通过进行活动小鼠全胞膜片钳记录,Lee等人发现,单个细胞的野倾向是由细胞的内在兴奋性(intrinsic excitability)决定的。
doi: 10.1016/j.cell.2020.09.024
CaRMA: 当钙信号遇见基因表达
Xu et al., Science
@Veronica
不知是否你有这样的困惑:当读到神经环路的研究时,你发现操控某一类神经元就能影响一种特定的行为,似乎神经元类型和行为类型有一一对应的关系。而当读到钙信号成像的研究时,由于钙成像技术通常并不区分不同的细胞类型,你又发现不同类型的神经元也能够同时编码一种行为。到底是一种细胞对应编码一种行为?还是群体细胞编码行为,而与细胞类型无关?抑或是介于两者之间,即神经元的活动以细胞类型为单位,某种细胞类型可能对某种行为有更相近的信号反应,但一种行为又同时通过多种类型的神经元编码呢?
解决这个问题的关键在于需要同时掌握活体小鼠的神经元活动信息和该神经元的基因表达信息。最近的一项技术CaRMA (Calcium and RNA multiplexed activity) 聪明地结合了钙信号成像和多重荧光原位杂交技术,不仅能记录各种行为中神经元的钙信号响应,而且能知道这些神经元的基因表达信息,从而确定神经元的类别。通过这种方法,研究者对小鼠下丘脑室旁核(paraventricular hypothalamus, PVH)神经元在进食、饮水、恐惧提取、饥饿等11种行为中的活动信息和基因表达进行了详细分析,他们得出的结论或许能解决你的困惑。
首先,研究者运用单细胞测序技术(single-cell RNA sequencing ,scRNA-seq) 对PVH区域细胞进行非监督聚类分析(unsupervised clustering),从而根据基因表达信息将PVH的细胞划分成12个细胞类型,找出对应每个细胞类型的标记基因(marker genes),并且成功地通过4轮三重荧光原位杂交(three-plex RNA-fluorescent in situ hybridization)将这些标记基因在PVH脑区标记出来。在接下来的实验中,通过算法,他们将钙信号成像记录到的神经元和PVH脑区荧光标记到的12种细胞类型在位置上一一对应起来,这样就可以同时知道神经元在各种行为中的钙信号和相应的基因表达信息了。

研究者发现,如果细胞类型和行为是一一对应关系的话,当行为多于六种时,则没有一个细胞只针对一种行为有反应了,这说明第一种假说并不正确。不仅如此,行为编码取决于各种细胞类型的不同组合、不同反应强度和不同的时间动态。比如,有些细胞类型在不同的行为中反应非常相似,而有些细胞类型在不同的行为中反应则大相径庭。又比如在时间层面上,有的细胞类型会在同一行为上一直活跃,而有的细胞类型则只在该行为的某一段时间内活跃。如果将PVH区域的其中10 种细胞类型中各取一个细胞,通过训练分类器来预测这些细胞参与了哪一种行为,结果发现,从已知的细胞类型中取一个细胞来预测行为,其正确率高于从10种虚设细胞类型(dummy cell types)中各取1个细胞的预测。这些结果都表明第三种假说更有可能。
接下来的问题是,如果不同的细胞类型能结合起来编码行为,不同的基因组合中是否也能找到编码行为的信息?作者运用机器学习中的序列特征前向选择方法(sequential forward feature selection, SFFS)来寻找针对每一种行为状态的最佳基因表达组合。他们发现,如果用2到6个最佳基因表达组合去预测行为,其正确率甚至比所有基因放在一起预测更高,其中神经肽YY1受体(neuropeptide Y receptor type 1 ,Npy1r)是最能预测行为的基因之一。不仅如此,不同的基因表达组合在不同行为中预测能力也会相应变化,比如有的基因表达组合在恐惧提取行为的开始阶段预测能力很高,但其预测能力在之后的时间内则会渐渐下降,这说明基因表达组合同细胞类型一样,在编码行为的过程中是动态的。
CaRMA不依赖特异的小鼠基因品系,只需要注射标记钙信号的病毒就可以将基因表达、细胞活性和动物行为联系起来,并且比单一小鼠基因品系预测行为更准确,这在神经生物学研究领域是一项重要的进步。
doi: 10.1126/science.abb2494
中央杏仁核如何整合信息?
环路研究带来了更多启示
Ponserre et al., J. Neurosci.
@小盐
过往的研究发现,输入中央杏仁核(Central amygdala, CeA)的神经元信号既能够激发欲求行为(appetitive behaviour),也能引发厌恶行为(aversive behaviour),这表明中央杏仁核在整合信息中的重要作用。过往的研究也确定了许多输入中央杏仁核以及其投射的脑区。然而,人们仍然不清楚中央杏仁核是如何中转这些信号的。因此,研究团队从确定脑区间的环路结构入手,试图揭示中央杏仁核在情绪学习中的作用。
研究人员首先根据中央杏仁核神经元所投射脑区的不同,对中央杏仁核内的神经元进行了分类。通过所投射脑区注射逆行运输的霍乱毒素B(Cholera Toxin subunit B, CTB),研究团队将CeA的投射神经元划分为LH-(lateral hypothalamus,外侧下丘脑)、BNST-(bed nucleus of the stria terminalis,终纹床核)、PAG-、PBN-四类,发现它们在空间排布、放电和分子性质上都有所不同:投射区域相同的神经元更倾向于分布在中央杏仁核内的同一区域。接着,研究人员运用逆向病毒示踪的方法,建立了脑岛皮层(insula cortex,IC)--CeA—LH的神经环路。同时,使用光遗传技术选择性激活IC神经元能够激发CeA中LH投射神经元的活动,从而激活c-Fos的表达。这些结果表明,CeA中的神经元分别与不同的输入脑区和投射脑区相连,这或许有助于CeA整合多种信息。
这些结果从结构角度对于该环路的功能提供了启示,然而值得注意的是,该研究并没有从行为层面对该环路的功能进行探究。

doi: 0.1523/JNEUROSCI.0567-20.2020
细胞与分子
不同的“渴”告诉不同的细胞
Badimon et al., Nature
@图图
如果渴了,我们就会寻找水源摄取水分,这是本能。然而,你是否知道,渴也可以分为不同种类的呢?
一般人体感觉到渴,一种可能是因为我们的血液渗透压增高(例如吃的食物太咸),本着维持内稳态平衡的原则,我们需要摄入水分来降低渗透压。另一种可能是我们损失了体液(例如马拉松比赛中运动员们汗如雨下),造成低血容积渴觉,这种情况下我们不仅需要水分也需要补充矿物质及盐分。然而大脑是如何区别不同渴觉的刺激并调控不同的摄水行为仍是个谜。
来自加州理工学院的一群研究者们首先确定了渗透压和血容压的变化可以激活相应的位于环心室器官(circumventricular organs,CVOs)的不同神经元群体,接着通过单细胞RNA测序鉴别出了前脑CVO-穹窿下器(subfornical organ,SFO)和终板血管器( organum vasculosum lamina terminalis,OVLT)的细胞种类,并注意到兴奋性神经元的多样性要远大于抑制性神经元。
为了进一步确认参与不同渴觉情况的特定神经元基础,他们开发并优化了一种新技术可以精确定位某种刺激相关的细胞种类,通过这项技术他们发现不同的口渴状态会激活CVO里特定组合的多种渴觉细胞,形成刺激-细胞组合的一一对应的关系。一但光激活特殊渴觉状态的细胞群体,就会相应重现老鼠处于渗透压增大或低血容积状态下的饮水行为。
所以,研究者们认为“渴”是一个多重模态的生理状态,不同的渴觉态会引起大脑中不同的细胞应答。也许你并不知道为什么现在想喝水,但你的大脑可是上帝视角-对你的需求看得一清二楚。
doi: 10.1038/s41586-020-2821-8
消灭中央杏仁核中的
CREB帮你消除恐惧!?
McCullough et al., Nat. Comm.
@小盐
条件恐惧(fear conditioning)和恐惧消退(fear extinction)之间平衡的异常在很多精神疾病中都很常见,例如创伤后应激障碍(posttraumatic stress disorder,PTSD)、广泛性焦虑症(generalized anxiety disorder)、双相情感障碍(bipolar disorder)等等。过往的全基因组关联研究发现,大脑中的促皮质激素释放激素受体1(corticotropin-releasing hormone receptor receptor-type 1, CRHR)的表达与PTSD有关;同时,与恐惧表达相关的中央杏仁核(central amygdala,CeA)中的Crh神经元活动也与条件恐惧和恐惧消退相关。因此,了解该类神经元调控恐惧行为的机制或许会对多种精神疾病的诊断和治疗都有很大帮助。
研究团队对比了在恐惧学习的不同阶段的小鼠CeA Crh神经元中mRNA表达的不同。通过使用TRAP(translating ribosome affinity purification)和RNA测序技术,研究人员分别提取了经历过条件恐惧、恐惧消退和中性刺激小鼠的mRNA来对比不同基因在不同条件下的表达水平。结果发现,包括Crh在内的部分基因在恐惧消退时的表达水平与其他两种条件下有着明显的差异,而CeA Crh神经元在条件恐惧和中性刺激下的基因表达模式并没有明显的不同。
研究人员后续使用了基因共表达网络分析(gene co-expression network analysis)、基因组富集分析(gene-set enrichment analysis,GSEA)以及上游调控因子分析来试图揭示在恐惧消退中调控CeA Crh神经元的通路。分析结果显示,CREB(环磷腺苷效应元件结合蛋白,cAMP response element binding protein)调控了Crh神经元在恐惧消退时的基因表达水平。

接着,研究团队通过使用病毒载体使得Crh神经元中的CREB过表达,并发现该类小鼠条件恐惧的反应显著增加,而恐惧消退的表现显著减少,这或许表明了CREB在控制恐惧行为表达中的重要调控作用。然而,该研究中使用的行为范式并没有对恐惧行为表达的减少和恐惧消退缺陷进行明显区分,因此无法断定CREB是否参与了恐惧消退的过程。

doi: 10.1038/s41467-020-18985-6
疾病与治疗
慢性耳鸣或许有救了
Conlon et al., Sci. Transl. Med.
@山鸡
耳鸣症状困扰着10%-15%的人口。耳鸣有许多种类,一类耳鸣患者听到的是真实的声音,这种声音可能来自于耳中肌肉的反复收缩。但对于很多人来说,出现耳鸣的病因来自于大脑。一种可能的解释是,耳鸣可能始于听力缺失。大脑为了“弥补”这部分听不见的声音,创造了耳鸣。
这部分患者可以通过神经调节疗法,即通过对头皮或身体表面进行电击刺激的方式来治疗耳鸣。近来对天竺鼠的实验显示,将声音刺激与躯体(尤其是对舌头)电击刺激结合起来能更有效地治愈耳鸣。这种疗法的原理是:通过在边缘神经进行非侵入式的电极刺激,能够在大脑中激活一群相互连接的神经区域。此时加入一个能够激活该区域中一部分神经元的音频输入刺激(比如一个纯音调声音刺激),由两种类刺激带来的协调激活,能在该重叠区域带来提升的协调性或配对的神经可塑性。通过设计特定的电击位置与声音刺激类型,我们可以激活与耳鸣相关的神经区域,从而加强大脑对于这部分区域的调节作用。

本研究在人类被试中使用了这种双通路神经调节疗法(bimodal neuromodulation approach)。实验设计中操作了声音刺激的频率及声音刺激与电击之间的延迟时间。研究团队把上述参数空间(parameter space)中不同的刺激平均分配到三个小组中(PS1,PS2,PS3),作为三种疗法。使用随机双盲实验对326名有诊断主管耳鸣症状的被试进行每天1小时,为期12周的治疗。疗程结束后通过耳鸣症状量表(Tinnitus Handicap Inventory,THI)和耳鸣功能性量表(Tinnitus Functional Index,TFI)测量治疗效果。
配对样本t检验结果显示,疗程结束后,大部分的患者听力得到了明显提升(74.7%-88.8%),分组内的THI及TFI评分均显著下降,且分组间评分没有显著差异;追踪检测结果显示,实验结束12个月后,除了分组3外,其他组别的被试听力提升水平维持效果显著。
doi: 10.1126/scitranslmed.abb2830
新型抑制剂有望治疗神经退行性疾病
Yan et al., Science
@图图
N-甲基-D-天门冬胺酸受体(N-methyl-D-aspartate receptor,NMDAR)是众所周知的离子型谷氨酸受体,可介导钠离子、钙离子等的跨膜运输。他们不仅对大脑的发育及突触可塑性调节至关重要,对记忆及获得性神经保护等适应性机制的加固也是必不可少的。
然而,天使与恶魔同在,NMDAR也有着鲜为人知的黑暗面-中断遗传物质转录、导致线粒体罢工,更甚能引起兴奋性神经元中毒及死亡。直到如今,我们也并不清楚他是如何在这两种“人格”中游走,为何他会对一心要保护的神经元下此毒手?
近日来自德国海德堡大学的科学家们在Science杂志上发表了他们的研究,他们致力于寻找NMDAR与细胞凋亡之间的结构基础,发现NMDAR获得毒物的特质是因为与瞬态感受器电位阳离子通道子类M的4号成员(TRPM4)之间发生相互作用形成复合体,而并不是大众之前所认为的细胞内高钙离子负荷。所以,他们猜想如果能破坏NMDAR/TRPM4 (N/T)之间的联系,也许能够消除NMDAR引起的细胞毒性减少神经元的伤亡。
接下来,他们以结构为基础进行计算药物筛选,发现TRPM4细胞内结构域只有57个氨基酸的TwinF对N/T联系至关重要,无论表达TwinF或者利用基于TwinF结构筛选出的抑制剂小分子都可以在不破坏NMDAR和TRPM4离子通道的基础上,解除他们之间的关联,最终达到恢复遗传物质转录、线粒体正常工作等保护细胞的功效。这项新研究为一直以来很难有效治疗的神经退行性疾病提供了新的攻克方向。

doi: 10.1126/science.aay3302
导致类孤独症行为的突触机制
Sacai et al., Nat Commu.
@狗尾巴花
孤独症(autism spectrum disorder,ASD)包括了一系列广泛的神经发育障碍,主要的诊断标准是社交互动和交流的损伤,以及刻板或重复的行为模式。目前已经发现了上百个与孤独症有关的基因,其中有不少负责编码突触前后的蛋白质和神经递质受体。人们因此推测,突触功能障碍可能是孤独症的致病原因之一。
此前,对数个小鼠模型的研究已经为这个猜想提供了一些支持,然而,还有许多孤独症相关基因没有得到充分研究,它们在突触功能和孤独症有关行为中的作用并不明确。此外,突出功能障碍与孤独症相关的行为异常之间的因果关系也尚不清晰。
本实验中,科研人员主要研究了两个基因:接触素相关蛋白样2(contactin associated protein-like 2, CNTNAP2)和阿伯尔森帮手(Abelson helper integration site-1,AHI1)。
CNTNAP2突变是在皮质发育异常局灶性癫痫(cortical dysplasia focal epilepsy, CDFE) 儿童中发现的,患者的主要症状是癫痫发作、语言退行(language regression)、多动(hyperactivity)和孤独症。此前,Cntnap2敲除/敲低小鼠模型表现出类似孤独症的行为,却存在社交互动正常的矛盾的报告。
AHI1突变与Joubert综合征(Joubert syndrome)有关,其症状包括认知损伤和发育滞后。大约有30%的Joubert综合征患者在孤独症光谱中;与之对应,AHI1基因变异在孤独症患者中也普遍存在。Ahi1敲除/杂合敲除(heterozygous)小鼠模型则表现出了社交互动的增加和焦虑的降低。
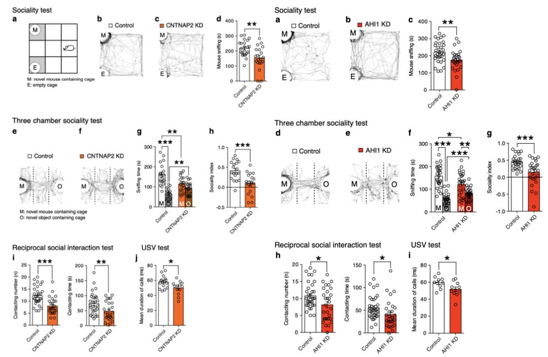
本研究中,研究人员探索了CNTAP2与AHI1蛋白缺失对小鼠突触功能障碍和孤独症行为的影响。他们敲低了小鼠前额叶皮层(prefrontal cortex,PFC)2/3层锥形神经元(pyramidal neuron)中的CNTAP2和AHI1,这导致了兴奋性突触传递(excitatory synaptic transmission)的降低,并且调高了抑制/激发平衡(inhibition excitation balance,I/E平衡),造成了社交互动损伤和轻微的幼鼠发声异常(mild pup vocalisation abnormality)。
研究人员随后使用一种AMPA受体的正向变沟调节剂(positive allosteric modulator )——CX546——成功逆转了这些现象。CX546的应用能够调高兴奋性突触传递,使I/E平衡、社交互动恢复正常。他们因此得出结论,降低小鼠PFC中2/3层锥形神经元的兴奋性突触传递、提高I/E平衡可能会导致类似孤独症的行为异常。
原文为该实验的结果绘制了比较明晰的图表,有兴趣可以自行查阅。这里只列出一些对比图。
第一张图展示了CNTNAP2(左)和AHI1(右)两种蛋白分别在正常对照组、敲低组和C546救援(rescue)后的兴奋性突触后电流(excitatory postsynaptic current)的痕迹和大小,I/E比和组与组之间的比较。

第二张和第三张图则总结了社会行为实验的结果。
第二张图分别是CNTNAP2(左)和AHI1(右)敲低小鼠和对照组的行动痕迹和对比,以及幼鼠发声模式(ultrasound vocalisation,USV)的对比。

第三张图则展现了溶剂(vehicle treated)和CX546对控制对照组和蛋白缺失的小鼠的社会行为影响。

总体说来,这项实验设计比较严谨,作者提出的“锥形神经元的兴奋性突触传递的降低”和“类孤独症行为”之间的因果关系比较有说服力。
doi: 10.1038/s41467-020-18861-3
其余要闻
新冠病毒 | 新闻短报
@阿莫東森
新冠病毒“多边战略”,能抑制细胞的抗病毒反应
新冠病毒对人体细胞的“多边战略”,能抑制细胞的抗病毒反应。佛蒙特大学的Botten团队全面分析了新冠病毒与人体细胞内RNA的交互,发现新冠病毒的NSP16能与U1和U2剪切RNA结合,以阻止mRNA的正常剪切。NSP1还能与核糖体RNA的18S单元结合,切断mRNA的正常翻译。最后,NSP8和NSP9还能与细胞内的7SL RNA结合,阻断细胞内正常的蛋白运输。
— Benerjee et al., Cell, doi: 10.1016/j.cell.2020.10.004
鸡尾酒疗法于恒河猴和金仓鼠有效
此前发表REGN-COV2新冠病毒抗体鸡尾酒疗法的Regeneron医药团队,周五又发表了该鸡尾酒疗法在恒河猴(rhesus monkey)和金仓鼠(golden hamster)体内,治疗新冠肺炎的疗效,指出这项鸡尾酒疗法具有极高的应用潜力。
— Baum et al., Science, doi: 10.1126/science.abe2402
新测试:5分钟内可检测新冠病毒
今年诺贝尔化学奖得主Jennifer Doudna等人研制出了能在5分钟之内检测新冠病毒的CRISPR/Cas13a测试。Doudna指出,仅用一个向导RNA,他们就能检测出100000/1μl浓度的病毒;使用两个向导RNA时,他们能检测出100/1μl浓度的病毒。
— Fozouni et al., medRxiv, doi: 10.1101/2020.09.28.20201947
非典康复者血清能中和两种不同的冠状病毒
中国医学院的新论文表示,2003年非典康复者的血清既能与非典病毒的S1单元和受体结合区反应,也能与新冠病毒的S外区、S1单元、受体结合区和S2单元反应,并且能中和两种不同的冠状病毒。这有助于发展出对冠状病毒的“通用”疫苗。
— Zhu et al., Sci. Adv., doi: 10.1126/sciadv.abc9999
人类中和抗体能将S蛋白“上锁”
因MHC结构研究获今年“引文桂冠奖”的Pamela Bjorkman,带领团队在Nature上发表文章,表示已对8种不同的、针对新冠病毒的人类中和抗体(human neutralising antibodies,简称hNAbs)进行结构分析,发现其中4个抗体都具有能桥接病毒的受体结合区的化学特性,从而将新冠病毒的S蛋白“上锁”,防止其接触人体细胞。这会对之后的治疗方案有重大帮助。
— Barnes et al., Nature, doi: /10.1038/s41586-020-2852-1
男性睾丸酮水平预测新冠预后
哥伦比亚大学的Jeffrey Shaman和Marta Galanti于14日在《科学》上发文,分析了新冠疫情的现况,并将其与过去的其他流行病对比,表示新冠疫情在人类群体中的持续时长,主要受二次感染的频率、新冠抗体的持续时间和天气变化的影响。
— Shaman & Galanti, Science, doi: 10.1126/science.abe5960
编者:阿莫東森、小盐、Veronica、图图、狗尾巴花、肖本、山鸡
排版:光影
封面:纪善生


原标题:《新型抑制剂有望治疗神经退行性疾病;慢性耳鸣或有救;消灭它们能消除恐惧?焦虑者知觉策略更保守? | Paper Alert #14》

