150人,昭通专项补充招考进入资格复审人员名单公示!



昭通市2020年卫生健康系统面向全国专项招聘优秀高校毕业生补充招聘
拟进入资格复审、考察、体检人选公告
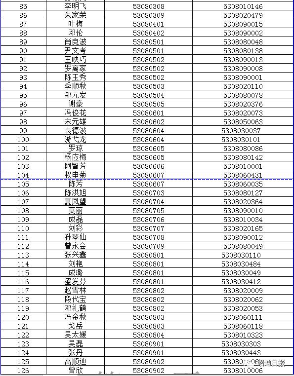
根据《昭通市2020年卫生健康系统面向全国专项招聘优秀高校毕业生补充招聘公告》,2020年面向全国专项招聘优秀高校毕业生补充招聘工作已经结束,现将拟进入资格复审、考察、体检人选进行公示。
1.根据笔试成绩从高到低的顺序,确定拟进入考察、体检人选。
2.笔试成绩同分者根据8月29日同分面试中,面试成绩从高到低的顺序,确定拟进入考察、体检人选。
3.考察体检时间为2020年9月3日至2020年9月13日,由各招聘单位负责通知拟进入考察体检的考生,考察体检咨询电话。
4.在考察、体检期间,如出现不符合资格条件情形或自动放弃的,根据考生笔试成绩由高到低顺序(同分考生按面试成绩从高到低的顺序),从报考该职位的人员中进行递补。
5.请拟进入资格复审、考察、体检的考生确保通信畅通,如因考生提供非本人电话号码或提供的电话号码有误或无法接通或处于关机状态等,导致考生本人不能进入下一阶段,由此造成的一切后果由考生本人承担。
本公告未尽事宜,由昭通市卫生健康委负责解释。
昭通市卫生健康委员会
2020年9月2日
昭通市2020年卫生健康系统
专项招聘补充招聘
资格复审、考察、体检咨询电话
0870-2230918 昭通市中医医院;
0870-2126808 昭通市精神卫生中心
0870-2120109、2836050 滇东北区域中心医院;
0870-3193711 昭阳区卫生健康局;
0870-8126069 鲁甸县卫生健康局;
0870-712865 巧家县卫生健康局;
0870-6631296 盐津县卫生健康局;
0870-3184184 大关县卫生健康局;
0870-4124069 永善县卫生健康局;
13638856038 绥江县卫生健康局;
0870-3129261 镇雄县卫生健康局;
0870-3185143 彝良县卫生健康局;
0870-3094153 威信县卫生健康局;
0870-3180859 水富市卫生健康局。
往期精选
▶▶▶▶来源丨@昭通日报 微信(ID:ztrbwx)丨昭通市人民政府网
审核丨@晶姑娘 彭念敏
运营总监丨@俺是大笨蛋
责任编辑丨尹婕
原标题:《150人,昭通专项补充招考进入资格复审人员名单公示!》

