啤酒是超高升糖饮料?自酿果酒呢?
原创 范志红 范志红_原创营养信息
天热时喜欢喝啤酒佐餐的人非常多,一喝就是一大扎,但很少有人把啤酒和血糖联系起来。
啤酒的血糖指数(GI)到底有多高?会不会影响到每天的血糖波动?
一项由悉尼大学研究者发表于英国营养学杂志的研究发现,有些啤酒的血糖指数非常高。比如pilsner beer,居然高达89,比白米饭、白馒头、白面包、白糖还高[1]。
这个结果倒并不令人惊讶。因为啤酒里面的碳水化合物主要是麦芽糖,而麦芽糖的血糖指数和葡萄糖是一个档次的。一种液体食物,不需要咀嚼,消化吸收率超级高,升血糖快这个结果是很自然的。

可能有的朋友会问:啤酒是所有酒里血糖反应最高的吗?其他酒怎么样呢?
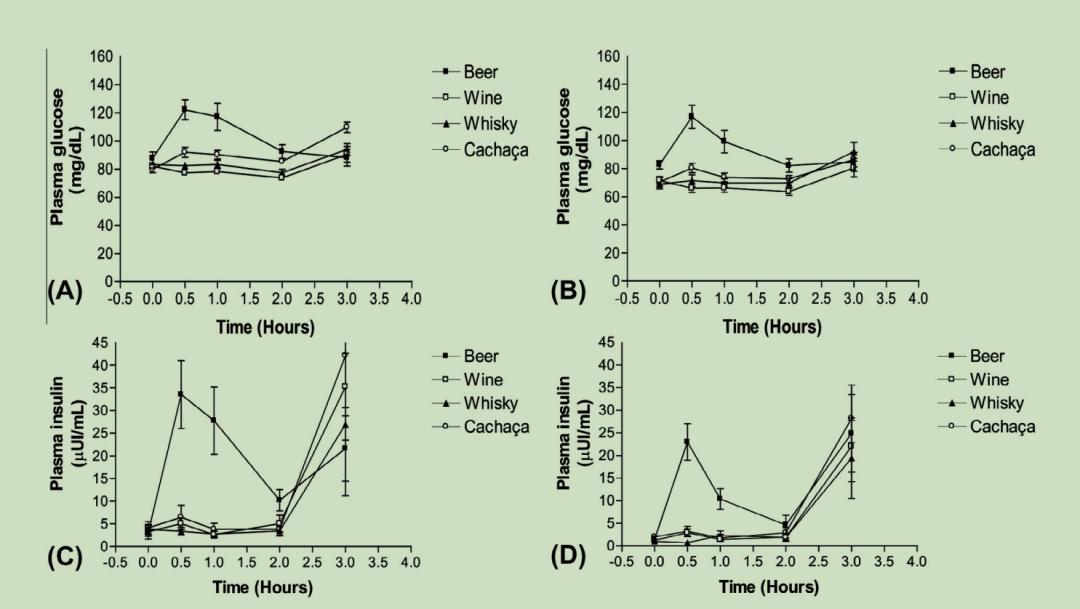
一项2014年发表于Food Chemistry杂志的研究比较了不同酒类的血糖反应和胰岛素反应。
10名男性和10名女性受试者喝的4种酒的量都相当于每公斤体重0.5克酒精。也就是说,按同样体重计算,大家从每一种酒中摄入的酒精量是一样的。
结果,在皮尔森啤酒、赤霞珠干红葡萄酒、苏格兰威士忌和巴西卡莎萨4种酒当中,啤酒升高血浆酒精含量的幅度是最小的,但它的血糖反应和胰岛素反应都是最高的[2]。这是因为,啤酒的碳水化合物含量比其他三种酒类明显高。

尽管啤酒本身所含的碳水化合物听起来好像并不高,只有4-5 g/100 ml,低于大部分甜饮料,但架不住它喝进去的量往往很大。
比如说,如果喝1000毫升的啤酒,就等于摄入量40~50克碳水化合物了。吃半碗饭(一两米煮的饭)只有37.5克的碳水化合物而已。再说,啤酒的血糖指数比米饭只高不低......
所以,喝一扎啤酒,从碳水摄入角度来说,相当于多吃了多半碗白米饭。从升血糖的角度来说,效果更是超过多半碗白米饭。
我在超市里看了一下,啤酒中麦芽汁的浓度从10%到18%不等。麦芽汁较浓,则糖分和氨基酸在烤制或发酵过程中发生美拉德反应,产生了较多褐色物质,同时也会有更浓郁的风味。但是,如果论热量,清爽型啤酒相对比较低,浓郁款往往会稍微高一些。
总之,如果想控制血糖,或者想预防肥胖,喝啤酒的量还是要严格控制的。喝一杯就好了,不要喝起来就停不住...毕竟「液体面包」的说法所言不虚啊。
然后,啤酒中还含有酒精,我在超市看到的啤酒产品酒精度从3.5%到6.5%不等。就按4%来说,1000毫升啤酒是40克酒精,也远远超过了膳食指南所建议的「男性一日25克以内,女性一日15克以内」的限量了。酒精本身就是含有热量的,1克酒精含有7千卡热量,这一点千万不要忘记。

有人问:我喝啤酒都是喝冰过的,是不是热量就会下降很多?
冰不冰,热量有差异,但不大。啤酒最好喝的温度是10~12摄氏度,把100克啤酒从10摄氏度升高到室温25摄氏度,也就是升高15摄氏度,大约消耗1500卡热量,也就是1.5千卡。请注意食物营养是按千卡算,温度变化是用卡算,单位差1千倍。
1克白糖的热量就是4千卡了,把1000克啤酒冰一下,暖到室温需要15千卡,也只能减少不到4克糖的热量而已......
不妨脑筋急转弯一下:如果冰一下就能把食物中的热量消除掉,那么吃冰淇淋岂不是就没有发胖风险了...但是它们都是货真价实的高热量食物。
还有人问:我喜欢吃啤酒鸭,一只鸭子就要用掉300~500克的啤酒,会不会也造成血糖上升呢?
啤酒用来做菜还是不用太担心的。酒精会在烹调中挥发,糖分留下来增加菜肴的美味,也促进美拉德反应发生,增加香气。最关键的是,即便倒入500克啤酒(约含20~25克糖)来炖一只鸭子,也不可能一个人一顿吃完,而是一家人一起吃。实际上一个人、一餐中吃进去的来自于啤酒的糖,仍然是比较少的,不会超过一天的添加糖限量。再说了,一餐饭升高血糖的幅度,更多地取决于吃多少主食,而不是炖鸭子里放的料酒或啤酒。
然后,更多的人抛出了一批重要问题:我不喝啤酒,喝白酒行吗?喝甜味的米酒行吗?喝我自己酿制的果酒行吗?
必须先说明的是,多喝酒不利于血糖控制,只要是含酒精的饮料都有这个作用趋势。
韩国学者发表了一项相关研究。他们对KSHS这项大型流行病学研究中的受访者进行了酒精摄入量的调查,跟踪收集2002年到2015年之间的数据,分析了55,720名男性喝酒状况和血糖状态的关系。这些人在2002年时血糖状态正常,并未患上糖尿病。
研究者把这些人按照酒精摄入量分成4组:完全不喝酒,少量喝酒(每天0.1~9.9g酒精),中度喝酒(每天10.0~29.9g酒精);大量喝酒(每天≥30.0 g酒精)。对他们的血糖稳态指标,包括空腹血糖水平(FSG)、胰岛素抵抗稳态模型 (HOMA-IR)和胰岛β细胞功能 (HOMA-β) 与酒精摄入状态进行了相关分析。
分析结果发现,和不喝酒以及少量喝酒的人相比,酒精摄入量越高的组,血糖水平越高,胰岛细胞功能越差。那些从少量喝转为大量喝的人,血糖状态有明显恶化;而那些从大量喝转为少量喝的人,胰岛素敏感性上升,血糖状态有所改善。
其实前面的研究中也透露出了相关的信息:虽然葡萄酒和威士忌等其他酒含糖很少,并不会大幅度升高血糖,但它们在3小时之后都会大幅度升高胰岛素[2]。即便血糖水平是正常的,胰岛素的长期异常升高也会降低胰岛素敏感性。
白酒属于蒸馏酒,里面几乎没有糖分了。但它酒精含量很高。酒精虽然不会直接升高血糖,甚至酗酒可能引起糖尿病人低血糖(也有致命可能)。但酒精属于致癌物,会增大多种癌症发病风险,降低人体对多种毒物的解毒能力,而且降低人体对营养成分的吸收、储存和代谢能力,望周知...

现在市面上的甜酒品种也越来越多了。比如日式甜酒,糖分含量能达到10%以上,完全不输给各种甜饮料。超过10%的糖,再加上其中超过10%的酒精,各位想想,是否值得多喝呢?
这里要特别强调:不要在家里随便自己酿果酒,真的不安全!甲醇等杂醇风险很大。
甲醇有多大毒性,自己在网上搜一下就行了。
有人可能会说,我自己酿的,就加了水果、糖之类,怎么会有甲醇?
这是因为水果里有果胶,果胶天然有一部分是甲酯化的(也就是甲醇和多聚半乳糖醛酸的天然酰化产物,甲酯化程度因原料不同差异较大)。酿酒过程中,在微生物的作用下,果胶结构中原来以酰化形态存在的甲醇会跑出来,进入到发酵液里。
简单说,就是水果中天然含有果胶,果胶中天然存在制造甲醇的原料,酿造的过程中甲醇会自动跑到酒里......这个事情是不以人的意志为转移的。
如果是大企业酿酒,会通过各种技术措施来控制甲醇的产生。家庭酿酒是做不到的。
相比而言,直接在合格白酒里泡入水果,加点果汁,还稍微安全一点。只要酒精浓度足以抑制微生物活动,至少不会因为果汁发酵而产生甲醇。也有很多果酒就是这么做的。
小作坊的很多产品,没有靠谱专业人员的支持,只靠「传统工艺」、「家庭酿造」的法子,是不能保证安全性的。

喜欢这种味道可以理解,但拜托不要以健康的名义来喜欢。
糖不健康,酒精(乙醇)不健康,甲醇和其他杂醇更不健康。
如果非要喝的话,建议每天不超过半杯,千万不要当饮料那样随便喝,太危险!头疼头晕是轻的,甲醇过多摄入会导致肝脏损害、永久失明,严重时甚至造成死亡。
当然,这里并不是要求所有人从此绝对一口不碰含酒精饮料,而是限量,减频次。很多人的思维中没有数量观念。说什么东西喝多了吃多了可能有不良效果,马上就说「又一种东西不能吃了」,或者说「这都不能吃/喝,活着还有什么意思」」。酒类本来就该是偶尔享用的饮料,节日来临,亲朋欢聚,偶尔一次,只要数量不大,都是没关系的。比如健康人一星期吃一两次酒酿,或者每周喝两三杯啤酒,是不必担心的。疾病患者就要遵医嘱了。
原本不喝酒的人,千万不要以「时尚」、「健康」、「美容」之类为理由,养成天天喝酒的习惯。如果只是偶尔少量,或用作调味品,平均每天摄入酒精只有一两克、两三克,那是不用担心的,并未发现如此之低的酒精摄入量会产生实质性的危害。
参考文献:
1 Sluik D, Atkinson FS, Brand-Miller JC, et al. Contributors to dietary glycaemic index and glycaemic load in the Netherlands: the role of beer. British Journal of Nutrition, 2016, 115(7): 1218-1225
2 Nogueira LC, Couri S, Trugo NF, et al. The effect of different alcoholic beverages on blood alcohol levels, plasma insulin and plasma glucose in humans. Food Chemistry, 2014, 158(11):527-533
3 Seulggie Choi, Gyeongsil Lee, Jiyoung Kang et al. Association of change in alcohol consumption on fasting serum glucose, insulin resistance, and beta cell function among Korean men. Alcohol, 2020, 85(6):127-133
原标题:《啤酒是超高升糖饮料?自酿果酒呢?》

