转扩 | 天津中考总平均分、分数段出炉!这些人优先录取!
关注我们
从市教育招生考试院获悉,2020年初中毕业生学业考试评卷和成绩合成工作日前全部结束。
天津中考平均分:今年学业考试全市平均分为422.59分。
今天可查询中考成绩:8月4日14时起,考生可登录招考资讯网(www.zhaokao.net),建行、招行APP,使用本人初中毕业生学业考试准考证上的考生号、座位号,进入中考查分系统查询成绩。8月5日14时后,考生可到报名学校领取本人考试成绩单。
中考志愿8月6日起填报:8月6日至8月10日12时,考生可根据《2020年天津市高级中等学校招生报考指南》公布的招生计划填报志愿。
天津中考成绩出炉
今年本市初中毕业生学业考试全部科目答卷实行网上评阅的办法。
天津中考总分值为590分,其中学业考试成绩分值为560分,体育考试平时成绩分值为18分,体育考试统一测试成绩分值为12分。
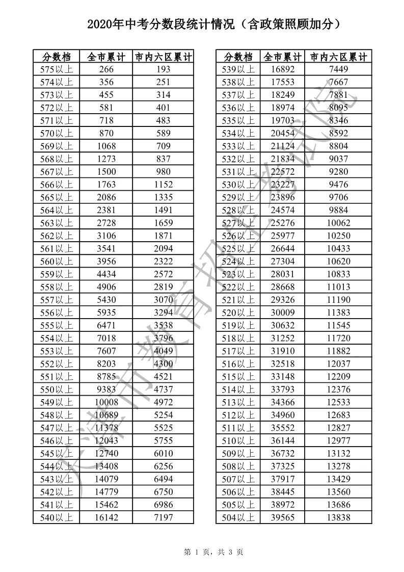
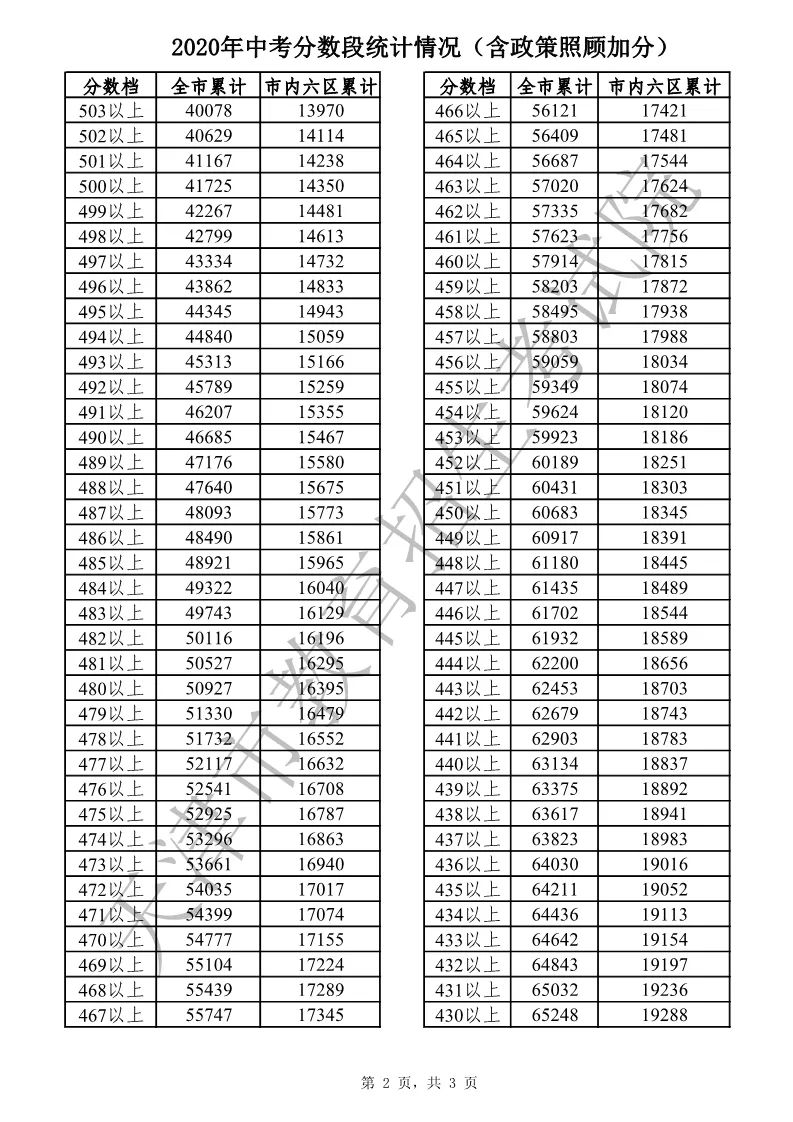
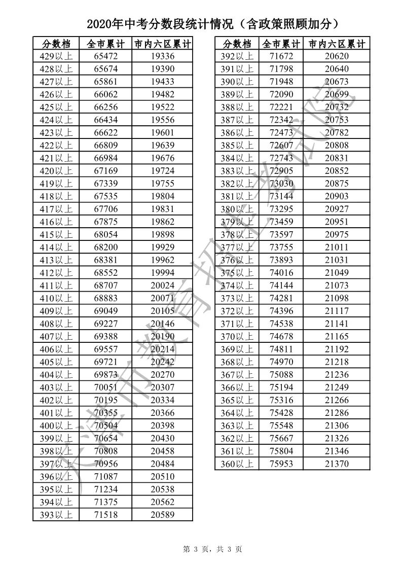
今年学业考试全市平均分为422.59分。
为缓解疫情给考生带来的复习备考压力,今年各学科试卷均适度增加了对于基础知识和基本能力的考查,广大考生平稳心态,积极备考,平均成绩较以往略有提升。
天津中考分数段公布



2020年中考志愿填报时间为8月6日至8月10日12时。考生和家长要依据《2020年天津市高级中等学校招生报考指南》公布的招生计划填报志愿。未经市中招办公布的招生学校和招生计划,一律不安排在津招生。非官方渠道获取的《招生计划》、资料及信息,不能作为考生填报志愿和高级中等学校招生录取的依据。
抗疫一线医务人员子女优先录取
根据今年天津中考招生报考政策,同等条件下,新冠肺炎疫情防控本市和支援湖北省一线医务人员子女优先录取。
今年本市高级中等学校招生,确定升学成绩相同考生的录取顺序有了新变化。“在考生升学成绩〔含学业考试成绩和政策照顾加(或降)分〕相同时,录取顺序为:首先比较其是否为新冠肺炎疫情防控本市和支援湖北省一线医务人员子女,如是则录取优先。”市中招办工作人员介绍,如情况相同,再依次比较其是否为不属于降分范围内的现役军人子女,是否为驻外使领馆工作人员随任子女,是否为2019至2020学年度区级优秀学生或优秀学生干部,是否为见义勇为人员以及因见义勇为死亡或致残人员子女。如上述情况均相同,再比较其学业考试基础学科语文、数学、外语三科成绩之和的高低,其学业考试语文、数学两科成绩之和的高低以及其志愿顺序的先后。
同样,在符合相关条件的考生可以享受在与其他考生同等条件下优先录取方面,今年本市也有新变化。“不在享受加分、降分政策范围内,但符合这些条件的考生可以享受在与其他考生同等条件下优先录取,新冠肺炎疫情防控本市和支援湖北省一线医务人员子女排在首位。”市中招办工作人员介绍,其次是现役军人子女、驻外使领馆工作人员随任子女、2019至2020学年度区级优秀学生或优秀学生干部、见义勇为人员以及因见义勇为死亡或致残人员子女。
此外,符合这些条件之一的应届初中毕业考生,可享受降20分录取:烈士子女;驻国家确定的三类(含三类)以上艰苦边远地区、西藏自治区和解放军总部划定的二类(含二类)以上岛屿部队现役军人
多种招生宣传咨询形式为考生服服务
志愿填报期间,招生学校将采取线上与线下相结合的方式向考生提供招生宣传咨询服务,方便考生了解招生学校的有关情况,指导考生填报志愿。
01
网上咨询会
8月6日9:00-16:30将举行“2020年天津市高级中等学校招生网上咨询会”。
考生可按以下步骤进入网上咨询会现场:
1.登录招考资讯网(www.zhaokao.net),点击进入高级中等学校招生咨询平台。
2.进入网上咨询平台后,点击需要咨询的学校名称,进入该学校的咨询页面。
3.进入学校咨询页面后,考生可浏览学校已回答的热点问题;考生也可填写咨询标题及咨询内容,向招生学校提出自己关心的问题。
4.招生学校的咨询人员将根据问题给出答复。该问题答复后,将显示在该学校的咨询页面上。
02
招生学校咨询
考生及家长可通过《2020年天津市高级中等学校招生报考指南》公布的招生学校电话咨询相关事项,同时也可前去有关学校进行现场咨询。各招生学校现场咨询活动要落实好有关防疫要求,尽量选取开阔的露天环境举办现场咨询活动,并做好咨询场地的全面消毒。咨询活动期间,所有入场人员要进行体温检测、查验天津健康码“绿码”并扫描“津门战役”二维码进入。各招生学校须对入场人员进行限流,保持场内人员安全距离,所有人员均须佩带口罩。
提示考生及家长要留意并遵守招生学校的有关规定,是否需要网上预约。提前做好安排,佩带好口罩,服从现场工作人员的指挥。
03
市、区招办咨询
市中招办及全市各区中招办还将开通咨询电话,为考生提供中招政策和办法的咨询服务。具体电话如下:

招生举办电话公布
市中招办对全市志愿填报和招生咨询提出明确要求:各区、各学校要尊重考生的选择,力戒地方保护行为。严禁通过限报、拦报志愿等方式,限制、阻拦考生自主填报志愿;严禁通过采取向考生违规承诺录取、签订预录取协议、给予新生高额奖学金等方式诱导考生填报本区、本校志愿。各招生学校的招生咨询活动应在本校内进行,严禁跨区、跨校开展招生咨询;招生咨询要实事求是、公开透明,真诚为考生和家长服务。
根据教育部要求,考试成绩公布后,各中学及其工作人员不得在校外或校内摆放、悬挂、张贴关于中考成绩的条幅、宣传板等宣传物品,不得进行学校升学率评比,不得炒作“中考状元”“中考录取率”“高分考生”。
填报志愿期间,市中招办专门设立了举报电话:23769162(工作日8:30-12:00;14:00-17:00),23769000(其他时间)
来源:天津市教育招生考试院、今晚报



原标题:《转扩 | 天津中考总平均分、分数段出炉!这些人优先录取!》

