7月A股解禁潮来袭:影响几何?减持压力可能带来“黄金坑”
7月行情开启,沪指站上3000点大关,与此同时,又一波解禁小高峰即将来到,刚刚品尝到牛市滋味的投资者需要恐慌吗?
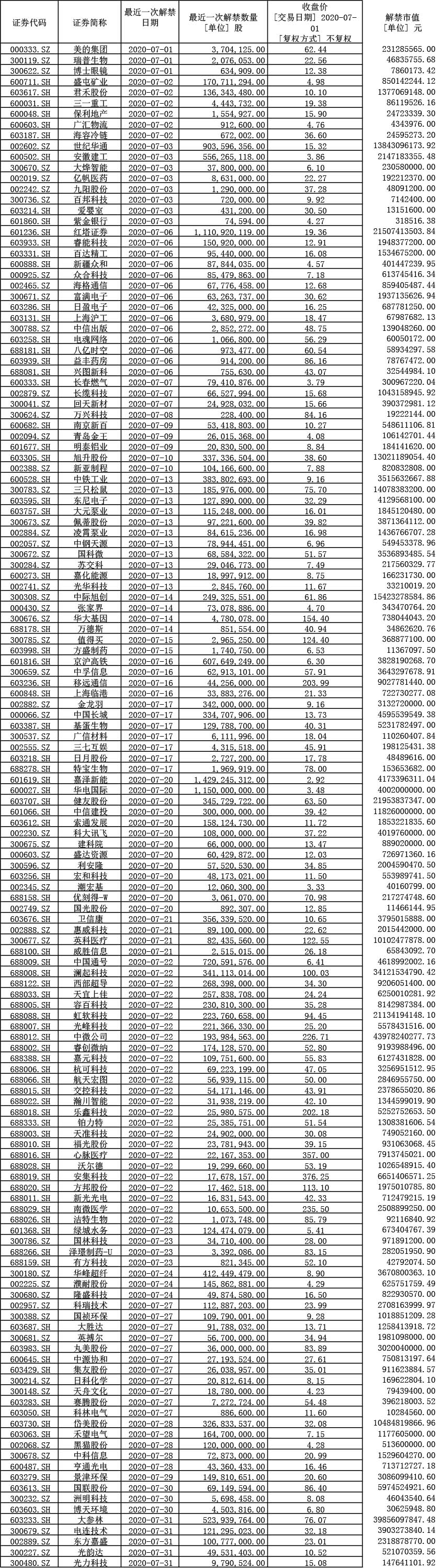
Wind统计显示,7月份共有142只A股将迎来解禁,以7月1日收盘价计算,解禁市值总计4917.38亿元。
按解禁股数规模排序,解禁数量最多的三只个股分别是嘉泽新能(601619)将在7月20日解禁14.29亿股,华电国际(600027)将于同日解禁115亿股,红塔证券(601236)将在7月6日解禁111.09亿股。
按解禁市值规模排序,解禁市值最大的是科创板上市公司中微公司(688012),将在上市一周年之日解禁1.94亿股,对应市值439.78亿元。
展望整个7月份,7月22日是颇为特殊的一天,不仅是科创板开市一周年,也是科创50指数即将正式推出的日子,而在这一天,2019年7月22日首批登陆科创板的25家科创板上市公司中,将有除华兴源创外的24家企业集体迎来解禁。
以7月1日的收盘价计算,根据wind显示的解禁规模,这24家首批科创板上市公司的解禁市值总计1872.08亿元,占整个七月解禁股份市值的38%。
市场颇为关心的问题是,科创板的集中减持,会影响这些首批公司的股价表现吗?澎湃新闻记者结合历史数据和多方市场专家的观点后发现,答案是短期会有差异化影响,需要投资者引起重视但不用太担心,来看六大焦点问题的解答。
焦点问题一:谁会减持?
按照持股来源看,科创板的解禁股份持股方主要分为两大类,一类是首发战略投资者,另一类则是IPO前股份,分别来自董监高、持股5%以上的股东、持股5%以下的股东。
更具体地来看,根据申万宏源的分析,目前科创板解禁压力主要来源是创投基金。
科创板7月24日当周解禁股份持有者对为创投基金,规模达到1000亿人民币以上,占比达58%,是本次解禁的主要压力来源。紧随其后的是投资公司和个人,占比分别达到13%和12%,而外资、法人等其他类型解禁股份持有者占比相对较小。
申万宏源对7月24日当周的个股解禁的股份性质进行拆解,按照不同资金属性,可以将解禁股份分为创投、投资公司、个人、外资、法人、员工持股、保险、公募基金、战略配售、年金、养老金和社保等12种,其中不同的资金对应的属性存在差异,一般创投基金上市以后存在减持变现,另外个人、投资公司和打新的公募基金等资金属性偏短期,在解禁后减持的概率相对更大,而外资、员工持股、法人、保险、战略配售、年金、养老金和社保等资金属性相对长期,所以在股份解禁后减持的概率相对较小。
焦点问题二:大股东会偷偷减持砸盘吗?
对于这个问题,科创板在制度设计上已经进行了充足的准备,大部分解禁股份的减持均需遵守“慢走式减持”规定,且两类股东需要预披露。
根据减持细则要求,大股东、董监高需在减持公告发布日15天后才能减持。同时,持股5%以下的首发前股东,采取集中竞价交易方式减持的,也需遵守“90天内减持股票不得超过总股本的1%”的规定,不过规则对该类减持情形无预披露要求。
根据中金公司预测,符合减持规定的可在90个交易日内以集中竞价方式进行减持的上限在750-800亿左右。
焦点问题三:科创板有哪些减持手段?
申万宏源分析称,科创板在制度安排上通过多样化减持手段为解禁保驾护航。
目前适用于科创板减持的规则主要包括《上海证券交易所上市公司股东及董事、监事、高级管理人员减持股份实施细则》《上海证券交易所科创板上市公司股东以非公开转让和配售方式减持股份实施细则(征求意见稿)》和《上市公司创业投资基金股东减持股份的特别规定》等。
一方面,科创板标的适用于一般减持规定,另一方面,针对科创板还有特定的非公开转让和配售减持方式,对创投基金减持科创板也有特殊的制度安排,多样化的减持手段为股东减持提供更多选择,也有助于降低二级市场抛压。
具体来看,一般减持规定主要是根据2017年的减持新规,控股股东和持股5%以上的股东,还有特定股东、董监高等如果通过集合竞价减持股份,连续90日内减持股份总数不得超过总股本的2%;如果通过大宗交易减持,连续90日内减持股份总数不得超过总股本的2%,且受让方在6个月内不得转让所受让的股份;最后如果是通过协议转让方式,单个受让方受让比例不得低于总股本的5%,且减持后即使不再具有大股东身份,也必须在6月内遵守减持规定,受让方6个月内也必须遵守减持规定。
科创板非公开转让制度则规定,每次转让股份总数不得低于公司股份总数的1%,且非公开转让询价不得低于发送认购邀请书之日前20个交易日科创公司股票交易均价的70%,受让方必须是专业机构投资者,有助于稳定资本市场预期,受让方6个月内不得转让,限售期满以后持股5%以上的投资者适用于减持新规。
科创板配售制度则要求每次配售股份的数量不得低于科创板公司总股本的5%,配售价格由参与配售的股东确定,但是不得低于配售首次公告日前20个交易日股票交易均价的70%,受让方是公司的其他股东。
焦点问题四:解禁潮中的股票会跌吗?
“对于科创板的这一波减持,实际上市场已经有充分预期了。我个人觉得可能是会往下走一走,但是绝对是一个黄金坑,科技还是下半年市场的主线。”某券商策略分析师对澎湃新闻记者这样分析。
股价是否会受到解禁的冲击出现下跌,需要综合考虑多方面的因素。
中金公司的分析认为,按照事件发生时间顺序,限售股解禁、股东及高管减持等事件对公司股价的潜在影响会有一个递进的演绎过程。
首先,随着限售股解禁日的临近,市场对解禁事件的担忧逐渐上升,导致公司股价在解禁日前已开始反映负面预期。其次,限售股解禁后,股东及高管的实际减持行为使得市场中股票供应增加,直接影响市场的供需关系。最后,完成减持公告发布后,股东及高管的减持行为,令投资者对公司长期发展或阶段性股价表现产生疑问。
据中金公司解释,减持期间,供需关系的变化影响股票的均衡价格。股东及高管的减持行为对公司股价的实际冲击是一个市场动态博弈的结果,其潜在影响与公开市场减持规模、股票流动性水平、市场买卖双方对股价变动做出的反应等诸多因素相关。利用较为简单直观的理论假设模型,对潜在减持行为可能给7月22日解禁的科创板股票造成的负面冲击进行粗略测算,在特定参数的假设下,减持行为可能对这些公司平均造成约10%左右的影响。
焦点问题五:如果下跌了后市又会如何?
有专家指出,如果短期跌幅过大,快速反弹的可能性也颇大。
首先,机构有逢低买入意愿。
数据显示,科创板流通盘的机构持股比例显著高于主板。2019年报披露的前十大股东情况看,科创板机构投资者参与度较高,流通股中机构比例高达24.9%,较去年三季报的5.0%大幅提升。考虑到定期财报仅披露前十大股东信息,科创板实际机构持股比例更高,有市场机构分析或许接近50%。近期,科创板基金申报火热,潜在增量资金规模较大。据不完全统计,当前已有30余只科创板主题公募基金发行上市,涉及基金规模约250亿元,有多只公募基金通过审批待发行,另有60余只主投科创板的基金申报待审批。如果科创板短期跌幅较大,机构抄底意愿会较为强烈。
其次,科创板自我修复能力较强。
年初科创板已经迎来一轮解禁潮,由于首批25家科创板企业基本面较好,解禁影响有限,解禁当日股价平均上涨2.25%,春节后跟随科技股上涨;2月3日春节后首个交易日,受疫情影响,科创板大幅下跌14%,第二天大幅反弹12%,第三天再度上涨4%,两天内完全收复跌幅,随后持续回升,最高较2月3日上涨34%;开板一周年时,首批28家创业板企业同样迎来解禁潮,但投资者并未抛售解禁股份,市场反应正面,解禁当日股价全部上涨,一个月内股价平均上涨6.44%。
焦点问题六:还有哪些工具能够平滑减持冲击?
中金公司认为,科创50指数的推出恰逢其时,有助于吸引更多长期投资者,在此基础上,科创板相关ETF的推出有望分流减持压力。
该机构在研究报告中指出,科创50指数的推出为后续产品开发奠定了基础,相关工具有望为长期投资者的入市提供更多便利。股票市场的稳定发展需要众多具备长期投资视野、战略配置意愿、风险需求匹配的投资者。指数产品作为透明、高效、低成本、标准化的分散化组合工具,正成为越来越多长期投资者的重要底层资产。科创50指数的推出为相关指数化产品开发奠定了重要基础,有望为科创板市场吸引更多长期投资者。
而科创板相关ETF的推出,亦是一个引导预期、分流压力、引入长期投资者的有效途径。一方面,ETF股票认购,可以直接吸收指数成分股的部分减持压力,有效减缓直接减持对市场的冲击;另一方面,科创板相关ETF的推出可以有效扩大市场需求,引入长期投资者。
中金公司认为,相比于投资者将所持有的股票直接在二级市场竞价卖出或大宗转让,ETF股票认购可以有效平滑对股票价格的冲击,更有利于二级市场稳定,这主要体现在两方面。
一是,通过股票认购ETF期间,完全不涉及在二级市场卖出股票,不会从供需层面影响股票价格。
二是,过往历史统计显示,与二级市场竞价或大宗交易的减持公告发布后,上市公司股价相对可比基准有明显调整压力不同,上市公司发布股东通过股票认购ETF份额的公告后,其股价相对可比基准并未出现显著的负向收益,且其波动率与换手率在事件前后并未出现明显异常变化。

