昭通2020名师助考⑰丨秒测电源电动势和内阻,轻松搞定物理实验复习
一年一季的高考终将如期而至!所有高三学子都在全力复习,紧张备考中。作为物理科目的复习,每个部分的学习方式都有所不同。但到了最后阶段都建议同学们还是应该回归基础。从最原始的原理出发,从最原始的模型扩展,从最基础的知识深入。电学实验是高考物理中必考的一个内容。高考对这部分的考查看似简单,但得分率却很低。同学们在复习这块的时候,也往往只会机械式的做题,题做得多却并不得法。那么,如何才能提高物理实验的复习效率呢?在此,我就以电学实验 “测电源电动势和内阻”为例,为广大考生准备了点干货,希望可以帮到同学们。
一、回归课本(伏安法)
在我们课本上最原始的测电源电动势的电路图如图甲、乙所示:

2. 实验原理:根据闭合电路欧姆定律E=U外+Ir得:U外=E-Ir其中斜率为r,纵轴的截距为E。
3.注意事项:(1)为了使电池的路端电压变化明显,可选使用了一段时间的干电池,(2)每次读完电表示数后立即断电;(3)所测数据应不少于6组;(4)描点作图时让尽可能多的点落在直线上,不在直线上的点也要均匀分布在直线两侧,误差较大的点舍去。
4.误差分析:因为实际电路中的电压表内阻并不是无穷大,电流表内阻也并非为零,所以因电表内阻的原因会给测量结果带来误差。如:(1)采用图甲连接方式时相对电源内阻来说,电流表外接。其中电压表所测电压为路端电压,而我们把电流表所测电流作为干路电流,相对实际干路电流则是偏小了,因为电压表在此电路中有分流的作用。即真实值I干=IA+IV。而当U为零时,电压表不再分流,此时IV =0,I干=IA假设经实际操作后得到右图的坐标图。由分析图像可知,E测



除此之外,还可以脱离原始电路图,用其他方式测电源电动势和内阻。如:安阻法、伏阻法、伏伏法、安安法、最大功率法等。把这些方法进行分析、归纳,如下:
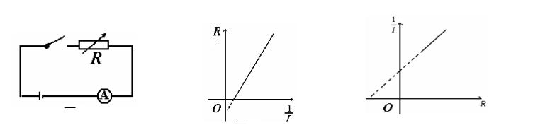
1. 利用电流表和电阻箱测定电池电动势和内阻(安阻法)
实验原理:由闭合电路欧姆定律
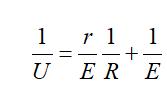
,设计如下图所示电路,改变电阻箱R的阻值,测得几组不同的R、I值,获得实验数据。

图象,如上图所示,据
变形得:
。由图象可得:图线斜率为电源的电动势E,纵截距的绝对值为电源的内阻r(不计电流表内阻),图线横截距为
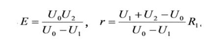
。还可以画出
图象,如上图所示,由E=I(R+r)变形得:
。由图象可得:图线斜率为电源的电动势E的倒数,纵截距为b=
, 则r=bE,横截距的绝对值为电源的内阻。此法E测=E真,r测>r真。
此处可记做(分压大r,E相等,谐音:分压高人一等)
2.利用电压表和电阻箱测定电池电动势和内阻(伏阻法)
实验原理:由闭合电路欧姆定律
,设计如图所示电路,改变电阻箱R的阻值,测得几组不同的R、U值,获得实验数据。

图象,如右图所示,据
变形得:

,即
。此法E测此处可记做(分流小r,小E,谐音:分流小仁小义)
3.利用两只电压表测定电池电动势和内阻(伏伏法)
如图,设当开关K与1接触时,电压表V1读数为U0;当与2接触时,电压表V1、V2的读数分别是U1、U2,由欧姆定律E=U0+U0r/R1,E=U1+U2+U1r/R1可得:


4.利用两只电流表测定电池电动势和内阻(安安法)
实验原理:测量电路如右图所示,闭合开关时,测得两电流表的示数分别为
,调节滑动变阻器改变R,测得几组不同的电流值,获得实验数据。数据处理:联立方程组,利用公式法和平均值法求出电池电动势和内阻。

实验原理:如图,R0为定值电阻,从小逐渐调大变阻器电阻,并记录两个电压表示数。根据
做
图像。通过图像当功率达到最大值时,满足
即:
,且满足
,即:
。

测电源电动势和内阻的方法还有很多,但是所有的方法都离不开闭合电路欧姆定律和电路串并联的基本原则,在数据处理时应结合多种方式考虑。如:公式法、图像法、平均值法等。其中在过去高考考察中,图像法是重点也是难点。其思路并不难:根据原始欧姆定律公式或串并联关系,列出表达式,整理成题中所给图像的函数表达式,利用其斜率和截距求出相应量即可!
以上是对电学实验 “测电源电动势和内阻” 知识点的归纳总结和扩展,也是电学实验的一种复习方式。其他的电学实验复习可参考这部分进行。也就是在复习电学实验时应在掌握基础的实验电路图、实验步骤、实验原理、注意事项、数据分析、误差分析外还应该多总结方法和技巧,灵活应用,并学会知识的迁移及利用好数学工具。同时,审题时候一定要细心,看清楚电表的内阻是“约”还是“为”;看清楚电表量程,粗略估算电路电流和电压,选择合适的电表;看清楚要求填的是“序号”还是“符号”;是“表达式”还是“计算式”;看清楚所给函数图像的坐标轴及坐标原点;涉及读数时注意“非1不估读”的原则;以及注意题目中对单位和有效数字的要求。
距离高考只有一个多月的时间,我们在紧张的备考中,要保持跟上老师的大节奏,还要有自己课后查缺补漏的小节奏。要向课堂要效率;向习题要正确率;向规范要分数;向细节要成绩!时间紧,任务重。也许这也是到了最紧张、最困难的时候了,但这也正好是离成功最近的时候。越是这个时候,越应该让自己沉着冷静,提高自信,克服焦虑,合理安排作息时间,专心致志的投入到学习中去;越是这个时候,越应该努力坚持,只有对目标锲而不舍地追求,才能迎来春色满园。才能凭每日细小的进步和成功去创造高考的辉煌!加油,同学们!
助力高考精彩文章
昭通2020名师助考⑭丨高考历史第二轮复习的通史方案
▶▶▶▶▶▶▶▶▶▶▶▶来源丨@昭通日报 微信(ID:hdwk2158200)
审核丨@晶姑娘
运营总监丨@俺是大笨蛋
责任编辑丨尹婕
原标题:《昭通2020名师助考⑰丨秒测电源电动势和内阻,轻松搞定物理实验复习》

