河南省2026年度统一考试录用公务员商丘市两级法院面试确认人员名单
2026年省考进面名单已公布!
先恭喜报考商丘法院成功进面的各位,
快来查看人员名单!
河南省2026年度统一考试录用公务员
商丘两级法院面试确认人员名单
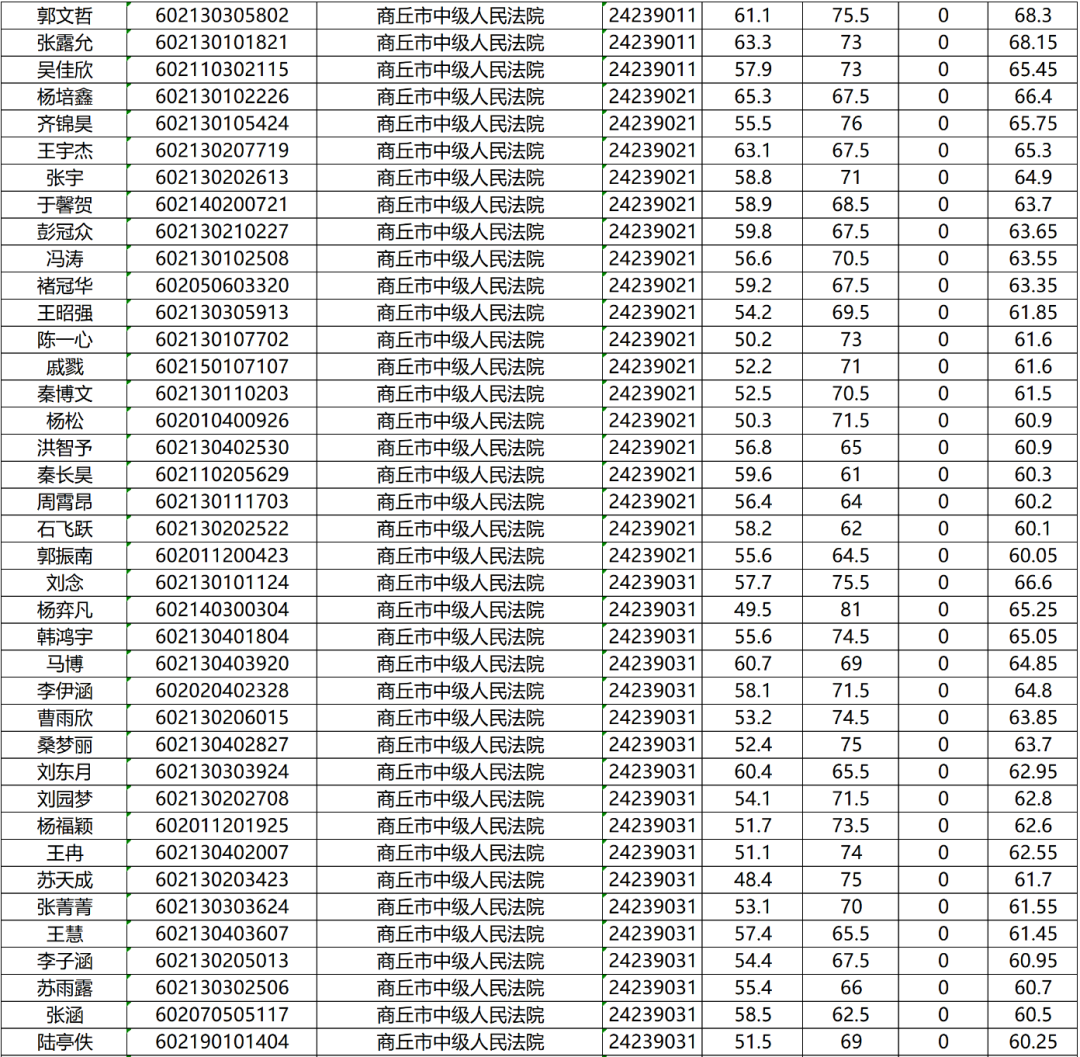
商丘市中级人民法院面试人员名单
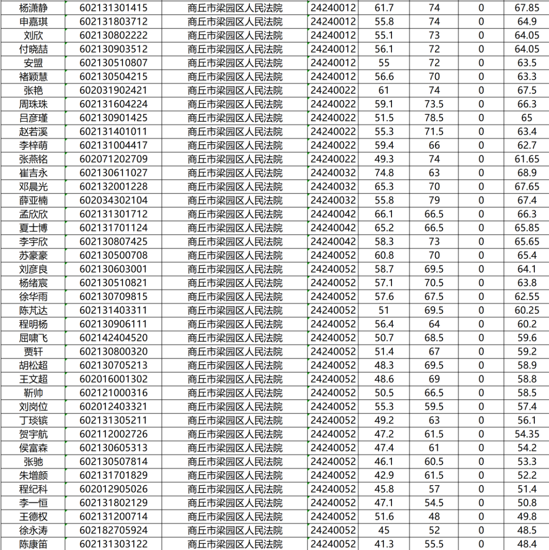
梁园区人民法院面试确认人员名单
睢阳区人民法院面试确认人员名单
永城市人民法院面试确认人员名单
夏邑县人民法院面试确认人员名单
虞城县人民法院面试确认人员名单
柘城县人民法院面试确认人员名单
宁陵县人民法院面试确认人员名单
睢县人民法院面试确认人员名单
民权县人民法院面试确认人员名单
提醒
一、参加面试确认的人员
根据各职位参加面试人数与拟录用人数3:1的比例,按照笔试成绩从高分到低分的顺序,确定各职位参加面试人选。笔试有缺考、作弊或者成绩为零分等情况,以及未达到笔试合格分数线的,均不得进入面试。
二、面试确认的方式和时间
1.面试确认方式。本次面试确认采用线上审核的方式进行。
2.面试确认时间。2026年4月11日8∶00至4月13日16∶00。
3.面试确认结果查询时间。2026年4月11日9∶00至4月13日18∶00。
三、面试确认需提交的材料和要求
应试者须于2026年4月11日8∶00至4月13日16∶00,登录商丘人事考试网(www.sqrsks.cn),点击“河南省2026年度统一考试录用公务员商丘市职位面试确认”,按照河南省2026年度统一考试录用公务员面试确认操作流程(附件2)要求和提示分类上传面试确认材料。请将每份材料通过扫描或拍照等方式,制成JPG格式图片,图片须端正、清晰、大小适中(建议每张图片大小控制在300KB以内)。
应试者根据职位要求提交以下材料:
1.《河南省2026年度统一考试录用公务员商丘市职位面试确认登记表》(应试者登录面试确认平台进行信息维护后导出打印并由本人签字确认)。应试者在进行信息维护时应如实填写本人真实、完整的学习经历(含目前在读学习方式、所学专业、学制等)和工作经历等内容。
2.《家庭成员及主要社会关系信息采集表》。
3.本人有效身份证(正、反面)。
4.笔试准考证。
5.毕业证、《学历认证报告》或有效期内的《教育部学历证书电子注册备案表》。我省全日制技工院校高级工班、预备技师(技师)班毕业生,可分别参照大专、本科文化程度报考,应提交毕业证、职业技能等级证书。党校学历须由中央党校或省委党校认证,留学回国人员须提交教育部留学服务中心出具的学历学位认证书。报考职位有学位要求的须提交学位证及《学位认证报告》或有效期内的《中国高等教育学位在线验证报告》。以辅修、第二学位专业报考的,除提交主修专业毕业证、学位证及相关认证外,还须提交辅修证书、第二学位证书及相关认证等证明材料。
6.普通高等学校2026年应届毕业生应当于2026年7月31日前取得毕业证(学位证),面试确认时未取得毕业证(学位证)的须提交本人的学生证和所在院校出具的报考推荐证明并加盖公章(证明内容包括:应试者姓名、本人有效身份证号、目前就读院校、学生证号、入学时间、学历层次、学制、所学专业、学习方式、就读年级、毕业时间等。
7.报考职位专业要求为一级学科、专业类或学科门类的,如应试者毕业证书上的专业不在《职业教育专业目录》(2021年版)、《普通高等学校本科专业目录》(2023年版)、《研究生教育学科专业目录》(2022年版)中,但应试者认为所学专业符合职位要求的,须提交相关证明材料(如:国家教育行政部门下发的文件通知、教育行政部门或学校教务部门盖章的记载有所学专业课程内容的学习成绩表或主要课程目录及所报考职位要求的对应专业的主要课程目录等并注明出处;留学回国人员还须提交有资质的翻译机构出具的学历学位证书和学习成绩表中文翻译件等证明材料)。
8.报考职位要求面向服务基层项目人员的,须提交本人服务期满且考核合格的服务证书或证明(大学生村干部须提交县〈市、区〉党委组织部门出具的相关证明);符合条件的退役士兵(含高校毕业生退役士兵)、2024年9月1日《退役军人安置条例》施行后退出现役在我省安置并具有本科以上学历的安排工作的退役军士和义务兵,须提交本人的入伍通知书、退伍证等相关证明材料。
9.报考职位要求面向退役士兵的,须提交本人的入伍通知书、退伍证。
10.报考职位要求面向本地户籍或生源的,须提交户口簿首页及本人页,生源地情况由公务员主管部门统一查询。
11.在职人员须提交所在单位(具有人事管理权限)出具的同意报考证明(模版见附件5,如所在单位没有人事管理权限,须由主管部门出具);报名时在职,面试确认时离职且现在没有工作单位的,须提交离职证明等相关证明材料。
12.报考职位对职业资格有要求的,须提交有关证书(参加2025年国家统一法律职业资格考试达到相应合格分数线的应试者,须提交从司法部网站下载打印或者市级司法行政部门出具的2025年国家统一法律职业资格考试客观题、主观题成绩通知单,并应于2026年9月30日前取得相应法律职业资格证书)。
13.报考职位要求“政治面貌”为中共党员的,须由应试者所在基层党委认真查核入党材料,如实出具党员身份证明
14.任职回避承诺书
15.报考职位要求需要提交的其他证件、证明及材料。
主动放弃面试资格的应试者,应提交《放弃面试资格声明》,声明须经本人手写签名、按手印并附本人有效身份证正、反面复印件。未在规定时间内提交《放弃面试资格声明》或逾期未提交面试确认材料的,均视为主动放弃面试资格。
四、注意事项
1.参加面试确认的应试者须于4月13日16∶00前将面试确认材料按规定提交审核,4月13日16:00后,平台将不再接受初次提交的面试确认申请。
2.面试确认材料提交后,招录机关将根据情况及时审核,应试者可于4月11日9∶00至4月13日18∶00登录面试确认平台查询审核结果。因材料不全、模糊不清等原因审核未通过且需要修改或补充材料的应试者,须于2026年4月13日18∶00前及时修改或补充材料,超时将无法修改完善提交。未按要求及时修改或补充的,视为主动放弃面试资格。如因提交的材料不全或模糊不清导致审核未通过的,责任由应试者本人承担。请应试者尽早提交面试确认材料,避免因网络拥堵无法及时进行面试确认。
3.应试者提交的各项材料必须真实、完整。资格审查工作贯穿考试录用全过程,在各环节发现报考者不具备报考资格条件、不符合报考职位要求或者存在不得考录情形的,按规定取消报考资格或者录用资格。
4.面试确认期间出现应试人员空缺时,根据缺额从报考同一职位的人员中,按照笔试成绩从高分到低分的顺序,依次递补符合条件人员参加面试确认,发布递补公告,递补只进行一次。此后,在面试、体检(体能测评)、考察、拟录用人员公示等各环节如出现职位空缺,均不再递补。面试确认结束后,面试确认递补公告将及时在商丘人事考试网(www.sqrsks.cn)发布,请未进入面试确认的考生及时关注递补公告,避免错过面试确认递补机会。
5.有关面试、体检(体能测评)、拟录用人员公示等信息均通过商丘人事考试网发布,原则上各环节均不进行电话通知,请应试者及时关注商丘人事考试网,做好有关准备。因未及时查看信息而造成的一切后果,由应试者本人承担。
其他未尽事宜,以公务员录用有关法律、法规、政策以及《河南省2026年度统一考试录用公务员公告》的有关规定为准。
联系方式:0370—3289368
中共商丘市委组织部
2026年4月10日
往期推荐
RECOMMEND
商丘两级法院2026年4月领导接访值班信息表
商丘法院:筑牢青春防线,法育美好未来
商丘市法院系统2026年公开招聘书记员技能考试成绩查询暨面试公告
原标题:《河南省2026年度统一考试录用公务员商丘市两级法院面试确认人员名单》

