被人嫌弃的脂包肌,其实才是最好的身材!
原创 蒋永源 科普中国
最近《一路繁花》综艺上刘晓庆旺盛的食欲和荤素搭配的吃法出圈,在女明星连一根面条都要咬三下就不敢多吃的内娱可以说独树一帜,很多人看完都感叹:人还是不能太瘦,还是胖点好。
图源:《一路繁花》综艺截图其实,这些年脂肪被很多人误解,尤其是部分女性,生怕自己身上多了一丝脂肪,不惜饿肚子也要瘦下来。
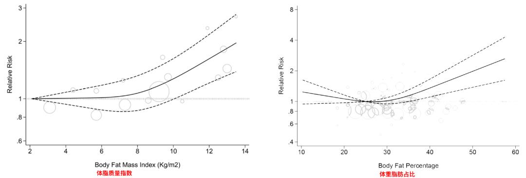
实际上,适当的保留脂肪是人体的自我保护,这一点在女性身上更加明显。一项来自《国际肥胖杂志》上的荟萃分析指出,身体的脂肪量与全因死亡率呈现J型关系,太高、太低都会增加死亡风险;其中体脂率为 25%时全因死亡风险最低。
来自参考文献[1]并在且这项研究中,还发现了一个规律,同样是脂肪增加,男性的全因死亡率增加得更为明显,女性死亡风险的上升显得更为温和。
来自参考文献[1]所以,大家千万不要执着于过度减肥,以至于丢掉了自己的“盔甲”啊!
脂肪,真的比想象中重要!
虽然过多的脂肪不仅会让人发胖、影响外形,还与心血管疾病、糖尿病等健康问题密切相关,但实际上,脂肪在人体内扮演着至关重要的角色。
1
为人体提供能量
首先,脂肪是人体主要的能量来源之一。尤其是在进行低到中等强度、长时间的运动或劳动时,脂肪能够提供持续的能量,减少对碳水化合物(糖原)的依赖,从而延缓疲劳的发生。这意味着,适量的脂肪储备有助于提升耐力,使我们在运动或日常活动中更加持久、高效。

74 岁的刘晓庆小跑起来时,团里的小年轻艺人吓得一脸惊恐地在后面追她:“姐你别跑了!” 图源:《一路繁花》综艺截图2
保护身体器官
其次,脂肪还具有重要的机械保护作用。
关节周围的脂肪(如足跟、掌部)能够吸收冲击力,减少运动或行走时的损伤;眼眶中的脂肪有助于固定眼球,防止震荡造成的损害;而肾脏和心脏周围的脂肪则像天然的“保护垫”,在固定器官位置的同时,提供额外的缓冲,减少外界压力带来的伤害。
3
维持人体正常代谢
脂肪组织还能够分泌多种激素,帮助维持人体的正常代谢。非肥胖状态下,脂肪组织会分泌多种保护性激素。例如,脂联素能够增强肝脏和肌肉对胰岛素的敏感性,维持血管弹性,从而降低心血管疾病的风险;瘦素则能够抑制食欲、促进脂肪氧化,防止体脂过度积累。这些激素的调节作用使得适量脂肪成为身体代谢平衡的重要保障。
此外,脂肪组织还发挥着“代谢缓冲”的功能,即在能量摄入过多时,能够储存多余的脂肪,避免脂肪在非脂肪组织(如肝脏和肌肉)中过量沉积,从而降低代谢综合征的风险。
研究发现,脂肪营养不良(脂肪组织极少)患者往往会在骨骼肌和肝脏中出现异常的脂肪沉积,导致胰岛素抵抗程度显著高于一般肥胖者。值得一提的是,身体下半部分的脂肪储存能力更强,释放到血液中的游离脂肪酸较少。
因此相比于腹部脂肪堆积,更不容易引发胰岛素抵抗。这也是为什么“梨型身材”相比“苹果型身材”在健康风险上更占优势的原因。
4
调节免疫功能
适量的脂肪中含有常驻的免疫细胞,例如抗炎 M2 型巨噬细胞,它们能够促进组织修复,维持胰岛素的敏感性。同时,脂肪组织中的调节性 T 细胞也能够帮助控制炎症水平,使机体维持低炎症状态,从而降低慢性疾病的发生风险。
参考文献[3]:瘦脂肪库中含有多种类型的免疫细胞,主要为常驻的 M2 巨噬细胞、嗜酸性粒细胞和 Treg,起保护作用。在营养过剩的情况下,促炎细胞会积聚,包括 M1 巨噬细胞、肥大细胞和各种 T 淋巴细胞,产生慢性炎症增加疾病风险。总的来说,脂肪并非我们想象中的“负担”,而是身体的一部分,承担着多个重要功能。保持适当的脂肪储备,不仅能让你看起来更加健康,还能确保身体各项功能的正常进行。
这样做,让身体保持适量脂肪
既然脂肪在人体中扮演着如此重要的角色,我们应该如何在维持健康的同时,保持适量的脂肪呢?
首先饮食结构要合理,比如刘晓庆碳水、蛋白质、脂肪三大营养素哪个都没有完全从饮食里剔除,而且喜欢鱼肉这类含有优质脂肪和优质蛋白质的食物,还会吃绿色蔬菜,保持膳食纤维、维生素的摄入。
其次要有科学的运动习惯,无论是快走、慢跑、游泳,还是深蹲、卧推,选择自己喜欢的运动方式,主要是能够坚持、养成习惯,并且运动计划合理,不要盲目加量,也不随便划水。
图库版权图片,转载使用可能引发版权纠纷最后保持良好的生活习惯,不要熬夜,保证充足的睡眠;适当的室外活动,接触大自然,可以释放压力,有助于保持健康的脂肪分布。
脂肪并非人体的敌人,而是维持健康的重要组成部分。与其一味削减脂肪,不如学会如何科学地管理它,让身体保持最佳状态。
参考文献
[1]Jayedi A, Khan TA, Aune D, et ak. Body fat and risk of all-cause mortality: a systematic review and dose-response meta-analysis of prospective cohort studies. Int J Obes (Lond). 2022;46(9):1573-1581.
[2]Hargreaves M, Spriet LL. Skeletal muscle energy metabolism during exercise. Nat Metab. 2020 Sep;2(9):817-828.
[3]Rosen ED, Spiegelman BM. What we talk about when we talk about fat. Cell. 2014;156(1-2):20-44.
[4]Liu Y, Qian SW, Tang Y, et al. The secretory function of adipose tissues in metabolic regulation. Life Metab. 2024;3(2):loae003.
[5]Grundy SM. Adipose tissue and metabolic syndrome: too much, too little or neither. Eur J Clin Invest. 2015;45(11):1209-17.
策划制作
作者丨蒋永源 第三军医大学内科硕士
审核丨黄盘冰 江苏南通苏锡通科技产业园区人民医院 内科主任
策划丨一诺
原标题:《被人嫌弃的脂包肌,其实才是最好的身材!》

