2025开门红!最新进展来了!
开局即冲刺
实干展新功
华科人刻苦攻关、施展才华
在科研一线追梦奔跑——
附属同济医院
在干细胞治疗脑出血领域
首次拿到国家级批件的
临床研究项目
材料学院黄云辉、姚永刚团队
与合作者发表最新研究成果
为高性能电池负极材料的
精准智能开发
提供了新思路和方法
……
一起来看
华科大各科研团队
1月成果代表——
能源学院冯光课题组在恒电势分子模拟方法研究方面取得新进展

图为考虑电子溢出效应分子模拟方法的示意图:(a)双电层界面的电极诱导电荷;(b)诱导电荷的多极矩展开;(c)诱导电荷分布的示意图。红色、蓝色等值面分别代表正电和负电。
1月28日,《物理评论快报》在线刊发了能源学院冯光教授课题组关于恒电势分子模拟方法的最新研究成果,论文题目为“考虑电子溢出效应的双电层恒电势模拟”。研究团队开发了考虑电极电子溢出效应的恒电势分子动力学模拟方法,深入研究了金电极-水溶液界面的基准体系,解析了其微分电容和界面结构以及充电动态过程。结果表明,新方法得到的现象与常规恒电势方法存在显著不同——其揭示的微分电容与界面结构与实验定量吻合,充电过程与理论吻合,从而解决了常规恒电势方法无法准确模拟金属-水溶液界面的难题。同时,该工作通过有效结合第一性原理计算和分子动力学模拟的优点,实现了对百万原子量级的双电层体系的分子模拟,其计算效率媲美常规恒电势方法。此外,该工作对于界面结构以及充电过程的分子尺度机理剖析有助于理解其他电化学领域,如电池、电催化、电镀和电容去离子领域。
论文链接:
https://doi.org/10.1103/PhysRevLett.134.046201
附属同济医院牵头干细胞治疗脑出血领域首次拿到国家级批件的临床研究项目

1月25日,“人脐带间充质干细胞移植治疗亚急性期脑出血的临床研究”筹备会在我校同济医学院附属同济医院光谷院区召开,该项目由同济医院与武汉汉密顿生物科技股份有限公司联合开展,由同济医院党委书记、神经内科唐洲平教授主持。项目于2024年立项申报,并于今年1月15日获得国家卫健委批准,正式备案。这是同济医院建院125周年以来,在干细胞治疗脑出血领域首次拿到国家级批件的临床研究项目。项目的获批,不仅标志着湖北甚至华中地区在脑出血治疗领域取得了又一重大突破,有望攻克脑出血治疗领域的关键科学难题,以及推动我国在该领域占据更加重要的学术地位,也为无数亚急性期脑出血患者带来了新的希望。
材料学院黄云辉、姚永刚团队钠离子电池高容量超快充负极研究成果获关注

图为动力学解耦碳化
1月21日,国际学术期刊《焦耳》在线发表了材料学院黄云辉、姚永刚教授与武汉大学方永进教授、浙江大学朱书泽教授合作的最新研究成果,为高性能电池负极材料的精准智能开发提供了新的思路和方法。论文题为“Interlayer-Expanded Carbon Anodes with Exceptional Rate and Long-term Cycling via Kinetically Decoupled Carbonization”。团队提出了一种利用碳化过程(石墨微晶生长,较快)和石墨化过程(石墨微晶片层收缩,较慢)的动力学参数差异,在短时的高温处理下(1950℃,22s)快速碳化并限制石墨片层间距收缩,从而可控制备高性能膨胀碳负极的新策略,为设计和应用高性能钠离子电池开辟了一条新路径。团队还依据隧道炉设计了宏量制备的装置,并对其能耗、成本、供应链、性能进行了全方位对比,为该成果的落地转化指明了方向。
论文链接:
https://www.sciencedirect.com/science/article/pii/S2542435124005488
物理学院团队在《物理评论快报》连续发表研究成果
1月6日,物理学权威期刊《物理评论快报》同一天在线刊发了物理学院吕新友教授课题组、陆成亮教授课题组的最新研究成果。

多腔系统中近乎完美的光子阻塞效应
吕新友课题组发表题为“Chiral Interaction Induced Near-Perfect Photon Blockade”的研究论文。光子阻塞效应作为一种成熟且重要的物理机制,为实现高纯度单光子发射提供了坚实的理论基础和高效的实现路径。课题组基于散射矩阵理论,证明了手性相互作用能够诱导出近乎完美的光子阻塞效应,这一效应为高纯度单光子源的实现提供了全新思路。这一研究成果为基于手性相互作用的高纯度单光子源制备开辟了新的研究方向,特别是在片上单光子源的集成与量子光学器件的开发方面,展现出潜在的应用价值。

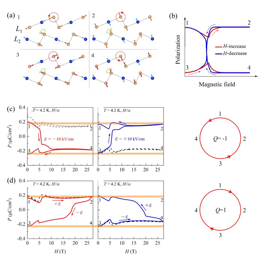
(a) GdMn2O5的晶体结构和磁结构示意图:Mn磁矩形成两条反铁磁链L1和L2,相对a轴倾斜±10° (即魔角)。磁场沿魔角连续扫场两次,反铁磁链L1的磁矩顺时针转动一周,L2的磁矩在平衡位置附近作摆动,系统顺序经历状态1-2-3-4-1。(b) 对应电极化出现两次反转:P1 = -P3, P2 = -P4。过程中拓扑绕数Q=1,类似于面包圈拓扑。(c) 电场作用下,H//a (非魔角)也能实现拓扑磁电过程1-4-3-2-1,即Q= -1。(d) 在最大磁场处反转电场E,则可以获得拓扑磁电过程1-2-3-4-1,即Q= 1。
陆成亮课题组发表了题为“Observation of Universal Topological Magnetoelectric Switching in Multiferroic GdMn2O5”的研究论文。陆成亮、国家脉冲强磁场科学中心王俊峰研究员、东南大学董帅教授为论文共同通讯作者,国家脉冲强磁场科学中心博士后王好文和东南大学博士生王凡为论文共同第一作者。国家脉冲强磁场科学中心博士后常钰婷、杨明副教授、李亮教授、南京大学刘俊明教授等深度参与了该工作。拓扑物理学是凝聚态物理学的重要分支,涌现出诸如拓扑绝缘体/半金属/超导体等系列新概念。与此同时,磁斯格明子、铁电涡旋畴等则代表了另外一大类拓扑结构,即实空间拓扑,广泛出现于磁性、铁电以及多铁材料体系。拓扑磁电作为一类新型的拓扑物理概念,文献报道实现拓扑磁电的条件大多非常苛刻,且参数空间小。围绕于此,合作团队研究了GdMn2O5单晶中的磁电效应,实验结果显示,引入电场能够大大拓展获得拓扑磁电效应的参数空间。计算表明,这些拓扑磁电效应与系统自由能的精确调控密切关联。这一物理图像在RMn2O5 (R为稀土离子)系列单晶中得到了验证。
生命学院栗茂腾团队及合作者克隆了甘蓝型油菜中可显著提高含油量的稀有黄籽显性基因

利用DYSOC1进行杂交育种的示意图
1月4日,生命学院栗茂腾教授团队和及其合作者在国际权威期刊Science Advances发表了题为“A rare dominant allele DYSOC1 determines seed coat color and improves seed oil content in Brassica napus”的研究论文。该研究在黄籽甘蓝型油菜品系N53-2中克隆了可明显提高种子含油量的显性黄籽新基因。据悉,这是我国学者在该期刊上发表的关于甘蓝型油菜种子相关性状基因克隆和功能研究的首篇论文。该研究首先结合近等基因系间的转录组分析和候选区间内的基因序列差异分析,获得了候选基因BnaA09g44670D,并将其命名为DYSOC1。团队提出了两种利用DYSOC1进行种子高含油量甘蓝型油菜育种的策略,分别培育黄色种皮(萌发更快)和黑色种皮(抗逆性更强)的甘蓝型油菜F1杂交种。同时,两种杂交种均可用于黄籽、种子高含油量和种子低木质纤维素含量油菜籽生产。该研究为甘蓝型油菜种子高含油量和黄籽育种提供了新的基因资源,同时也为多组学联合分析和QTL精细定位解析关键农艺性状和候选基因的克隆提供了参考。
论文链接:
https://www.science.org/doi/10.1126/sciadv.ads7620
化学与化工学院王靖宇课题组发表光催化二氧化碳还原相关综述

1月3日,化学与化工学院王靖宇教授课题组在国际著名材料期刊Materials Today发表题为“金属有机框架基光催化剂结构设计关联CO2还原助剂选择”的论文。光催化二氧化碳转化为高附加值产物在缓解温室效应和解决能源危机方面备受关注。金属有机框架(MOFs)等晶态多孔材料因高孔隙率、高比表面积和结构可调等优点,在光催化还原二氧化碳领域得到了广泛应用。文章针对MOF基光催化剂的结构合理设计与驱动气-液-固相CO2还原所需的特定添加剂之间的联系,对相关研究进展进行综述。文章根据气-液-固相CO2还原的反应条件,围绕光敏剂与牺牲剂共存、仅添加牺牲剂、全反应三种条件,从晶体结构、模块构筑、光敏单元等方面分析了MOF基光催化剂的结构设计策略,建立MOF基光催化剂结构与反应体系之间的联系,并阐明了与催化性能对应的“构-效关系”。文章还对MOF基光催化剂用于气-液-固相光催化还原CO2过程中面临的挑战、机遇和前景进行了展望。
论文链接:
https://doi.org/10.1016/j.mattod.2024.12.019
以自立自强
勇攀科技高峰
华科人激扬雄心壮志
将努力实现更多
“从0到1”的突破
华中科技大学(ihuster)
来源 / 华科大新闻网 各相关单位
封面图 / 陶然
编辑 / 记者团 钟芷芸
校对 / 郭雨辰

继续滑动看下一个轻触阅读原文

华中科技大学向上滑动看下一个
原标题:《2025开门红!最新进展来了!》

