海森堡 —— 一个被误解误传的量子力学奠基人(下)
以下文章来源于中国物理学会期刊网 ,作者曹则贤
中国物理学会期刊网.
中国物理学会期刊网(www.cpsjournals.cn)是我国最权威的物理学综合信息网站,有物理期刊集群、精品报告视频、热点专题网页、海内外新闻、学术讲座,会议展览培训、人物访谈等栏目,是为物理学习和工作者提供一站式信息服务的公众平台。
|作者:曹则贤
(中国科学院物理研究所)
本文选自《物理》2024年第12期
(接53卷 第11期)
6 提出交换作用
海森堡1926年的“量子力学中的多体问题与共振”一文发自哥本哈根,收稿日期为 1926 年 6月11日,这篇可以说是波动力学发展过程中的一个标志性工作。奇怪的是,就在6月8日海森堡在写给泡利的明信片上还说薛定谔的波动力学的直观图像就是“屎”。
海森堡从量子力学共振现象研究出发,试图建立量子力学处理多体问题的基础,结果注意到所得结果同玻色—爱因斯坦统计以及泡利禁制(即稍后的费米—狄拉克统计)之间的联系。薛定谔的波动力学是进入量子力学领域的数学舒适的新入口 (einen neuen mathematisch wesentlich bequemeren Zugang znm Gebiet der Quantenmeehanik),据此可见量子力学同多维空间中的波动光学(Wellenoptik in mebrdimensionalen Ranmen)之间的形式相似{海森堡的可观测量(光学量)同薛定谔的多维空间波光学相遇了,要不说量子力学是辐射问题呢}。对一个f -自由度的系统,薛定谔把量子力学问题替换成 f-维空间里的本征值问题。薛定谔的程式(Verfahren,program)不是德布罗意意义下的物质(的)波理论的结果;量子力学之最重要的一面是,它是基于粒子图像的。那粒子的运动不是用我们通常的时空概念描述的。
量子力学解释原子光谱有个著名的难题,即碱金属和氦谱中单重系与三重系之间的距离要比由两个转动电子的磁相互作用所造成的差别大数量级。海森堡要试试,分析一下量子力学用于多电子问题时能做的论断。结果是,上述困难自动消解,且可以建立起玻色—爱因斯坦计数(还有泡利禁制)同量子力学的关系。
最简单的多体问题是两个耦合的谐振子,只要相互作用能是坐标的二次型,就总能解耦合。此处量子论的结果总有经典的类比。两电子系统的哈密顿可写为
引入
{为了更好地理解固体物理,笔者以为这个变换最好写成
记住,多体问题只有加号!},哈密顿量变为
其中
稳态能量为
图8 海森堡原文中的图2。n′1n′2表示构成的项系统分成了两套子系统
记(光谱)项为符号 n′1n′2,对于固定的 n′1 + n′2值,n′1n′2 的各种组合可以按照 n′1从大到小交替赋予“■”和“+”。举例来说,n′1 + n′2 = 3,则对于n′1n′2 的组合 30,21,12,03 可以交替地赋予标记“■”和“+”。假设两电子是在一条直线上相对一个带电荷的点振动,则电偶极矩实质上只由 q1 +q2 表示。假设发光是电偶极矩造成的,不考虑高阶矩的作用,则跃迁只发生在 n′1 改变 1 的项之间(图 8)。这样,n′1n′2标记的项系统(Termsysteme)就分成了两个子系统,“■”和“+”,组合(即跃迁)只发生在“■”系统或“+”系统内,而交互组合则不可能出现。
若假设振子具有原初的相同性{后来的物理文献称为全同性},则因为在量子力学处理中交互组合的缺失就出现了一种特征的不确定性(Unbestimmtheit),即大自然实现了两个项系统,还是只是其中之一?因为不管是系统“■”还是系统“+”,或者两者的组合,都构成对问题的量子力学解。海森堡指出,在我看来这个量子解的Unbestimmtheit是最具有实质意义的结果。它提供了足够的自由,使得玻色—爱因斯坦计数的要求以及泡利的等价轨道禁制都可以丝滑地加入量子力学系统。
海森堡最为人推崇的是他的直觉,这在这篇文章里表现得淋漓尽致。海森堡写道:“结果是,人们把一个其测度同欧几里得空间严重偏离的空间当成了普通空间(es sei denn, man rechnet einen Raum, dessen Maßbestimmung von der Euklidischen wesentlich abweicht, zu den“gewöhnlichen”Raumen)”。这个海森堡注意到的空间后来被冯·诺伊曼发展成为希尔伯特空间。又,“于是,因为在此问题的量子力学处理中缺少了交互组合,从而浮现了一种特征的不确定性 (Dann tritt wegen jenes Mangels an Interkombination in der quantenmechanischen Behandlung des Problems eine charakteristische Unbestimmtheit auf)”,对的,1927年他接着阐释这个本文提及三次的 Unbestimmtheit,就成了今天人们念念不忘的“不确定性原理”。又,“…泡利禁制与爱因斯坦统计有相同的起源,且与量子力学不矛盾(…daß Paulis Verbot und die Einsteinsche Statistik den Gleichen Ursprung haben, und daß sie der Quantenmechanik nicht widerspre‐chen)”,这就是后来证明了的量子统计与自旋的关系;“…为了算出多电子原子的谱,我们可能无需 解 决 这 些 困 难 (…daß wir wahrscheinlich diese Schwierigkeiten nicht zu lösen brauchen, um die Spektra der Atom emit mehreren Elektronen auszurechnen)”,嗯,后来维格纳和外尔把群论引入量子力学,证明了海森堡的这个观点。
图9 海森堡多体问题论文 p.414 上的截图。量子论和量子力学是并列的两个概念在这篇文章中,海森堡是明确地把量子论和量子力学作为不同的两个概念提及的(图 9),后世的人们常常把这两个概念混为一体。这篇文章的重点是提出了交换作用。交换作用(exchange interaction)是导致铁磁性的主要物理效应,没有经典对应。狄拉克也独立发现了交换作用,但是稍晚些(P. A. M. Dirac, On the Theory of Quantum Mechanics, Proceedings of the Royal Society A 112(762), 661—677 (1926-10-01). 收稿日期为 1926 年8月26日)。
此文还有第二部分,收稿时间为1926年12月22日。不再赘述。
7 不确定性的困惑
所谓的不确定性原理几乎被当成了海森堡最伟大的成就,它是许多严肃量子力学问题论证的基础,也是许多人特别热心的关于量子力学的闲扯皮。1995年,当笔者终于完成了博士学位论文有点闲暇时,便决定认真研读海森堡1927年的这篇 “论量子论运动学与力学的直观内容”,顿时疑窦丛生。及至读了 Max Jammer 的 The philosophy of quantum mechanics (John Wiley & Sons,1974),读到了其中给出的诸多当时就出现的严肃推导,才确认其中的荒唐,最终写了名为“Uncertainty of the uncertainty principle” 的长文(物理学咬文嚼字044)。海森堡这篇文章的影响极大,至迟在 1929 年就有了英文uncertainty principle 的说法。
其实,海森堡此文不过是在强调在量子力学(指玻恩、约当的矩阵力学)中非对易关系式pq - qp =
所带来的特殊性。如果我们注意到经典力学中并非没有非对易代数,而是还有
这样的非对易关系,而量子力学对其也是直接照搬的(用约当的关系p = - iℏ∂改造了一下),就不会莫名惊诧了{笔者瞎想,强调量子力学所用代数同经典力学所用代数之同一也许比强调不同更有意义}。
这种非对易关系及其表示,比如用泡利矩阵,相关知识早在60年前就准备好了。此处先简短述说几句关于不确定性原理的不恰当处。
(1) 定义算符方差为
则由Schwarz不等式,有
其中[ A, B ] = AB -BA,{A, B} = AB + BA. 忽略右侧第二项,得
稍微对数学严谨性有一丁点儿敬畏心的人都知道,这么做了以后,那个“≥”中的“=”可能就没有成立的机会了(参见Max Jammer之 The indeterminacy relation一章)。以坐标和动量算符q, p 为例,[ q, p ] = iℏ,有 ∆q∆p ≥ℏ/2。再进一步地把那个“≥”仅当作“=”处理,就有了所谓的∆q∆p ~ℏ/2 或者 ∆q∆p ~ ℏ,就可以满嘴跑火车怪力乱神了,比如什么位置测量越准确,则同时动量测量就越不准确。稍微对数学严谨性有一丁点儿敬畏心的人都知道,如果是∆q∆p >ℏ/2这样的关系,根本就不存在一者变大则一者必然变小的事儿。
(2) 还是拿严格可解的量子力学问题来验证一下吧。比如,无限深方势阱,或者谐振子问题,这两个问题是严格可解的,波函数都是已知的。可以计算一下不同本征态下∆q,∆p的值,人们会发现,∆q,∆p 是同步变化的{参见刘家福,张昌芳,曹则贤,一维无限深势阱中粒子的位置—动量不确定性关系:基于计算的讨论,物理 38,491—494(2010)}!一个粒子,其位置不确定度的增加必然伴随动量不确定度的增加,反之亦然。趾高气昂的富人就是比畏畏缩缩的穷人难以把握行踪。
海森堡这篇文章中,大多时候 Quantenmechanik是指矩阵力学,以示同薛定谔理论的区别。这篇 27 页的论文不好读,海森堡在讨论不确定性问题时牵扯了三个不同的概念,即 Unbestimmtkeit (不确定性),Ungenauigkeit (不准确),Unsicherheit (拿不准,说不好,见于Unsicherheitsrelation,拿不准关系)。理论论证用的是 Dirac—Jordan的变换理论;在(想象)实验论证方面,海森堡则提及了 Γ- 显微镜 , 外加康普顿效应 ,Ramsauer效应,光电效应,多普勒效应,Stern—Gerlach实验,Franck—Hertz 实验,Woods 实验,等等,这对于一个理论物理学家来说挑战不小{那些讨论海森堡不确定关系的文章基本不提这些内容},你可以想象这里面包含着多少细节上的、原理上的不恰当,以至于此文章的最后两页是根据玻尔建议而来的补充说明。不妨指出一个概念上的漏洞为例。海森堡论证时的一个技巧是把范围[ x,x + ∆x ]里的 ∆ 混淆为理论意义上的方差(比如作为高斯函数型概率函数里的参数),他这么做可能是维恩因他不熟悉显微镜的物理而拒绝让他博士答辩考试通过(一点都不过分)所造成的伤害太大了。也是在不久前的1926年底,在薛定谔报告波动力学时,主持人维恩对作为听众的海森堡的态度再度对他造成了伤害。
然而,必须指出,海森堡的这篇论文是有很多闪光思想的,对后来的量子力学发展具有指导性意义,但一般英文教科书或物理学史研究却鲜有提及。兹略举几例如下:
(1) 用通常的运动学和力学的概念诠释量子力学 是 绝 无 可 能 的 (…eine Deutung der Quantenmechanik mit den gewohnten kinematischen und mechanischen Begriffen jedenfalls nicht möglich ist)。
(2) 关系 p1q1 ~h,其中 p1, q1 分别是动量与位置的测量方差,是对相空间分割成各单元大小为h此一事实的确切表达。
(3) 依据玻恩与约当,量子论有统计特征(…einen charakteristisch statistischen Zug der Quantentheorie);依据狄拉克,此统计是实验带进去的(die Statistik durch unsere Experimente hereingebraeht sei)。
(4) 量子论与相对论好有一比。如果同时性(Gleichzeitigkeit)是“明锐的(sharf)”,即信号速度无穷大,相对论是不可能的;若有实验可同时(gleichzeitig)给出“明锐的”p 和 q,则量子力 学 是 不 可 能 的 (so wäre die Quantenmechanik unmöglich)。不 精 确 性 (Ungenauigkeit) p1q1~h 使得方程 pq - qp =h/2πi 成立而不改变 p,q 的物理意义。
(5) 此中我们可以瞥见薛定谔方程线性之深意;因此我们只能将之视作相空间波的方程,因此我们认为任何尝试将此方程,比如在相对论情形(多电子情形),用非线性方程替代,是无望的(Darin erblicken wir den tiefen Sinn der Linearität der Schrödingerschen Gleichnngen; deswegen können sie nur als Gleichungen für Wellen imPhasenraum verstanden werden und deswegen möchten wir jeden Versuch, diese Gleichungen z.B. im relativistischen Falle (bei mehreren Elektronen)durch nichtlineare zu ersetzen, für aussichtslos halten)。
(6) 每一个量子论的量或者矩阵都允许赋予一个数,或者说是它的“值”,且连同一个确切的概率误差。概率误差依赖于坐标系{注:即后来的本征函数集};任一量子论的量总存在一个该量的概率误差为零的坐标系(注:即该量的本征函数集可用于系统的表述) (Jeder quantentheoretischen Größe oder Matrix läßt sich eine Zahl, die ihren“Wert”angibt, mit einem bestimnmten wahrscheinlichen Fehler zuordnen; der wahrscheinliche Fehler hängt vom Koordinatensystem ab; für jede quantentheoretische Größe gibt es je ein Koordinatensystem, in dem der wahrscheinliche Fehler für diese Größe versehwindet)。
(7)只要承认量子论的量“在现实中”是矩阵 , 则可以无碍地得到定量规律 (Sobald man zugibt, daß alle quantentheoretischen Größen, “in Wirklichkeit” Matrizen seien, folgen die quantitativen Gesetze ohne Schwierigkeiten)。
海森堡的这个工作应该是玻恩—约当 1925年工作的延续。在 1925 年的文章中,玻恩与约当把 pq - qp =
称为“ 锐化的量子条件 ”(die wir die“verschärfte Quantenbedingung”nennen),英译为the sharpened quantum condition。这个verschärfte 一词,我猜,启发到了海森堡,因为不确定性关系就是在谈论可观测量 unscharf (不明锐的)问题。如果我们知道所谓光谱或者轨道记号里的s-都来自这个形容词scharf,就能理解为什么他们能迅速把光谱特征、轨道记号、不确定性原理联系到一起了。
8 质子与中子的同一性
海森堡1932年的关于原子核构造的论文,是他强大的直觉的又一证据{仅有直觉是不够的,比如海森堡就非常熟悉实验结果。海森堡的超凡能力不是一句直觉强大能说清楚的。有些理论物理学家一辈子也不能理解一个实验事实,而有些实验物理学家一辈子也不知道自己在干什么。物理是用公式描述的,是用事实支撑的}。海森堡要讨论一个特别的假设,即原子核可由质子和中子在没有电子参与下构成(die Atomkerne aus Protonen und Neutronen ohne Mitwirkung yon Elektronen aufgebaut seien),启发来自 He 原子核那超乎寻常的稳定性{它竟然能从原子核里自发地释出,此情景下其名为α-粒子}。中子是独立的粒子,而非由质子和电子复合而成。自然可想到,中子可分裂为质子和电子{因为0 = 1 +
},根据玻尔的观点,此过程中能量与动量守恒可能不成立 (wobei vermutlich die Erhaltungssätze für Energie und Impuls nicht mehr anwendbar sind)。
海森堡假设中子遵从费米统计,自旋为 1/2。然后基于
离子(其和
的异同称得上一本专著)的类比,加上此前他发展出的位置交换(Platzwechsel)理论,海森堡尝试写出原子核的哈密顿量。海森堡认为,原子核中的每个粒子由 5 个参数表征,3个位置坐标,自旋z-分量
,以及一个身份标签
表示中子,
表示质子。重要的是,哈密顿量中因为位置交换应有描述
,
之间的跃迁元素,故而应纳入矩阵:
{字儿,笔者是看懂了,但是此处论证的逻辑链笔者没悟出来。仅仅只是从1927年的泡利方程得到的灵感吗?不过,似乎杨—米尔斯场的影子这儿是已经有了}。由此海森堡写出了:
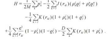
上式右侧第一项是动能项,第四项是库仑作用项,第五项是为质子质量略小于中子而引入的质量补偿,都比较直观好理解。第二项中的 J (r),海森堡说它是互换(Austausch-)或者说是位置交换积分(Platzwechselintegral),由的分子理论类比而来{笔者不熟},不过不妨就看作是中子—质子对的一个基本性质(eine fundamentale Eigensehaftdes Paares Neutron und Proton anzusehen)。类似地,第三项中的 -K (r) 是两中子间的交换作用,其导致中子间的吸引。
这个模型对不对的另说,您就说海森堡这构造物理的能力强不强吧!
海森堡接下来讨论奇数和偶数个中子的原子核的稳定性,γ-射线被原子核的散射,中子性质等问题。他注意到了中子的一些行为无法用量子力学描述。限于篇幅,不多赘述。
基于海森堡1932年的质子—中子结合的原子核模型,维格纳(Engene Wigner,1902—1995)于1937 年提出了同位旋的概念[E. Wigner, On the Consequences of the Symmetry of the Nuclear Hamiltonian on the Spectroscopy of Nuclei, Physical Review 51(2), 106—119(1937)],此为第一个与时空对称性无关的“internal”量子数。此是后话,不多赘述。
9 多余的话
海森堡一直被传为是量子力学(特指矩阵力学)的创立者,始作俑者恰是玻恩本人。在玻恩、约当1925年的创立矩阵力学一文的摘要中,他们写道:“不久前由海森堡所给出的预设将(首先针对一个自由度的体系)发展为量子力学的系统理论[Die kürzlich von Heisenberg gegebenen Ansätze werden (zunächst für Systeme von einem Freiheitsgrad) zu einer systematischen Theorie der Quantenmechanik entwickelt]”。正文的第一句为“此杂志不久前所发表的海森堡所给出的、符合量子论要求的指向新的运动学与力学的预设,在我们看来具有深远的影响 (Die kürzlich von Heisenberg in dieser Zeitschrift mitgeteilten Ansätze zu einer neuen Kinematik und Mechanik, die den Grundforderungen der Quantentheorie entsprechen, scheinen uns von großer Tragweite zu sein)”。在玻恩、海森堡和约当三人署名的论文中,摘要的第一句为“本文第一部分中基于海森堡预设所发展出的量子力学将被推广至多自由度的体系 (Die aus Heisenbergs Ansätzen in Teil I dieser Arbeit entwickelte Quantenmechanik wird auf Systeme von beliebig vielen Freiheitsgraden ausgedehnt)”。作为对海森堡 1924/1925 年工作的肯定,应该说这几句是忠于事实的,也反映玻恩作为前辈物理学家、导师的优秀品 格 。玻 恩 在 其 他 书 籍 中 也 会 说 Heisenbergs Quantenmechanik (海森堡的量子力学),玻恩抬高了海森堡属于作茧自缚,不能(都)怪别人。
当玻恩—约当创立矩阵力学时,海森堡并不知道什么是矩阵。海森堡自己是承认这一点的。At that time I must confess I did not know what a matrix was and did not know the rules of matrix multiplication [见 W. Heisenberg, Development of concepts in the history of quantum theory, Am. J. Phys. 43, 389—394 (1975)]。海森堡 1925 年一人署名的那篇文章是经由玻恩整理成文且由后者送出发表的 (玻恩曾言道:After having sent Heisenberg’s paper to the Zeitschrift für Physik for publication…),根据他们当时的身份关系这是非常正常的。
至于有人造出了“矩阵力学三部曲”的说法,并把海森堡 1925 年的文章封为矩阵力学之第一篇,源头可能在薛定谔。玻恩文章中的写法,到1926年薛定谔的论文里就变味了。薛定谔1926年的 论 文 Über das Verhältnis der Heisenberg-Born-Jordanschen Quantenmechanik zu der meinen (论海森堡—玻恩—约当之量子力学与鄙人的量子力学之间的关系),题目算是把矩阵力学给判定为“海森堡—玻恩—约当的量子力学”了。由于随后的量子力学简直等同于薛定谔的波动力学,薛定谔的这个说法是致命的。其开篇第一句更是把量子力学归于海森堡一人,谓“一方面是海森堡的量子力学,一方面是此处刚表述了其特征的、被当作“波动的”或者“物理的”力学,两者在出发点与表示范围上的截然不同…(Bei der außenordentlichen Verschiedenheit der Ausgangspunkte und Vorstellungskreise der Heisenbergschen Quantenmechanik einerseits und der neulich hier in ihrenGrundzügen dargelegten und als “undulatorische” oder , “physikalische” Mechanik bezeichneten Theorie anderseits…)。薛定谔显然也知道这样表述是不合适的,故他在 Heisenbergschen Quantenmechanik一词处加了一个脚注,先是给出了所谓“矩阵力学三部曲”所指的那三篇论文的出处,然后写道:“接下来,为了简短起见,我将三篇文章的作者名就用海森堡的名字代替,将后两篇文章称为‘量子力学 I, II’(Ich erlaube mir im folgenden der Kürze halber die drei Autornamen imallgemeinen durch den Heisenbergs zu ersetzen und zitiere die zwei letztgenannten Abhandlungen mit ‘Quantenmechanik I u. II’)”。薛定谔当时是真不知道他的波动力学会被当作量子力学(之全部),不知道自己后来的影响力之大以及一般学者做学问是怎样地不走心,他的一个“为了简短起见(der Kürze halber)”轻松地歪曲了量子力学历史。到了后来的一些量子力学研究者或者教师那里,量子力学(矩阵力学)真就被当成是海森堡的创造了。比如,有人随手写道:“在玻恩和约当的帮助下,海森堡想到了一种矩阵理论…(Heisenberg, with help from Max Born and Pascual Jordan, came up with a matrix theory …)”,这是典型的信口开河。三人成虎,不服不行。
玻恩的谦虚害了他自己和约当。当1932年诺奖委员会以“for the creation of quantum mechanics”的理由授予海森堡诺贝尔奖时,有人评价这个理由是“summed up Heisenberg’s merits in a nutshell”,这个“一言以蔽之”式的理由简直就是对玻恩创立量子力学之成就的干脆抹煞。玻恩对他当年文章中不经意的说法所造成的后果,显然是后悔了的。在玻恩的 My Life: Recollections of a Nobel Laureate (Taylor & Francis, 1978) 一 书218—219 页上,玻恩写道“This paper by Jordan and myself contains the formulation of matrix mechanics, the first printed statement of the commutation law, some simple applications to the harmonic and anharmonic oscillator, and another fundamental idea: the quantization of the electromagnetic field by regarding the components as matrices. Nowadays, textbooks speak without exception of Heisenberg’s matrices, Heisenberg’s commutation law and Dirac’s field quantization.”是的,提起矩阵力学,人们会说起海森堡的矩阵,海森堡的交换律,至于学问的真实来历甚至真实含义是什么,who cares?量子力学很了不起吗,又不是非要懂量子力学才能成为量子物理学家。
海森堡个人对量子力学的态度是非常有趣的。矩阵力学是玻恩—约当构造的 (由狄拉克和泡利发展的),其中的数学不为海森堡所知,但他对矩阵力学是他所创造的说法似乎不反感。波动力学是薛定谔构造的,他说薛定谔波动力学的直观意义是屎。当玻姆(David Bohm,1917—1992)提出导波理论(pilot wave theory)时,海森堡又给它贴上了“a superfluous ideological superstructure (浮夸的思想上层建筑)”的标签。
海森堡对薛定谔波动力学的反应不好理解。在他自己的论文里,海森堡是把波动力学作为量子力学(即矩阵力学)的对照物的。在狄拉克的传记The Strangest Man 一书中提到了这么一件事,1926 年 5 月海森堡在给狄拉克的信中督促狄拉克严肃对薛定谔的理论 [Graham Farmelo, The Strangest Man—The Hidden Life of Paul Dirac,Mystic of the Atom, Basic Books (2009)]。实际上,他本人也确实是严肃对待薛定谔的理论的。然而,在当年 6 月 8 日给泡利的信中,海森堡写道:“薛定谔关于他的理论之直观性所写的,‘不可作有意义的东西看…’。换句话说,我觉得就是屎。薛定谔理论的最大功用就是计算矩阵元(Was Schrödinger über Anschaulichkeit seiner Theorie schreibt,“dürfte whol keinem sinngemässe…”In a. W. ich finde es Mist. Die große Leistung der Schröd.Theorie ist die Berechnung der Matritzenlemente)”。
海森堡是个幸运儿,一些重要的成果都安到了他的头上,比如所谓的海森堡运动方程与海森堡图像或者表示(Heisenberg picture, Heisenberg representation)。
在海森堡表示中,算符
依赖于时间,而波函数ψH不依赖于时间,其同薛定谔表示之间的变换关系为
算符满足运动方程
有人随口就说“the Heisenberg picture or Heisenberg representation is a formulation (largely due to Werner Heisenberg in 1925) of quantum mechanics”,罔顾这个问题里涉及的波函数是 1926 年才有的概念,而其中的变换是狄拉克和约当 1926 年独立发展出来的事实。运动方程的矩阵形式是狄拉克 1925 年的得到的,但这个方程被称为海森堡方程。
最不可思议的是,海森堡1955年竟然抛出了“量子力学哥本哈根诠释”的说法。彼时玻恩、玻尔、薛定谔、约当、泡利、狄拉克这些人都还健在。海森堡的这个“哥本哈根诠释”的发明是第二次世界大战后的一个谜(the image of a unitary Copenhagen interpretation is a post-war myth, invented by Heisenberg)。量子力学的波动力学形式来自在苏黎世的奥地利人薛定谔,而量子力学一词、量子力学的矩阵形式以及关于量子力学的波函数或者波函数模平方的多种诠释则来自德国哥廷恩{笔者最信服来自剑桥的狄拉克的波函数诠释}。不妨说,量子力学不可能出自哥廷恩之外的任何地方。即便说量子力学(特指矩阵力学)是海森堡创造的,也是海森堡在哥廷恩期间创造的。然而,更更更不可思议的是,“量子力学哥本哈根诠释”的说法竟然有人信了,还被写入了某些量子力学教科书,这些人竟然不去关注这个说法的依据是什么、原始文献在哪里。注意到量子力学的诞生与发展在两次世界大战之间,后期还伴随着物理工作语言从德语向英语的转移,这里可能有很多困惑产生的具体原因。
第一个量子力学形式的矩阵力学所响应的是海森堡的求和规则,对海森堡的这个贡献如何评价都不过分。海森堡在1925年之前对量子论的贡献,1925年后对量子力学发展的贡献,都可圈可点,但至少海森堡没有关于量子力学的著述也是事实。认识到这个世界上应该有“量子力学”这种学问是玻恩在1923年前后完成的,并且是玻恩在1924年造了量子力学这个词。就认识到量子力学的存在以及造了量子力学这个词而言,玻恩对量子力学的贡献与其后所有的对量子力学的贡献,包括他本人的,都应该分而论之。
必须说,海森堡身上的一些不解之谜(controversy,myth),基本不是海森堡造成的。后续的量子力学研究者与传播者不明就里、不肯溯源却信口开河的做派难辞其咎。此外,量子力学之玻恩—约当—海森堡—泡利—狄拉克部分都是很难懂的。如果不是因为薛定谔方程可以简单地退化为独立于物理的二阶微分方程,估计人们也懒得理会薛定谔的理论。举例来说,那个对建立波动力学至关重要的薛定谔 1925 年论文就几乎不会被提起。狄拉克之所以被经常提起,可能是沾了相对论的光,他的相对论量子力学方程,除了几个在这个方向上工作的研究者,才没人愿意理会呢。不信,你问问量子力学老师,薛定谔波函数的 ψ*同狄拉克波函数的 ψ之间的不同是什么?
历史真相的细节不重要,但是学问的细节本身却很重要。当我们真心学会了一门学问,则历史的真实细节便也会为我们所熟知。历史的真相可以被遗漏,甚至故意掩盖、扭曲,但学术的逻辑自己会诉说。这是科学史独特的地方,当然这里的科学权且仅限于数学和物理。
致 谢 感谢国家自然科学基金委交叉科学部(批准号:T2241004)对“量子力学诞生百年纪念”系列前期准备工作的资助。
参考文献
[1] Blum W et al (ed.). Werner Heisenberg,Gesammelte Werke,Serie A,Wissenschaftliche Originalarbeiten (海森堡全集 A:学术原文). Springer,1985
[2] Cassidy D C (ed.). Werner Heisenberg:A bibliography of his writings (来自互联网)
[3] Eckert M. Werner Heisenberg:controversial scientist. Physics world,30 Nov.,2001
[4] Arabatzis T. The Zeeman effect and the discovery of the electron.In:Buchwald J Z,Warwick A (ed.). Histories of the electron:the birth of microphysics. The MIT Press,2001
[5] Barut A O,van der Merwe A(ed.). Selected Scientific Papers of Alfred Landé. D. Reidel,1988
[6] Farmelo G. The Strangest Man——The Hidden Life of Paul Dirac, Mystic of the Atom. Basic Books,2009
[7] Howard D. Philosophy of Science,2004,71(5):669
[8] Fedak W A,Prentis J J. Am. J. Phys.,2009,77:128
[9] Orwell G. Nineteen Eighty-Four. Secker & Warburg,1949
(参考文献可上下滑动查看)
END
更多精彩文章请点击下面“蓝字”标题查看:CALL FOR PAPERS|《物理与工程》征稿量子世纪年乌云里的常数——4.14话h会议纪要|2024年全国高等学校物理基础课程教育学术研讨会2023版《理工科类大学物理课程教学基本要求》内容细化修订解读中国大学物理教育MOOC联盟2023年工作会议(扩大)暨典型案例交流会 会议纪要2021年《物理与工程》优秀论文、优秀审稿专家、优秀青年学者名单王青教授:源自苏格拉底的问题驱动式教育——在互动中共同学习和成长读后感:教育中的现实和远方王青教授:昨晚(6月9日),清华电动力学期末考试朱邦芬院士:“减负”误区及我国科学教育面临的挑战《物理与工程》2024年第2期目录乐永康:新冠肺炎疫情防控下美国物理实验教学及中美情况对比顾牡:对于重新制定的《非物理类理工学科大学物理课程教学基本要求》的认识和体会朱邦芬院士:从基础科学班到清华学堂物理班朱邦芬院士:对培养一流拔尖创新人才的思考李学潜教授:物理是一种文化李学潜教授:如何帮助物理系学生迈过从高三到大一这个坎穆良柱:物理课程思政教育的核心是科学认知能力培养穆良柱:什么是物理及物理文化?穆良柱:什么是ETA物理认知模型穆良柱:什么是ETA物理教学法吴国祯教授:我的国外研究生经历印象——应清华大学物理系“基科班20年·学堂班10年纪念活动”而写
陈佳洱,赵凯华,王殖东:面向21世纪,急待重建我国的工科物理教育王亚愚教授:清华物理系本科人才培养理念与实践葛惟昆教授:关于中外人才培养的几点思考安宇教授:为什么传统的课堂讲授模式需要改变安宇教授:其实教学就是积累的过程刘玉鑫教授:关于本科生物理基础课程教学和教材编著的一些思考沈乾若:重创理科教育的美加课程改革Henderson C:美国研究基金支持下的物理教育研究及其对高等物理教育的影响《物理与工程》期刊是专注于物理教育教学研究的学术期刊,是中国科技核心期刊,1981年创刊,欢迎踊跃投稿,期刊投审稿采编平台:
http://gkwl.cbpt.cnki.net
欢迎关注
《物理与工程》微信公众号
继续滑动看下一个轻触阅读原文
物理与工程向上滑动看下一个原标题:《海森堡 —— 一个被误解误传的量子力学奠基人(下)》

