我院于Top期刊Telematics and Informatics 发表最新短视频成瘾科研成果
原创 陈雨舟 上海物质成瘾诊疗中心
摘要截至2024年6月,我国已有接近11亿短视频用户,短视频的快速流行也引发了公众对其问题性使用(problematic short video use, PSVU)的担忧。根据使用与满足理论(Uses and Gratification Theory),个体的媒介使用受特定动机的驱使,是诱发行为的关键内部因素。
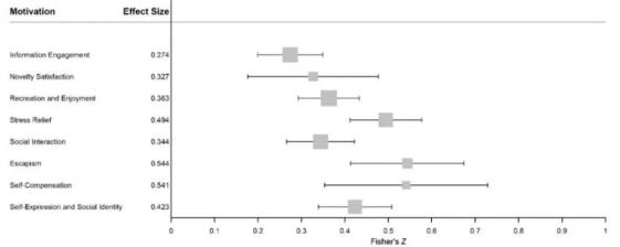
本研究通过三水平元分析的方法共纳入了33项研究、106个效应量和16233名被试,整合了不同类型动机与PSVU的关系,并识别出八种背后的动机:信息获取、新奇满足、娱乐消遣、压力缓解、社交互动、逃避现实、自我补偿、自我表达与社会认同。结果表明,动机与PSVU之间存在正相关关系,其中逃避动机与PSVU的关联最强,其次是自我补偿和压力缓解动机。研究结果强调了动机在PSVU发展中的重要作用,并为PSVU的预防和干预提供了支持和方向。
文章信息研究结果发表于Telematics and Informatics ,IF2023 = 7.6,IF5year = 8.2,JCRQ1(6/160),由上海交通大学心理学博士研究生陈雨舟完成,上海市精神卫生中心赵敏院长、钟娜副主任为本文通讯作者。
论文链接:Chen, Y., Zhang, W., Zhong, N., & Zhao, M. (2024). Motivations behind problematic short video use: A three-level meta-analysis. Telematics and Informatics, 95, 102196. https://doi.org/10.1016/j.tele.2024.102196.
作者介绍
陈雨舟
上海交通大学医学院附属精神卫生中心心理学博士生,主要研究方向为网络媒介(游戏,短视频,社交媒体等)与心理健康。
通讯作者
赵敏
主任医师,博士,博士生导师,国务院特殊津贴专家,上海市精神卫生中心院长,国家精神疾病医学中心主任。联合国(UNODC)科学咨询委员会委员,ICD-11 精神疾病诊断标准中国唯一专家,中国毒品防治专家委员会副主任委员,中国医院管理协会精神病专科分会主任委员,中国医师协会精神科医师分会副会长等。主持过国家科技支撑、重点研发计划、WHO、国家自然科学基金10余项,主编相关指南2部,发表论著 200多篇。
钟娜
副主任医师、博士,上海市精神卫生中心康复科副主任,中级心理治疗师、心理咨询师。长期从游戏成瘾的临床、教学与科研工作。主持国自然、科技部脑计划2030项目3项,发表国内外论文30余篇,参编专著8本。中国药物滥用防治协会成瘾行为分会副主委,上海市康复医学会心身康复专业委员会副主委,世界卫生组织ICD-11中国现场研究主要协调员。

