【复材资讯】环氧树脂阻燃剂:应用挑战与解决方案
研究背景:
Fig. 1 环氧树脂的应用选择不同的固化剂,环氧树脂可以在室温到230℃的范围内固化。环氧树脂的结构不同得到的固化物性能迥异。例如,环氧官能团的数量决定了其功能性和交联能力,羟基或其他极性基团决定了其反应性,固化剂的选择决定了固化物的热稳定性能等。
01环氧树脂的化学问题:
1、环氧树脂的类型
(1)双酚A基环氧树脂
双酚A环氧树脂一般具有低粘度,室温可以固化,具有良好的耐化性而得到广泛的应用。四溴双酚A型环氧树脂具有阻燃性能并广泛应用于PCB材料。氟化的环氧树脂也具有阻燃性能,然而由于其高成本、低Tg限制了其应用。(2)酚醛环氧树脂
酚醛环氧树脂具有较好的阻燃性能,其热稳定性和阻燃性依赖于酚醛的量和固化剂的类型。选用室温固化体系时,其热稳定性与双酚A型环氧树脂类似。但是,采用酚醛含量高且高温固化剂时,其热降级稳定性和热变形稳定得到提高。酚醛环氧树脂主要应用于耐热结构层压板、覆铜板、耐化性长纤缠绕管和高温胶黏剂。(3)脂肪型环氧树脂
脂环型环氧树脂具有良好的UV稳定性、热稳定性和电性能。(4)缩水甘油胺型环氧树脂
具有高的反应性官能团,固化形成高交联结构。因此,固化物具有耐高温、高Tg、耐化学性、低燃烧性和良好的机械性能而广泛应用于航空行业复合材料。由于其室温具有低粘性和高温固化的特性而被用作半固化片。通常用热塑性树脂如聚醚砜、聚醚酰亚胺、聚醚醚酮等增韧解决其脆性问题。燃烧性较普通的树脂要小。(5)生物基环氧树脂
从可再生资源如碳水化合物、淀粉、蛋白质、脂和油制备的树脂成为新的趋势。
01环氧树脂的化学问题:
2、环氧树脂固化剂
环氧树脂固化剂又称为硬化剂,对固化物的最终性能起着非常重要的作用,其性能如硬度、耐化学性能、耐热性、柔韧性和脆性都与交联密度相关。固化剂要么与环氧基反应,要么与羟基反应。常用的固化剂有胺类、酸酐类、酚类、硫醇类等。其反应活性为:酚
<酸酐<芳香胺<脂环胺<脂肪胺<硫醇。< p>酸酐<芳香胺<脂环胺<脂肪胺<硫醇。<>(1)胺类固化剂
低反应性得到长的工作时间,固化物的热稳定性也会增加。芳香胺形成更为刚性的较量结构,其热稳定性更高,燃烧性也低。脂肪胺一般作为快速固化剂在室温下使用。胺类对皮肤具有刺激性。
(2)酸酐
酸酐对皮肤的刺激性低于胺类,其活性和放热更低。包括邻苯二甲酸酐、六氢邻苯酸酐、氯菌酸酐以及马来酸酐等。
测试程序与评估标准:
(1)LOI标准
(2)UL-94标准
(3)锥形量热计法
在实际研发过程中用到DTA、DSC、TGA等热力学手段进行分析表征。
环氧树脂固化物的热稳定性和燃烧性:
环氧树脂固化物的热稳定性和燃烧性与环氧单体的结构、固化剂的种类与交联密度有关。提高交联密度有助于提高耐热性。
由于催化性固化剂(如BF3)没有形成热固的结构,因此不会影响树脂的燃烧性能。反应性固化剂如大多数的胺、酸酐、酚类树脂等插入热固性交联树脂结构中,对燃烧性影响较大。用胺和酚醛树脂固化的环氧树脂比用酸或者酸酐固化的体系产生更多的碳,而具有更低的燃烧性。

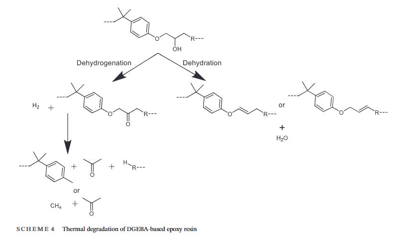
环氧树脂固化物的热降级分为两步:第一步脱氢形成芳环,第二步热氧化完全降解。
02环氧树脂阻燃剂:
1、卤素阻燃剂
虽然有环境因素限制使用,但是卤素阻燃剂仍为应用最广的阻燃剂。应用最多且具有成本优势的是TBBPA,主要应用于PCB。TBBPA作为反应性阻燃剂,其羟基与环氧氯丙烷反应形成缩水甘油醚型含卤素环氧树脂。
02环氧树脂阻燃剂:
2、无机阻燃剂
(1)金属氢氧化物如ATH、MDH
(2)磷基阻燃剂:红磷、APP、MP、MPP




(3)有机磷阻燃剂







(4)硅基阻燃剂:二氧化硅(5)纳米粒子阻燃剂:LDH、MMT、CNT、石墨烯、POSS








03阻燃剂的特殊应用:挑战
1、复合材料:结构均匀性、不能影响基本性能
2、电子电器:环保要求
3、油漆&涂料:厚度较薄
04结论:
(1)讨论了环氧树脂与固化剂的结构对阻燃的影响。
(2)综述了不同阻燃剂及其阻燃效果
(3)提出了阻燃剂的环保要求及未来发展方向。
论文信息:
Baljinder K. Kandola, Federico Magnoni, John R. Ebdon, Flame retardants for epoxy resins: Application-related challenges and solutions,J vinyl Addit Technol. 2022;28:17-49。
DOI: 10.1002/vnl.21980
来源:功能高分子材料
免责声明:中国复合材料学会微信公众号发布的文章,仅用于复合材料专业知识和市场资讯的交流与分享,不用于任何商业目的。任何个人或组织若对文章版权或其内容的真实性、准确性存有疑议,请第一时间联系我们。我们将及时进行处理。
原标题:《【复材资讯】环氧树脂阻燃剂:应用挑战与解决方案》

