文献分享 | 腰部肌肉形态和成分改变与腰痛的关系
文献分享:何天翔;张晓东
负责人:房敏教授
文献团队:朱清广,孔令军,程艳彬,吴志伟,周鑫,石梦妮
近年来,越来越多的腰痛(Low Back Pain,LBP)相关研究关注到脊柱骨骼肌成像技术。通过磁共振成像(MRI)与计算机断层扫描(CT)可量化观察脊柱肌肉的情况,对肌肉形态(肌肉大小或体积)、成分(脂肪浸润量)进行评估。椎旁肌肉的状态与LBP之间的关系也越来越受到重视。
相关研究发现,LBP发生时,竖脊肌(lumbar erector spinae, LES)、腰大肌(Psoas major, PM)、多裂肌(multifidus,MF)存在不同程度的萎缩及脂肪浸润现象,但各研究之间的异质性较大。通过系统综述和荟萃分析,探索LBP与上述肌群肌肉形态、成分之间的关联,有助于进一步指导开发和提供有效、有针对性的LBP治疗方案。通过检索1990年1月1日-2020年7月31日之间的文献数据库,共有20项研究纳入本荟萃分析。
Figure 1:检索词
Figure 2:文献筛选流程图研究数据由2名审查员独立提取。使用标准化均数差(STD mean difference,SMD)直接比较连续测量数据之间的集合结果。效应大小定义为3种级别:小(SMD<0.40)、中(0.40≤SMD≤0.70)大(SMD>0.70)。使用比值比(odds ratio,OR)比较分类结果变量。效应大小同样定义为3种:小(1.5≤OR≤2.49)、中(2.5≤OR≤4.29)、大(OR≥4.3)。
使用NOS量表评估各研究的质量,结果显示:40%(10项研究)的质量为"好",12%(3项研究)的质量为 "一般",48%(12项研究)的质量为"差"。各评分者之间的一致性水平良好。具体结果见下图:
Figure 3:研究质量评估观察MF、LES、PM的总横截面积(TCSA)、肌肉横截面积(MCSA)或功能性肌肉大小(functional muscle size,定义为TCSA减去肌内脂肪和肌内脂肪浸润),对20项研究进行了meta分析。
研究结果如下:
①LBP和多裂肌形态/组成之间的关系
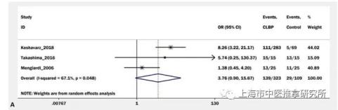
研究报告的合并SMD显示,LBP患者的多裂肌TCSA (SMD= -0.24, 95% CI= -0.5至0.03)、MCSA(SMD=-0.14,95%CI=-0.29至0.02)较无LBP受试者略有下降;LBP与多裂肌脂肪浸润存在中等程度的关联(SMD=0.61,95%CI=0.30至0.91),但异质性较大(x^2=29.15, p=.00,I^2=76%),合并OR值也表现出类似的结果。(OR: 3.76,95%CI=0.9至15.67;x^2=6.07,p=0.048,I^2=67.1%)。

②LBP和竖脊肌形态/组成之间的关系研究报告的合并SMD显示:有无LBP,竖脊肌的TCSA、MCSA与肌肉脂肪浸润情况无显著性差异。
③LBP和腰大肌形态/组成之间的关系研究报告的合并SMD显示:有无LBP,腰大肌的TCSA、MCSA与肌肉脂肪浸润情况无显著性差异。

本研究系统地回顾和分析了LBP患者和非LBP受试者腰肌的形态特征和组成。研究表明,LBP患者多裂肌肌肉形态(大小)减少,同时脂肪浸润显著,而竖脊肌与腰大肌未发生显著改变,这一结果与之前的研究一致。有趣的是,这种变化甚至可以定位于特定椎骨水平,这可能与多裂肌独特的节段性神经支配、高度集中的肌梭(本体感觉接收器)相关。本研究还发现,在年轻LBP患者中,多裂肌萎缩现象更显著,这可能与年轻受试者多裂肌强度更高,“基数”更大,且更易受疼痛及功能受限导致的“废用性萎缩”相关。未来的研究应充分考虑年龄与节段因素。
本研究得出的结论,可进一步指导慢性腰痛患者的评估和治疗。例如,在影像学检查中发现肌肉横截面积下降、脂肪浸润等现象,应针对性进行肌肉锻炼,以改善受损的肌肉性能。相关研究已证实,运动疗法在减少慢性腰痛患者多裂肌脂肪浸润,改善其力学性能方面,疗效甚佳!按语:《灵枢•经脉》曰“骨为干,脉为营,筋为刚,肉为墙”。即骨为身体的主干、筋可束骨。《素问•五脏生成》曰“诸筋者,皆属于节。”人体之筋附着于骨上,对维持人体平衡至关重要。本研究通过对 LBP 患者肌肉形态和成分改变的评估,我们观察到腰部肌肉状态(多裂肌大小、脂肪化程度)在LBP患者发病过程中的重要作用,进一步证实“经筋”结构在筋骨病发生发展过程中的关键作用。
团队以中医经典为启发,以前期研究为基础,率先提出筋骨病“筋骨失衡,以筋为先”病机学说。从筋骨理论出发,中医推拿松解类手法与整复类手法相辅相成,作用于病变筋骨,可有效恢复筋骨失衡,重塑“筋骨平衡”的良好功能态。同时,通过锻炼少林内功、八段锦、易经筋等推拿功法可进一步“强筋健骨”,提高临床疗效。
主办单位
上海市中医药研究院中医推拿研究所
上海中医药大学附属岳阳中西医结合医院推拿科
上海中医药大学附属岳阳中西医结合医院推拿科
国家中医临床研究基地
国家中医区域诊疗中心
国家重大疑难疾病中西医协作试点项目牵头单位
国家中医推拿临床重点专科
国家中医药管理局重点学科
上海市针灸推拿临床医学中心
上海市丁氏推拿流派传承研究基地
上海市中医脊柱病临床基地
上海市中医推拿专科联盟牵头单位
海派儿科推拿讲师团

