长期不吃晚饭的人,后来都怎么样了?这6种后果,吓人一跳!
原创 jting 科普中国
老话说得好:“早饭要吃好,午饭要吃饱,晚饭要吃少。”
但现实情况是,很多人从一开始随便用零食垫一下,到总是忙工作忘了吃,一路“少”下去,就干脆不吃晚饭了。
晚饭,真的是可有可无的存在吗?
01
不吃晚饭真的可以减肥?
“没吃晚饭,第二天早晨上称发现真的掉了体重。”
饿一顿的效果如此立竿见影,让越来越多没时间健身的都市人把不吃晚饭当做了减肥的捷径。
但很少人知道,偶尔节食一次减掉的多数是水分,它很容易反弹。
或许有人会追问:如果长期不吃晚饭,是不是就能防止反弹,达到减肥的目的?
事实证明,长期不吃晚饭不仅不会瘦,相反还会长胖。
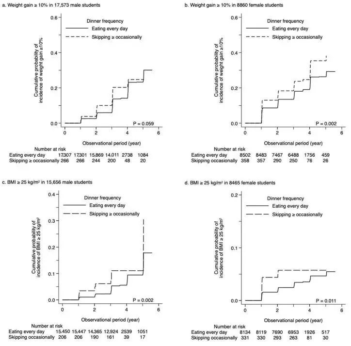
日本曾对 17573 名男性和 8860 名女性大学生进行过一项观察研究发现,三年内不吃晚饭的人中 ,有 10.8% 的男性和 17.1% 的女性,体重增加 ≥10%。
实验结论显示,相比每天规律吃晚饭,偶尔不吃或不吃晚饭的学生有更高的体重增加概率。
图中虚线为偶尔不吃晚餐的学生,体重均高于每天吃晚饭的学生。图片来源:参考文献[1]明明不吃晚饭的摄入更少,为什么反而会变胖呢?
原因在于,很多人只关注体重数字的变化,却忽略了不吃晚饭给身体方方面面带来的负面影响。
首先,节食引起的体内激素水平变化,会让很多人对食物产生更多渴望。这直接导致下一顿饭时食欲增加,不知不觉就会吃得更多。
再加上很多人抱着自己已经为减肥做出了努力的“奖励心态”,就很容易在接下来的进食中暴饮暴食。
更重要的是,长期不吃晚饭,身体很容易迈入“低水平基础代谢”的陷阱。
图库版权图片,不授权转载要知道,人体有非常复杂且智能的自我调控识别系统,当身体长期处于能量不足状态时,就会开启自我调控。
一方面为了保持体力,会加强对早餐、午餐食物热量的吸收效率;另一方面为了减少能量消耗,身体会自觉降低基础代谢率。
这样一来,摄入的食物虽少,但身体消耗的热量也在减少,并不能达到很多人梦寐以求的“一直瘦下去”的目标。
相反,此时身体会抓住一切机会将食物提供的能量转化为脂肪储存起来,一不小心就会使人变成“易胖体质”。
02
长期不吃晚饭
小心这几种疾病伤害身体
1.摄入营养不全面
研究表明,忍受饥饿感不仅不会对食物“无欲无求”,相反会激发对碳水化合物和糖的渴望。
尽管它们会提供快速、短暂的能量爆发,但缺乏身体所需的营养物质,如水果、豆类、奶制品所提供的的维生素、膳食纤维、蛋白质等,长此以往很容易造成营养不良。
2.肠胃功能紊乱
正常进食后,我们的肠胃会加速蠕动 ,通过增加胃酸、胆汁的分泌促进食物消化和吸收。
但不吃晚饭直到第二天早上进食,意味着人体将在近 15-18 个小时处于空腹状态。
缺乏对胃酸、胆汁等消化液的规律刺激,久而久之就会诱发胃炎、胃溃疡甚至胆结石等疾病。
3.消化系统不规律
很多人低估了我们的胃和大脑之间,有难以想象的复杂联结。
不吃晚饭,大脑就会感知到饥饿,这种压力反应会刺激消化系统,继而让身体无法正确预测自己该何时排空、排空多少,于是就会出现便秘、腹泻等症状。
4.女性患蛋白尿概率增加
日本国立大学对 5439 名女性和 4674 名男性进行过跟踪监测,结果显示长期不吃晚饭的女性,蛋白尿发生率达到 14.0%。
通常情况下,蛋白尿指震荡尿液后出现持久难消的泡沫,这意味着肾脏可能出现问题。
全部受试女性偶尔不吃晚饭(虚线)和每天吃晚饭(实线)的对比。图片来源:参考文献[5]5.精神压力加大
不吃晚饭身体长时间处于空腹状态,随着血糖下降,身体开始释放一种专门调节血糖的物质——皮质醇。
与此同时,它也会在体内产生压力反应,让人感到情绪低落、焦虑或者疲惫,因此又被称为“压力荷尔蒙”。
韩国研究人员对 4742 名 ≥65 岁的老年人进行过测试显示,与规律饮食者相比,不吃晚饭的老年人压力风险为 1.2 倍,抑郁风险为 1.38 倍,产生自杀念头的风险达到 1.46 倍。
而对于更多年轻人来说,不吃晚饭最明显的感觉莫过于:
饿着肚子真的睡不着,即使睡着了,睡眠质量也不佳,这对于原本就存在睡眠问题的人来说,无异于雪上加霜。
6.加速衰老
长期不吃晚饭会使人体内的肾上腺素分泌增多,从而促使自由基的产生,结果就是加速衰老。
肉眼可见的状态是皮肤失去红润光泽,褶皱明显增多,想必这是很多人万万没想到的一种副作用。
03
晚饭到底该怎么吃?
也许很多人疑惑,不少减肥人士成功的秘诀就是因为“少吃”,为什么不吃晚饭就不行?
其实并不是简单的少吃或不吃,而是在均衡饮食的前提下“健康地少吃”。
“少吃”不是简单粗暴地舍掉一顿晚饭,最佳方法是尽量全天分散摄入卡路里。
1.注意晚饭时间
吃晚饭最理想的状况是距离睡觉时间至少 3 小时以上。
吃得太晚没有给食物留下充足的消化时间,不仅会增加肠胃夜间工作负担,影响睡眠,还会增加患2型糖尿病的风险。
2.重视晚饭食谱
晚饭别太油腻,不吃高油高盐、高热量等刺激性食物,尽量吃得清淡、易消化,已经是老生常谈了。
图库版权图片,不授权转载而晚饭具体应该吃什么、吃多少,要结合白天吃了什么来制定。
如果早午饭缺少蔬菜的摄入,就可以在晚饭时补上。根据具体情况及时细心地“查漏补缺”,晚饭吃得才营养健康。
3.切记别吃太饱
很多人平常的饮食习惯是明明吃饱了,习惯性还能再吃两口,这个习惯要在晚饭时杜绝。
为了不给肠胃增加负担,正常晚饭建议吃到七分饱,即胃没有胀起来,饥饿感也消失了的程度即可停止进食。
4.适当饭后运动
“饭后百步走,活到九十九”,老话说的很有道理。但也请记住不能饭后立刻剧烈运动。可以选择 20 分钟左右的散步,或者简单地擦桌子扫地,这些都能起到促进肠胃蠕动的作用。
而且还能把刚升上来的血糖降下去,一举多得。
归根到底,追求减肥和追求健康是一回事,不吃晚饭让身体忍受饥饿,只有一个好处,那就是省钱。
想要让身体保持健康的状态,一定要保持均衡膳食,认真对待每一顿饭。
参考文献:
[1] Yamamoyo R, Tomi R, Shinzawa M, et al.Associations of Skipping Breakfast, lunch, and Dinner with Weight Gain and Overweight[J]. Nutrients,2021,13(1)
[2] 张宝华.“过午不食” 真的减肥又养生吗[J]食品与健康,2022,3:44-45.
[3] Vas Touronis - When is an Eating Disorder Related to Mental Health Problems?
[4] Lauren Wicks - 8 Scary Things That Could Happen to Your Body When You Skip Meals
[5] Tomi R,Yamamoto R, Shinzawa M,et al. Frequency ofBreakfast,Lunch,and Dinner and Incidence of ProteinuriaA Retrospective Cohort Study. Nutrients, 2020;12(11):3549.
[6] Wikipedia - Proteinuria
[7] Kwak Y, Kim Y. Association between mental health and meal patterns among elderly Koreans. Geriatr Gerontol Int. 2018,18(1):161-168.
作者:jting
审核:高超 中国疾病预防控制中心营养与健康所副研究员
科普中国的读者朋友
我们需要你!
大家有没有发现
从不断更的科普中国最近好像很难刷到了
这是因为……
微信公众号又双叒改!版!了!
想要不错过我们精心准备的
健康指南、医学科普、趣味知识……
请
一定要
星标
星标
星标
“科普中国”公众号
一起涨知识~
点击右上角“···”
将科普中国“设为星标”本文封面图片及文内图片来自版权图库
图片内容不授权转载
原标题:《长期不吃晚饭的人,后来都怎么样了?这6种后果,吓人一跳!》

