杭州市区民办初中平均派位比2.04:1,名单公布!
2022-07-19 18:50
浙江
今天,2022年杭州市民办初中(含转公学校,下同)招生电脑派位工作如期进行。全市24所报名人数超过招生计划数的民办初中通过电脑派位录取。今年全市共有小学毕业生近9.8万人,其中报名民办初中近1.9万人,全市50所民办初中共计划招生9273人,平均报名录取比为2.04:1。
杭州市文澜中学(民转公学校)
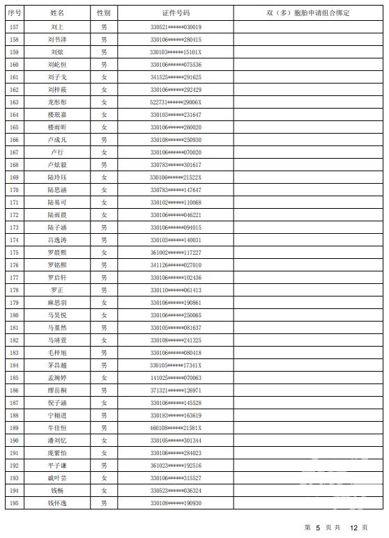
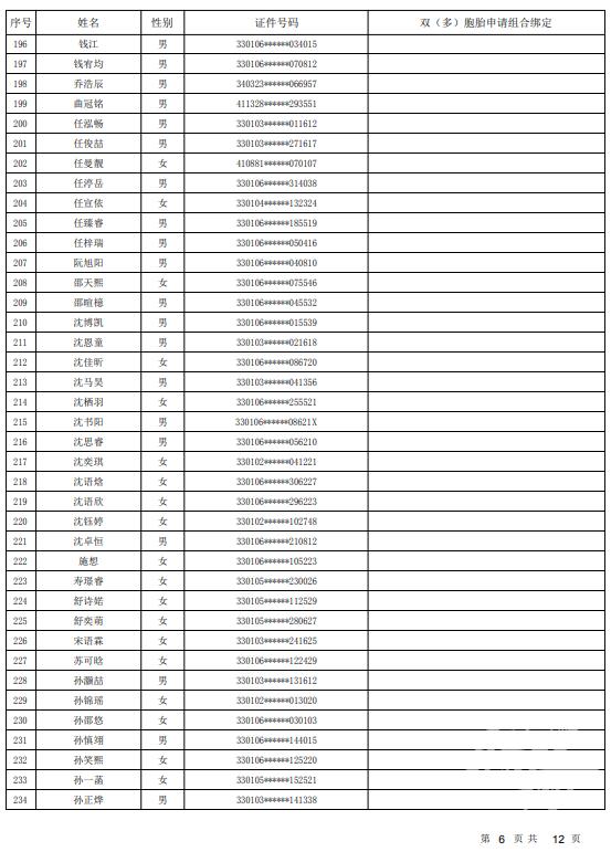
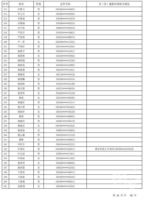
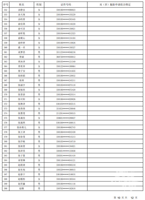
录取名单:


杭州市锦绣中学录取名单:










杭州观成实验学校初中部(民转公学校)计划招生168人, 报名人数716人,派位比1:4.26。
录取名单:




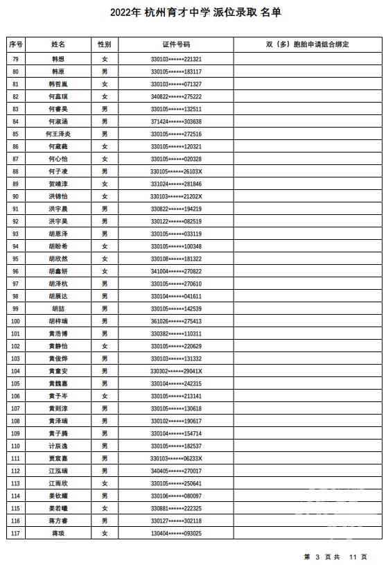
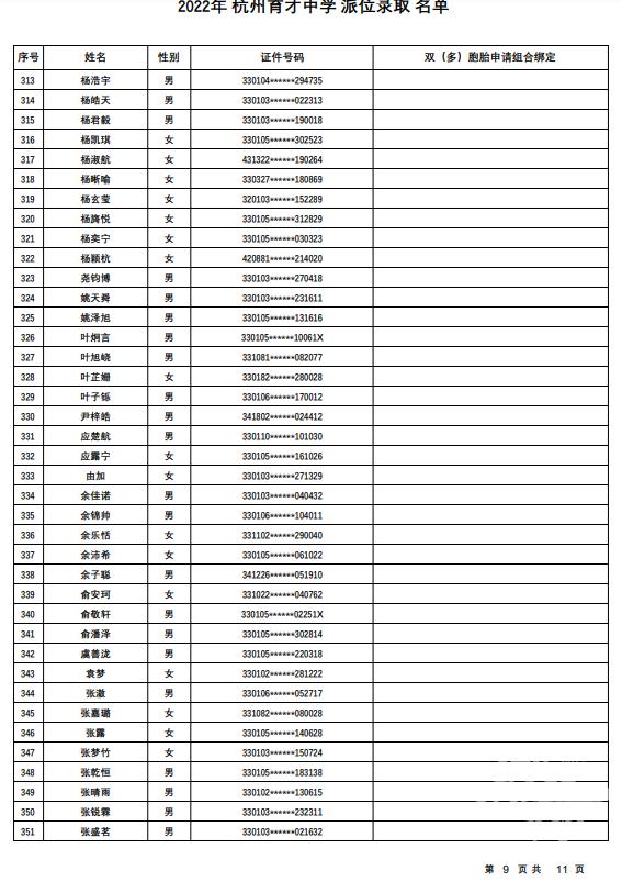
杭州育才中学录取名单:










杭州市滨江区滨兰实验学校(初中部)计划招生121人,报名人数225人,派位比1:1.86。
录取名单:



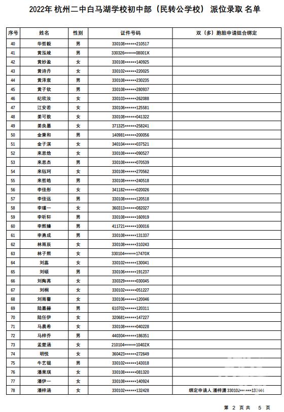
杭州二中白马湖学校初中部(民转公学校)计划招生180人,报名人数771人,派位比1:4.28。
录取名单:




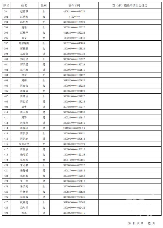
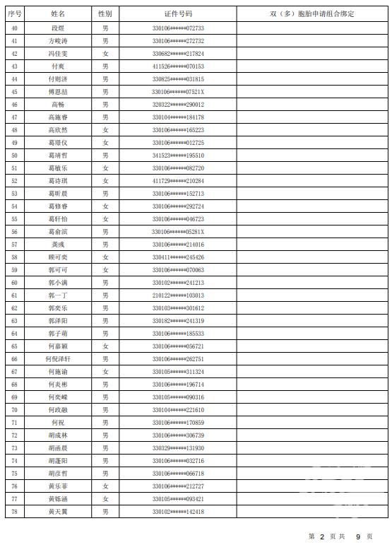
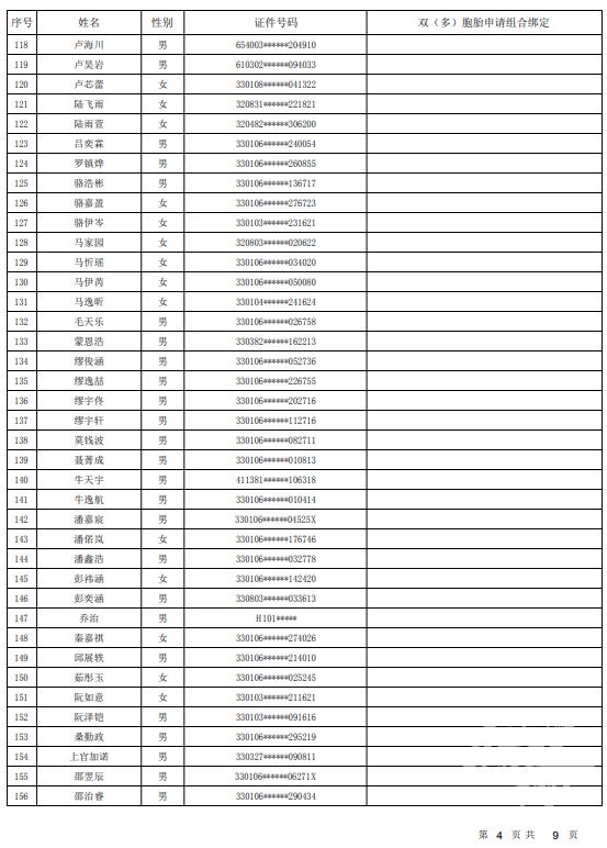
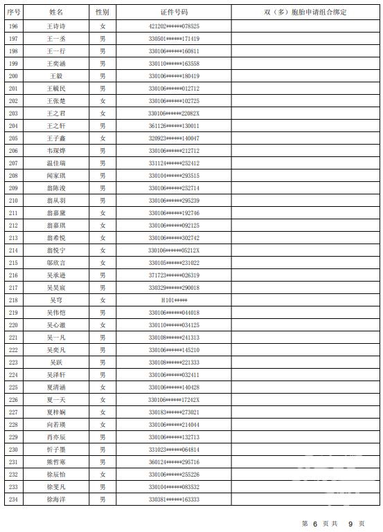
杭州市建兰中学(民转公学校)录取名单发布











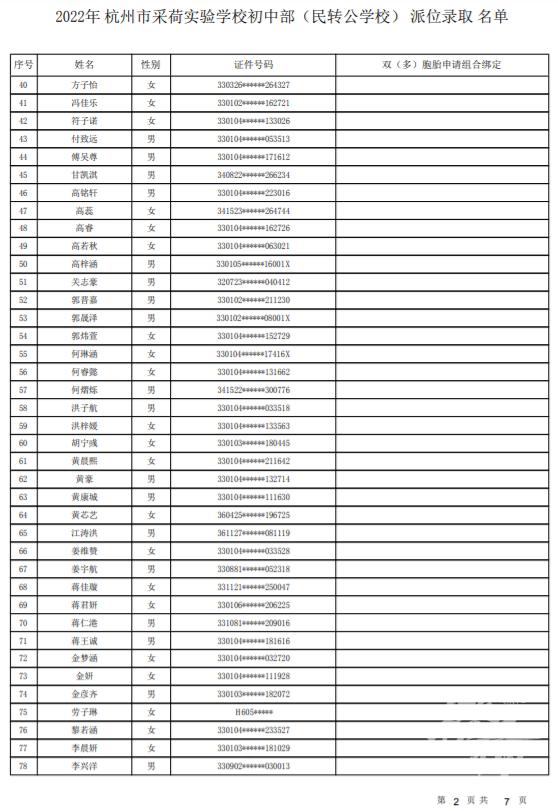
杭州市采荷实验学校初中部(民转公学校)录取名单发布





杭州市公益中学(民转公学校)录取名单发布杭州市公益中学(民转公学校):计划招生 430人,报名人数2670人,派位比1:6.21。
录取名单:











杭州绿城育华学校(初中部)计划招生236人,报名人数293人,派位比1:1.24。
录取名单:






杭州市之江实验中学(民转公学校)计划招生344人,报名人数1387人,派位比1:4.03。
录取名单:








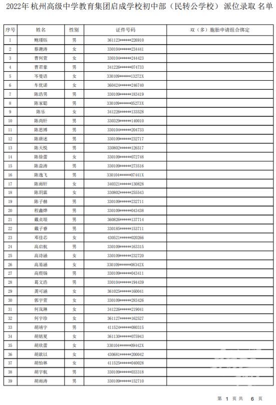
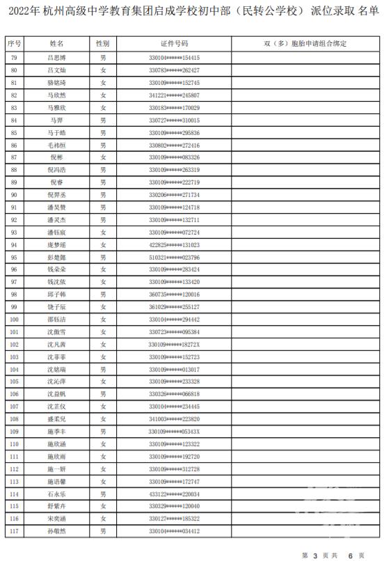
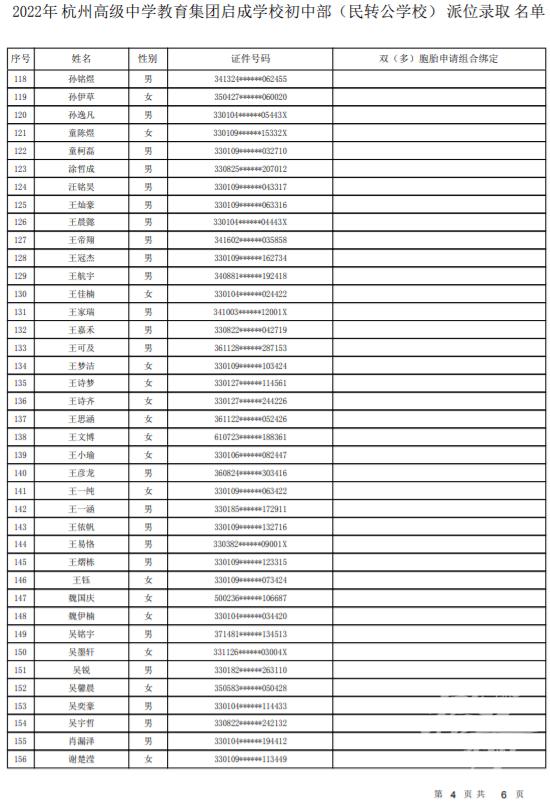
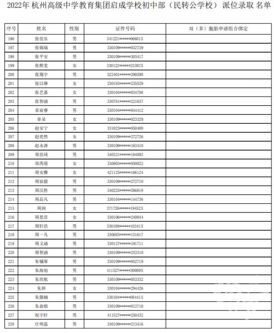
杭州高级中学教育集团启成学校(民转公学校)计划招生228人,报名人数519人,派位比1:2.28。
录取名单:





杭州养正学校(民转公学校)计划招生304人,报名人数1058人,派位比1:3.48。
录取名单:








原标题:《杭州市区民办初中平均派位比2.04:1,名单公布!》
特别声明
本文为澎湃号作者或机构在澎湃新闻上传并发布,仅代表该作者或机构观点,不代表澎湃新闻的观点或立场,澎湃新闻仅提供信息发布平台。申请澎湃号请用电脑访问https://renzheng.thepaper.cn。

