朱光亚院士一生研究核武器,是最晚被解密的“两弹一星”元勋
“我们中国要出头的
我们的民族再也不是
一个被人侮辱的民族了!
我们已经站起来了
回去吧赶快回去吧!
祖国在迫切地等待我们!”
这段铿锵有力的文字
出自著名的
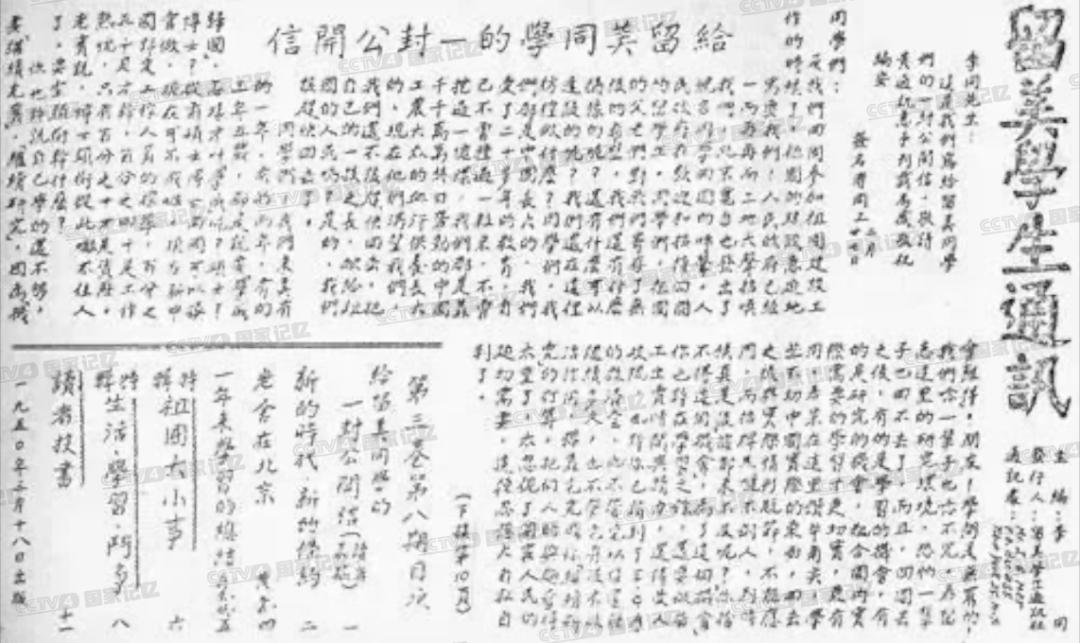
《给留美同学的一封公开信》
这封信一经公开
就在中国留学生中引起轰动
《给留美同学的一封公开信》牵头组织起草
这封公开信的
正是25岁的朱光亚
青年朱光亚近日乌克兰局势日趋紧张
我在乌公民处于较高安全风险
中国已准备包机接在乌公民回国
彰显了中国红的强大安全感
世界还是那个世界
中国已不是当初的中国
中国红的底气
离不开一批批
像朱光亚一样爱国的有志之士
心怀国家大志
前仆后继为祖国的发展鞠躬尽瘁
朱光亚在原子能院指导工作朱光亚“一生就做了一件事”
却被誉为
中国科技的“众帅之帅”
他与钱学森一起
登上《纽约时报》
被称为钱学森“背后的人”
他是中国工程院的首任院长
也是“两弹一星”元勋中
最后被解密的一位
2022年2月26日
是他逝世11周年的日子
让我们一起走进
朱光亚传奇而伟大的一生

他的考卷
“连标点符号都找不着错”
1924年12月25日
朱光亚生于湖北省宜昌市
1942年
他在中央大学物理系就读1年以后
得知西南联大在重庆招收插班生
便去应考并顺利考入该校
他在西南联大的作业本
全英语行文
手画图示似印刷体一般
批改处几乎全是对钩
据朱光亚之子朱明远所说
“有位数学老师
说我父亲的考卷
连标点符号都找不着错”




朱光亚的西南联大作业本在西南联大理学院学习期间
朱光亚受到
共产主义思想的影响和熏陶
1946年9月
物理学家吴大猷推荐
朱光亚赴美留学
朱光亚在美国学习时留影(左起李政道、杨振宁、朱光亚)他一边作为吴大猷的助手
做理论物理课题
一边攻读博士学位
学习的是与“原子弹之梦”
最接近的研究领域之一
实验核物理
朱光亚在美留影留学期间
朱光亚的学习成绩
始终全部是A
连续四年获得奖学金
教授常夸奖他的考卷工整
“看起来是享受”
1949年10月1日新中国成立
年底,朱光亚牵头组织
起草了《给留美同学的一封公开信》
并送给美国各地区中国留学生
传阅、讨论、联合署名
到第二年2月下旬
已有52名决定当时回国的
留学人员签了自己的名字
1950年2月底刚刚获得密歇根大学
核物理专业博士学位不久的朱光亚
拒绝了美国经济合作署
提供的救济金
在美国对华实行全面封锁之前
搭乘“克利夫兰总统号”轮船
取道香港返回祖国
他曾是北大最年轻副教授
作为翻译参与板门店谈判
回国仅4天
25岁的朱光亚就站在了
北京大学物理系的讲台上
他是当时北大最年轻的副教授
主讲光学和普通物理
商务印书馆出版了
他的专著《原子能和原子武器》
这是中国当时系统论述
核武器知识的学术著作之一
1952年被选作板门店谈判翻译的朱光亚
亲眼见到美方谈判代表的嚣张
因为有核武器作底牌
美方代表非常强硬
谈判异常艰难
这让朱光亚明白
年轻的共和国要想真正独立
不受人欺侮
必须拥有强大的现代化国防
他讲的课被学生称为“艺术精品”
1953年
朱光亚被分配到
刚刚建立的东北人民大学
(吉林大学前身)物理系
被学校任命为物理系
特殊实验计划组副组长
那一年朱光亚只有28岁
当时的物理系可谓一穷二白
朱光亚在领导创建物理系的同时
承担着繁重的教学任务
虽然教学任务繁多
但朱光亚的每门课
都是思路明晰、语言简练
被学生们称为“艺术精品”
他的学生陈佳洱院士回忆说
“听朱老师的课就是一种享受。在教学中,他不仅给我传授各门课的基础知识,还教会我怎么思考问题、研究问题,把握科学的思维方式。”
教授朱光亚(右)与学生陈佳洱(左)在中国第一颗原子弹爆炸成功的晚上
他第一次醉酒
1956年
新中国决定发展自己的原子能事业
这一年
朱光亚参与筹建
中国科学院兰州物理研究室
(中国科学院近代物理研究所的前身)
担负起为中国培养
第一批原子能专业人才的重任
同年4月
朱光亚加入中国共产党
那时中国核武器的研制
还是一片空白
最困难的是刚从全国各地调来的
技术人员专业知识不足
不少人从未见过铀是什么样子
60年代王淦昌与聂荣臻(中)朱光亚(右)在核试验基地1962年
第九研究所向领导人提出
将在两年内进行第一次核试验
为此,朱光亚亲自编写了
我国核武器的两个“纲领性文件”
这两个文件对后来的原子弹研制工作
起到了十分关键的作用
而在中国第一颗原子弹
研制的关键时期
美、苏、英签订了《部分禁试条约》
妄图把中国核武器事业
扼杀在摇篮里
朱光亚在调研后写出了
“停止核试验是一个大骗局”的报告
还说“我们绝对不能上他们的当
我们不仅能试
反而还要抓紧时机
时不我待”
1964年10月16日
中国第一颗原子弹爆炸成功
朱光亚望着腾空跃起的蘑菇云
禁不住潸然泪下
1964年10月16日15时整,我国自行研制的第一颗原子弹成功爆炸当晚的庆功会上
朱光亚喝醉了
据朱光亚之子朱明远所说
这是他第一次喝醉
也是唯一一次
一生做一事
他将一生献给了祖国
1965年
中央领导人宴请
核武器研制与试验部门代表
钱学森坐在周恩来总理左边
朱光亚坐在右边
钱学森负责导弹
朱光亚负责核武器
钱学森(左)与朱光亚(右)1967年6月
朱光亚参与组织领导的
中国第一颗氢弹爆炸成功
从原子弹到氢弹
美国用了7年3个月
苏联用了6年3个月
中国只用了2年8个月
1969年9月
朱光亚参与组织指挥
中国首次地下核试验取得成功
中国地下核试验技术取得重大突破
实现了核试验转入地下的目标
为核武器技术快速持续发展
提供了有力支持
1974年5月20日,毛泽东在中南海接见朱光亚1994年6月
朱光亚成为
中国工程院的第一任院长
1999年9月18日朱光亚被国家授予
“两弹一星”功勋奖章
直到这时
朱光亚才从幕后被推到台前
他的事迹才渐渐开始
为人们所知晓
人生为一大事来
“我这一辈子主要做的就这一件事
——搞中国的核武器”
这是朱光亚的回答
前半句,淡定谦逊,轻描淡写
后半句,雄壮豪迈,奇峰突起
朱光亚就像他所说的那样
在自己的岗位上
以低调、谦虚的姿态
为中国的核武器事业鞠躬尽瘁
然而,他的心中明白研究核武器是为了不受核威胁
当看到自己的儿子在诗中写到
“像蘑菇一样的原子弹很可爱”
他非常生气,批评儿子
“原子弹是很恐怖的武器!”
“绝对不能有这种想法”
2004年12月
国际编号10388号小行星
正式命名为“朱光亚星”
朱光亚望着群星闪耀的天空
淡淡地叹息
他说自己不敢当
“清苦一点不好吗”
淡泊名利
身边人喜欢用这个词来评价朱光亚
每当人们提到
他在中国原子能事业上的成就时
他总是说
“这些重大成就
是许多同志共同做的
我个人并没有什么值得称道的”
多年来
朱光亚对子女的教诲就是
“清苦一点不好吗”
他的子女在接受采访时说
不慕奢华、耐住清贫
是父亲传给他们的宝贵财富
胜过世间任何有形的资产
1996年他将所获得的
何梁何利科学技术成就奖
100万港币奖金全部捐给了
中国工程科技奖励基金会
同时嘱咐知情人不要外传
1997年
他又把多年积存的4.5万元稿费
全部捐赠给
中国科学技术发展基金会
用以发展国家科学技术
朱光亚在中国工程院办公室1998年
朱光亚离开中国工程院的领导岗位时
再三叮嘱秘书和身边的工作人员
办公室里所有
用公费购买的书籍、资料
一册也不许带走
一定要一件一件登记后交上去
人们说朱光亚
“身上穿的
总是那套旧军装”
2011年2月26日朱光亚因病于北京逝世
享年87岁
这么多年来
写朱光亚的文章很少
朱光亚之子朱明远曾回忆
父亲常说一句话
“先写别人吧,我的以后再说”
许多文章都曾试图写下朱光亚的个人事迹
却总是被他本人退回
在“两弹一星”元勋中
他的名字也是最后被解密的一个
张爱萍将军说
“朱光亚同志是我在
核工业战线上的第一位老师”
李觉说他是
“杰出的科技帅才”
李政道评价朱光亚的贡献时
则用到了十个字
“深入而无声,实至为珍贵”
纵览全局,心系祖国他是中国核事业的领航人
他一生只做了一件事
但却是新中国血脉中
激烈奔涌的最雄壮力量
保卫的是家
捍卫的是尊严
展示的是
中华民族的铮铮傲骨!
今天我们一起
向“两弹一星”元勋朱光亚院士致敬
我们会永远记住您的名字!
团团有话说
如今,霸权主义、强权政治、单边主义时有抬头,国际安全体系和秩序时常受到冲击,世界并不太平,战火离我们并不遥远。这让我们深刻明白和平并不是每个国家都能享有的权利,也让我们无比珍惜现在幸福生活的来之不易。正因如此,我们更加怀念那些为国防建设献身的科学家们,是他们给了我们维护国家安全的强大自信和底气。
斯人已逝,但他们眼眸中的忧思并没有随之远去,我们要做的就是仰望星空,常怀忧患意识,用“一生只做一件事”的理想信念走好脚下的每一步路。
来源:河南共青团综合自共青团中央、CCTV国家记忆、中国军视网、人民出版社、央视新闻客户端、《感动中国》、中核集团、解放日报、钧正平工作室
原标题:《他用一生研究核武器,是最晚被解密的“两弹一星”元勋……》

