Nature发文:中科院物理所实现高温超导关键一步,为制备高品质应用型超导薄膜技术带来新突破
原创 果壳硬科技 我是科学家iScientist
2022年2月16日,Nature发布了中国科学院物理研究所/北京凝聚态物理国家研究中心的成果,科研团队利用材料基因工程“连续组分外延薄膜与匹配的跨尺度表征技术”,获得了奇异金属散射与高温超导转变温度之间的普适物理规律。这一规律揭示了非常规超导与奇异金属态这两大跨世纪难题的共同驱动机制,走出高温超导 “量变导致质变” 的关键一步,为我国制备高品质、应用型超导薄膜产品技术带来新突破。
高温超导的前世今生
超导自诞生至今已有110年的研究历史,早期的超导研究集中在传统金属及合金中,其超导转变温度通常低于30 K,超导转变温度之上,超导体变回与普通金属相似的正常态。
1957 年,Bardeen、Cooper、Schrieffer(BCS) 在同位素效应的启发下,构建了以声子为媒介的电子配对理论, 从而首次建立了超导微观理论,成功地解释了传统金属及合金中的超导电性。基于BCS电声耦合机制的推算指出,常压下超导转变温度存在一个约为40 K(约零下236摄氏度)的上限,即McMillan极限。
而在1986 年发现的铜氧化物超导家族,其超导转变温度突破McMillan极限,最高到达135 K。已有的实验结果证实高温超导体中同样存在电子配对,但其超导机理经过30多年的研究仍未达成共识。随着研究不断深入,越来越多的证据表明,高温超导的奥秘可能存在于产生超导的正常态当中。
对于铜氧化物超导体,当温度升至超导转变温度以上,其电阻率ρ随温度T表现出线性依赖的“奇异金属”行为,与费米液体的平方关系相悖,成为高温超导体正常态中最为“不正常”的特性。
同高温超导的机理一样,奇异金属行为的微观起源也是凝聚态物理的一大未解之谜。已有的实验结果显示二者相辅相成,因此揭示它们之间的内在量化联系有望为进一步揭示高温超导机理提供重要线索。
物理研究所金魁研究员带领团队发挥超导单晶薄膜和超导组合薄膜技术特色,长期深入研究一类关键高温超导体系 La2-xCexCuO4(LCCO),这是唯一覆盖全超导掺杂区的电子型高温超导体系,但只能以单晶薄膜的形式稳定存在。
LCCO的组合合成和多尺度结构表征 | 参考文献[1]2011 年, 金魁及合作者基于数年努力获得的系列高质量单组分 LCCO 超导单晶薄膜,首次获得完整的电子掺杂铜氧化物过掺杂区域相图[2],发现了该体系异于反铁磁自旋涨落的第二量子临界点[3]。
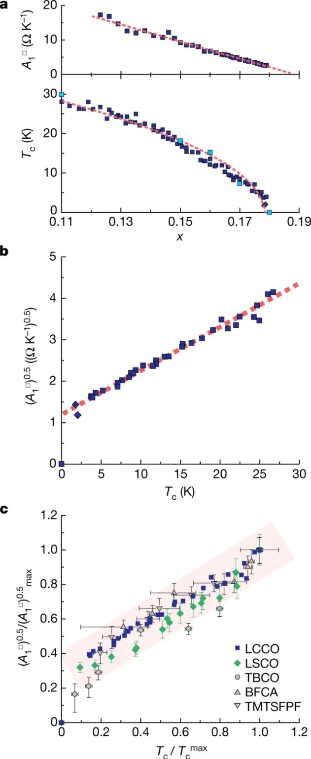
他们通过研究 LCCO 薄膜低至20 mK的正常态输运特性,发现奇异金属散射率A1与超导转变温度Tc呈正关联,暗示奇异金属态与高温超导存在某种内在联系。然而,受组分控制精度限制,使用传统的单点研究模式难以得到足够数量的高精度数据,这使得获取两者之间的定量化规律成为一个极具挑战性的课题。
创新与成果:
高通量技术与普适物理规律
该团队历时多年创造性地将材料基因工程的理念和核心技术引入超导研究, 针对高温超导材料特点不断发展高通量制备与跨尺度快速表征技术[4],推进材料基因计划与超导研究的深度交叉融合,开创了独具特色的高通量超导研究范式[5,6]。
2017 年,团队首次利用组合激光分子束外延技术在1平方厘米单晶衬底上成功制备出沿一个方向具有连续化学组分梯度的单一取向LCCO高通量薄膜[7],其两端组分分别对应于最佳超导掺杂和费米液体金属。
在此基础上,结合团队发展的从毫米到微米的跨尺度结构和输运表征技术, 将物性分辨率提升两个数量级至万分之一,从而精确地确定了量子临界组分。通过国际合作在美国劳伦斯伯克利国家实验室同步辐射光源(Beamline 12.3.2 @Advanced Light Source)完成微米量级的 X 射线结构分析。
实验结果测定得出的定量比例以及不同超导体比较 | 参考文献[1]传统实验方法三年时间只有个别数据点,而基于新一代全流程高通量实验, 团队成功在数月时间积累足够数量的可靠数据,并首次观察到了超导转变温度Tc、相对掺杂组分(x-xc)与奇异金属散射率A1三者之间的定量化规律。更重要的是,从LCCO中获得的规律可推广至空穴型铜氧化物、铁基超导体、有机超导体等非常规超导体系,具有普适性,表明奇异金属态与非常规超导态有共同的驱动因素。
研究背后:
突破性成果与全国产设备
这一工作是材料基因计划与超导研究的深度交叉融合产生的高通量超导研究范式的成功案例。两名国际审稿人将该团队开创的“连续组分外延薄膜与匹配的跨尺度表征技术”加速高温超导定量化物理规律探索的新型研究范式高度评价为“tour de force”(绝技)。铜氧化物高温超导体中还有更多的量化规律有待发掘,研究团队计划继续使用新一代高通量实验技术系统地探索产生高温超导电性的其它关键因素。
这项突破性研究成果,背后则是团队“十年磨一剑”的耐心与努力积累。2012年,是金魁在美做博士后的最后一年,他想回国后继续发展新一代高效率材料基因技术,并融入高温超导研究中。这个想法跟导师们商量时,导师们摇摇头,觉得“very tough”(太困难)。
最困难的环节在于,找到奇异金属与高温超导转变温度的定量化关系,而唯一也是最好的办法,是在合成材料中不断地“试”。因此,回国的前5年,金魁和同事们带着研究生大多时间都在做设备,发展了“新一代连续组分超导单晶薄膜制备及跨尺度表征技术”,在此研究基础上快速累计高质量数据,最终找到了统计物理规律。
2015年,一台比之前更加高精尖、复杂的仪器诞生了,它是当前国际上最先进的第四代高通量制备与原位电子态表征实验设备。这项技术的诞生不仅为得到新的科学发现跑通了道路,也打破了国外对我国进行的技术封锁。
2021年年初,他们通过技术集成创新,成功研制出基于国产部件的“三光束脉冲激光共沉积镀膜系统”,并制备出大尺寸双面钇钡铜氧(YBCO)超导单晶薄膜[8]。
致谢
感谢中科院物理所金魁研究员对本文的建议。
参考文献
[1]Yuan, J.; Chen, Q.; Jiang, K.; Feng, Z.; Lin, Z.; Yu, H.; He, G.; Zhang, J.; Jiang, X.; Zhang, X.; Shi, Y.; Zhang, Y.; Qin, M.; Cheng, Z. G.; Tamura, N.; Yang, Y.; Xiang, T.; Hu, J.; Takeuchi, I.; Jin, K.; Zhao, Z. Scaling of the Strange-Metal Scattering in Unconventional Superconductors. Nature 2022, 602 (7897), 431–436. https://doi.org/10.1038/s41586-021-04305-5.
[2]Jin, K.; Butch, N. P.; Kirshenbaum, K.; Paglione, J.; Greene, R. L. Link between Spin Fluctuations and Electron Pairing in Copper Oxide Superconductors. Nature 2011, 476 (7358), 73–75. https://doi.org/10.1038/nature10308.
[3]Butch, N. P.; Jin, K.; Kirshenbaum, K.; Greene, R. L.; Paglione, J. Quantum Critical Scaling at the Edge of Fermi Liquid Stability in a Cuprate Superconductor. Proc. Natl. Acad. Sci. 2012, 109 (22), 8440–8444. https://doi.org/10.1073/pnas.1120273109.
[4]金魁; 吴颉. 高温超导体组合薄膜和相图表征高通量方法. 物理学报 2021, 70 (1), 017403–017417. https://doi.org/10.7498/aps.70.20202102.
[5]Yuan, J.; Stanev, V.; Gao, C.; Takeuchi, I.; Jin, K. Recent Advances in High-Throughput Superconductivity Research. Supercond. Sci. Technol. 2019, 32 (12), 123001. https://doi.org/10.1088/1361-6668/ab51b1.
[6]Qin, M.; Lin, Z.; Wei, Z.; Zhu, B.; Yuan, J.; Takeuchi, I.; Jin, K. High-Throughput Research on Superconductivity. Chin. Phys. B 2018, 27 (12), 127402. https://doi.org/10.1088/1674-1056/27/12/127402.
[7]Yu, H.; Yuan, J.; Zhu, B.; Jin, K. Manipulating Composition Gradient in Cuprate Superconducting Thin Films. Sci. China Phys. Mech. Astron. 2017, 60 (8), 087421. https://doi.org/10.1007/s11433-017-9036-x.
[8]金魁:“80”后科学家的高温超导“探险”之路—新闻—科学网 https://news.sciencenet.cn/htmlnews/2022/2/473888.shtm (accessed 2022 -02 -17).
作者:靳小明
编辑:酥鱼
排版:尹宁流
研究团队
赵忠贤:中国科学院院士、第三世界科学院院士、国际陶瓷科学院院士、陈嘉庚国际学会会员,国家超导实验室学术委员会主任。国科大、武汉大学、北京大学等校兼职教授。香港中文大学荣誉理学博士。从事高临界温度超导体及相关机理研究。
向涛:1984年在清华大学获学士学位,1986年在清华大学获硕士学位,1990年在中国科学院理论物理研究所获博士学位。2013年当选中国科学院院士。
胡江平:1994年北京大学获学士学位,1997年在中科院理论物理所获硕士学位,2002年在美国斯坦福大学获博士学位。2002-2004年在加州大学洛杉矶分校做博士后研究,2010年起任中国科学院物理研究所杰出研究员、博士生导师。
金魁:2003年在武汉大学获学士学位,2008年在中科院物理所获博士学位,2008-2012年美国马里兰大学博士后。2012年12月底加入中科院物理所超导国家重点实验室,现为超导2组组长。主导发展了新一代高通量实验技术,首次揭示奇异金属和高温超导之间的普适物理规律,走出高温超导相图从定性到定量化认识的重要一步。
论文信息
发布期刊 《自然》nature
发布时间 2022年2月16日
文章标题 Scaling of the strange-metal scattering in unconventional superconductors
(DOI:10.1038/s41586-021-04305-5)
原标题:《Nature发文!中科院物理所实现高温超导关键一步,为制备高品质应用型超导薄膜技术带来新突破》

