关于发布2021年符合参加广东司法警官职业学院司法行政警察类专业招生政审、面试 体检和体能测评资格…
2021-06-30 20:26
广东
根据《人力资源社会保障部等六部门关于进一步加强司法行政机关人民警察招录培养工作的意见》(人社部发〔2018〕20号)和广东省司法厅政治部、广东省招生委员会办公室《关于做好2021年广东司法警官职业学院司法行政警察类专业招生工作的通知》(粤司政〔2021〕100号)要求,填报志愿为广东司法警官职业学院司法行政警察类专业的广东省常住户口生源考生,执行我省专科提前批录取分数线,根据考生志愿、科类、男女和高考成绩从高到低的顺序,按照不低于招生计划1:3的比例,确定进入政审、面试、体检和体能测评范围的考生名单。经审核, 黄镌韬等1280名考生符合参加政审、面试、体检和体能测评资格条件(详见附件),现予公告。
请入围考生按照规定的时间和要求到广东司法警官职业学院龙洞校区(广州市天河区龙腾路245号)参加面试、体检和体能测评。政审、面试、体检和体能测评以及疫情防控等具体要求请查阅广东省司法厅门户网站(http://sft.gd.gov.cn)或广东司法警官职业学院官网公告栏发布的报考须知。
附件:2021年符合参加广东司法警官职业学院司法行政警察类专业招生政审、面试、体检和体能测评资格考生名单及时间安排
广东省司法厅政治部
2021年6月30日
附件
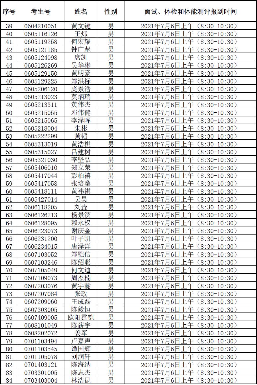
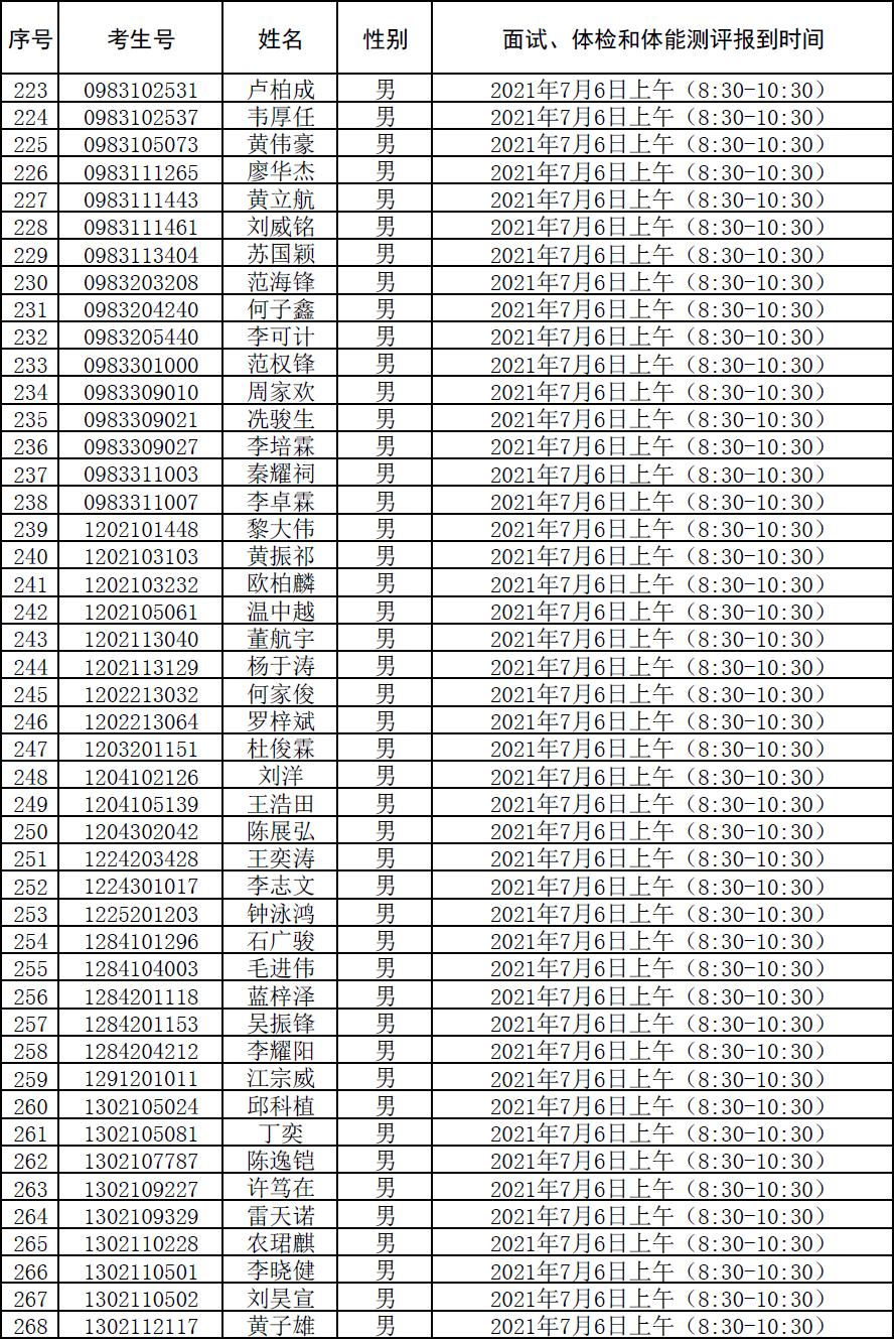
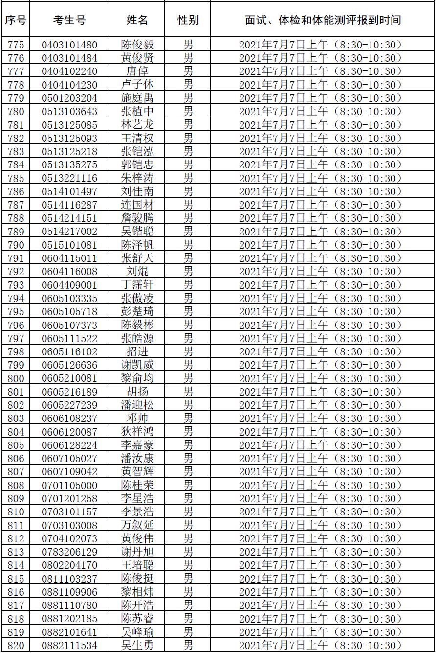
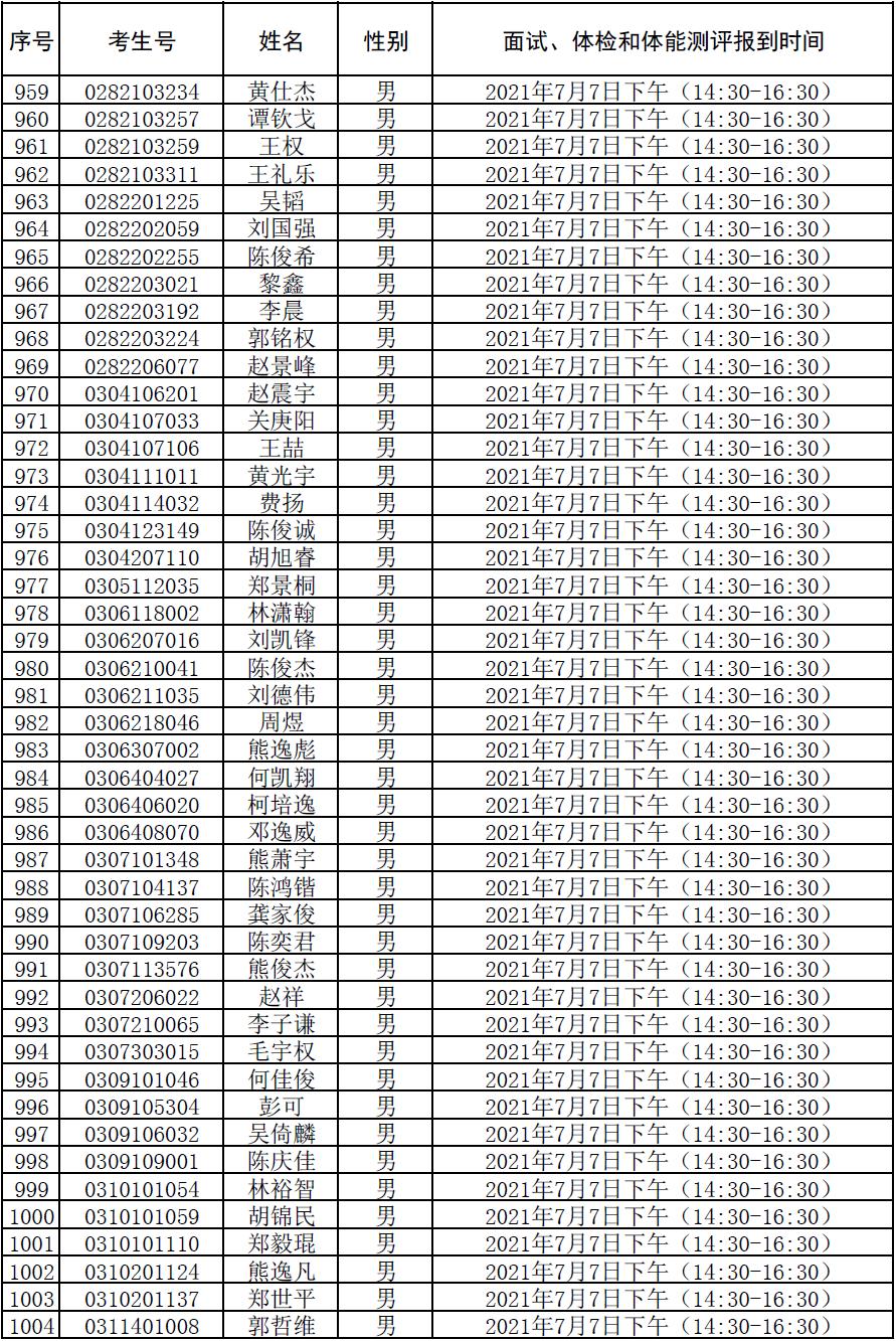
2021年符合参加广东司法警官职业学院司法行政警察类专业招生政审、面试、体检和体能测评资格考生名单及时间安排




























原标题:《关于发布2021年符合参加广东司法警官职业学院司法行政警察类专业招生政审、面试 体检和体能测评资格考生名单的公告》
特别声明
本文为澎湃号作者或机构在澎湃新闻上传并发布,仅代表该作者或机构观点,不代表澎湃新闻的观点或立场,澎湃新闻仅提供信息发布平台。申请澎湃号请用电脑访问https://renzheng.thepaper.cn。

