
今年,广东文科前20名、
理科前50名考生分数被屏蔽,
他们考了多少分?

理科700分以上有34人,699分以上累计38人,698分以上累计48人,697分以上累计56人。所以说,理科生考到698分及以上就会被屏蔽成绩,另外还有两位697分的考生被屏蔽成绩。
高分优先投档线有多少人?今年广东文科高分优先投档线为536分,对应排名为20392名。理科高分优先投档线为524分,对应排名为80884名。
上本科线有多少人?今年广东文科本科投档线为430分,对应排名为102427名。理科本科投档线为410分,对应排名为216937名。
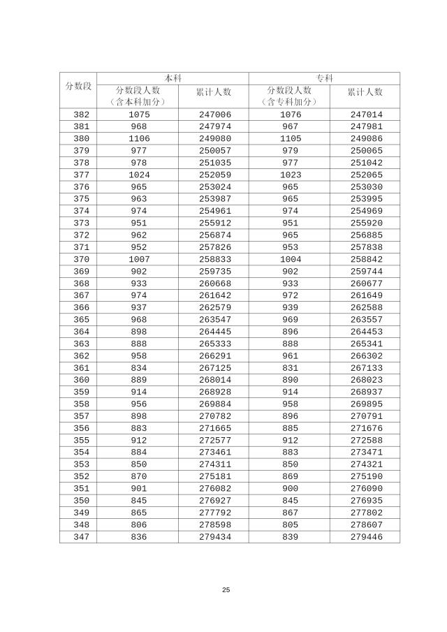
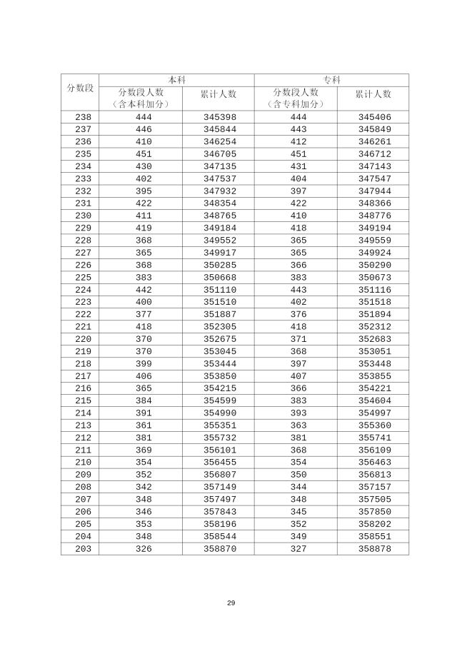
【分数段具体信息】
(上下滑动,可点击查看大图)
文科类














































































来源:广东发布
编辑:华安
校对:王小雪
原标题:《广东省2020年高考成绩分段统计表公布》