
囊括多个职位
共招741人
赶紧来看看
你符合条件吗

2020年面向社会公开招聘工作人员简章
职位表↓↓↓



一、招聘对象及报考条件
(一)具有中华人民共和国国籍。
(二)拥护中华人民共和国宪法,拥护中国共产党的领导,热爱社会主义,具有良好的政治素质和品行,具有为人民服务的思想,遵纪守法。
(三)年龄在18周岁及以上(2002年8月1日及以前出生)、35周岁及以下(1984年8月2日及以后出生)。
(四)学历、学位、资格等要求详见《职位表》(2020年应届毕业生须于2020年12月31日前提交应聘职位所需学历、学位证书、相关证件等材料)。
(五)具有正常履行职责的身体条件。
(六)具备拟报考职位所需的其他资格条件。
以下人员不得报考:
(一)不能坚持党的基本路线,在重大政治问题上不能与党中央保持一致的人员。
(二)2020届毕业的委培生、定向生原则上不得报考,如委培或定向单位同意其报考的,须由委培或定向单位出具同意报考证明,并经所在院校同意后方可报考。
(三)截至2020年7月15日“农村义务教育阶段学校教师特设岗位计划”服务期未满的。
(四)截至2020年7月15日仍在读的全日制非2020届毕业生或服现役人员。
(五)截至2020年7月15日仍在试用期内的公务员(含参公管理人员)和事业单位工作人员。
(六)曾因犯罪受过刑事处罚的人员,受处分期间或正在接受纪检监察机关、司法机关立案调查未结案的人员。
(七)曾被开除公职或在机关(含参照公务员法管理单位)、事业单位被辞退未满5年的人员。
(八)在各级公务员招录或事业单位招聘考试中被认定有舞弊等严重违反考试录(聘)用纪律行为且仍在不得报考期限内的人员。
(九)违反计划生育政策的人员。
(十)不符合招聘对象、报考条件或职位所需资格条件的人员。
(十一)有法律、法规规定不得聘用的人员。
二、报名及资格审查
(一)报名
1.报名时间:2020年8月1日9:00—8月3日17:00,逾期不再办理报名手续。
2.网上报名程序
报名采取网上报名方式进行,报考人员登录“贵州人事考试信息网”报名。网上报名按以下程序进行:
(1)提交报名申请。报考人员于2020年8月1日9:00—8月3日17:00期间登录“贵州人事考试信息网”提交报名申请,并上传本人近期免冠正面彩色证件照片(jpg格式,20KB以下)。报考人员只能选择一个职位进行报名。报名申请提交被接受后,系统会向报考人员反馈一个报名序号。报名序号是报考人员查询报考资格审查结果、网上缴费确认、打印准考证等事项的重要依据,请妥善保管。
(2)报考人员在提交报名信息并成功上传照片或因审核未过重新修改报名信息后,都须进行提交报名申请操作。点击“提交报名申请”键后,报考人员将不能对报名信息进行修改。若不点击“提交报名申请”键,审核单位将无法审核报名信息,导致报名失败。
报考人员必须认真阅读《招聘简章》中所规定的招聘条件和《职位表》中的各项要求,确定自己是否符合招聘条件之后再进行填报。否则,错报、误报和瞒报造成的一切后果,由应聘人员本人负责。应聘人员提供的应聘材料或信息不实的,由招聘单位或主管部门取消其进入下一环节资格;应聘人员恶意扰乱公开招聘工作秩序或者伪造学历学位证明及其他有关证件骗取应聘资格的,取消其应聘资格并作严肃处理。因资格审查不严导致不符合条件的报考人员进入考试环节的,该报考人员考试成绩作无效处理并追究初审有关人员责任;资格审查贯穿整个公开招聘工作的始终,在公开招聘过程任一环节发现应聘人员资格条件不符合《招聘简章》要求的,随时取消其进入下一环节资格或应聘资格。
报考人员提交报考申请并确认成功后须及时登录查看详细信息中的审核状态,通过审核的报考人员,不得再报考其他职位。
(3)原则上要求本人亲自报名和填写相关信息,信息填写不真实、不完整或填写错误的责任自负。如因特殊情况请他人代为填写报名信息的,视为应聘人员本人填写,由应聘人员本人承担相关责任。
报考人员故意隐瞒本人重要信息或提供虚假报考申请材料的,一经查实,立即取消进入下一个环节的资格。
(二)网上资格初审
1.资格初审时间:2020年8月1日9:00—2020年8月5日17:00。
2.资格初审要求。资格初审由招聘单位和主管部门负责。对已经提交报名申请的报考人员,在提交《报名表》后24小时内审核完毕。根据报考人员填写的个人信息(信息须为本人真实情况,若有虚假、遗漏、错误,责任自负),对照《招聘简章》和职位所需的资格条件进行资格初审。对照片质量不符合要求的,应提示报考人员重新上传照片。经资格初审合格的予以确认;经资格初审不合格的,向本人说明理由。
3.通过资格审核的报考人员,姓名、身份证号有误的可自行按正确姓名、身份证号重新报名;其他信息有误的,须本人提出书面申请,经招考单位主管部门审核同意后由毕节市人力资源开发中心人事考试服务科统一修改。
4.2020年8月3日17:00前,已提交报名申请但由于报名表信息不完整、错漏、照片不符合规定等原因导致初审未通过的人员,可于2020年8月4日17:00前进行修改(报考单位和职位不得修改),招聘单位在2020年8月5日17:00前完成审核。审核仍未通过的,不得再修改任何报名信息,视为报名失败。考生应留下准确联系电话,并保持电话通畅。
5.网上缴费。通过资格初审的报考人员于2020年8月1日9:00—2020年8月6日17:00在“贵州人事考试信息网”网上缴纳100元报名费。在规定时间内未缴费者视为自动放弃。
网上缴费结束后,职位报名人数与招聘计划数达不到3:1比例的,该职位招聘计划予以减少或取消(毕节市中医院01、02、03、04、05、06职位和毕节医学高等专科学校02、03、04职位除外)。招聘职位计划减少或取消的情况在毕节市人民政府网、毕节市人力资源和社会保障局官网上公布。职位招聘计划减少的,报考该职位的考生所报职位不再进行调整;职位招聘计划取消的,办理退费手续。
6.网上打印准考证。网上缴费结束后,报考人员于2020年8月31日9:00—2020年9月3日17:00期间登录“贵州人事考试信息网”打印准考证。
7.网上报名技术咨询电话:毕节市人力资源开发中心人事考试服务科,联系电话:0857-8222949。
毕节市七星关区2020年
第一批面向社会公开招聘事业单位工作人员简章
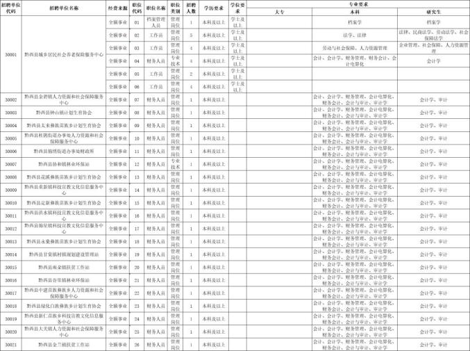
职位表↓↓↓




(一)具有中华人民共和国国籍。
(二)拥护中华人民共和国宪法,拥护中国共产党的领导,热爱社会主义,具有良好的政治素质和品行,具有为人民服务的思想,遵纪守法。
(三)年龄在18周岁及以上(2002年8月1日及以前出生)、35周岁及以下(1984年8月2日及以后出生)。
(四)学历、学位、资格等要求详见《职位表》(2020年应届毕业生2020年12月31日前须提交应聘职位所需学历、学位证书、相关证件等材料)。
(五)报考单位代码是10001至10034职位的考生,必须是七星关区建档立卡贫困户或易地扶贫搬迁户的高校毕业生,报考单位代码是10063和10065职位的考生,必须是七星关区户籍(生源地)。
(六)作“七星关区建档立卡贫困户和易地扶贫搬迁户的高校毕业生”限制的职位是指截至2020年7月15日已在我区相关部门建档立卡的贫困户或已完成搬迁的易地扶贫搬迁户(原地址和新地址都属七星关区),作七星关区户籍(生源地)限制的职位是指截至2020年7月15日户籍在七星关区(含已划归金海湖新区的小坝镇、梨树镇、岔河镇)的人员或原为七星关区户籍,通过国家普通高等教育入学考试到区外学习、工作的人员报考。
(七)具有正常履行职责的身体条件。
(八)具备拟报考职位所需的其他资格条件。
以下人员不得报考:
(一)不能坚持党的基本路线,在重大政治问题上不能与党中央保持一致的人员。
(二)2020届毕业的委培生、定向生原则上不得报考,如委培或定向单位同意其报考的,须由委培或定向单位出具同意报考证明,并经所在院校同意后方可报考。
(三)截至2020年7月15日“农村义务教育阶段学校教师特设岗位计划”服务期未满的。
(四)截至2020年7月15日仍在读的全日制非2020届毕业生或服现役人员。
(五)截至2020年7月15日仍在试用期内的公务员(含参公管理人员)和事业单位工作人员。
(六)截至2020年7月15日,七星关区内公职人员(党政机关、事业单位在职在编人员)。
(七)曾因犯罪受过刑事处罚的人员,受处分期间或正在接受纪检监察机关、司法机关立案调查未结案的人员。
(八)曾被开除公职或在机关(含参照公务员法管理单位)、事业单位被辞退未满5年的人员。
(九)在各级公务员招录或事业单位招聘考试中被认定有舞弊等严重违反考试录(聘)用纪律行为且仍在不得报考期限内的人员。
(十)违反计划生育政策的人员。
(十一)不符合招聘对象、报考条件或职位所需资格条件的人员。
(十二)有法律、法规规定不得聘的人员。
二、报名及资格审查
(一)报名
1.报名时间:2020年8月1日9:00—8月3日17:00,逾期不再办理报名手续。
2.网上报名程序
报名采取网上报名方式进行,报考人员登录“贵州人事考试信息网”报名。网上报名按以下程序进行:
(1)提交报名申请。报考人员于2020年8月1日9:00—8月3日17:00以前登录“贵州人事考试信息网”提交报名申请,并上传本人近期免冠正面彩色证件照片(jpg格式,20KB以下)。
报考人员只能选择一个职位进行报名。报名申请提交被接受后,系统会向报考人员反馈一个报名序号。报名序号是报考人员查询报考资格审查结果、网上缴费确认、打印准考证等事项的重要依据,请妥善保管。
(2)报考人员在提交报名信息并成功上传照片或因审核未过重新修改报名信息后,都须进行提交报名申请操作。点击“提交报名申请”键后,报考人员将不能对报名信息进行修改。若不点击“提交报名申请”键,审核单位将无法审核报名信息,导致报名失败。
报考人员必须认真阅读《招聘简章》中所规定的招聘条件和《职位表》中的各项要求,确定自己是否符合招聘条件之后再进行填报。否则,错报、误报和瞒报造成的一切后果,由应聘人员本人负责。应聘人员提供的应聘材料或信息不实的,由招聘单位或主管部门取消其进入下一环节资格;应聘人员恶意扰乱公开招聘工作秩序或者伪造学历学位证明及其他有关证件骗取应聘资格的,取消其应聘资格并作严肃处理。因资格审查不严导致不符合条件的报考人员进入考试环节的,该报考人员考试成绩作无效处理并追究初审有关人员责任;资格审查贯穿整个公开招聘工作的始终,在公开招聘过程任一环节发现应聘人员资格条件不符合《招聘简章》要求的,随时取消其进入下一环节资格或应聘资格。
报考人员提交报考申请并确认成功后须及时登录查看详细信息中的审核状态,通过审核的报考人员,不得再报考其他职位。
(3)原则上要求本人亲自报名和填写相关信息,信息填写不真实、不完整或填写错误的责任自负。如因特殊情况请他人代为填写报名信息的,视为应聘人员本人填写,由应聘人员本人承担相关责任。
报考人员故意隐瞒本人重要信息或提供虚假报考申请材料的,一经查实,立即取消进入下一个环节的资格。
(二)网上资格初审
1.资格初审时间:2020年8月1日9:00—2020年8月5日17:00。
2.资格初审要求。资格初审由招聘单位负责。对已经提交报名申请的报考人员,在提交《报名表》后24小时内审核完毕。根据报考人员填写的个人信息(信息须为本人真实情况,若有虚假、遗漏、错误,责任自负),对照《招聘简章》和职位所需的资格条件进行资格初审。对照片质量不符合要求的,应提示报考人员重新上传照片。经资格初审合格的予以确认;经资格初审不合格的,向本人说明理由。
3.通过资格审核的报考人员,姓名、身份证号有误的可自行按正确姓名、身份证号重新报名;其他信息有误的,须本人提出书面申请,经招考单位主管部门审核同意后由毕节市人力资源开发中心人事考试服务科统一修改。
4.2020年8月3日17:00前,已提交报名申请但由于报名表信息不完整、错漏、照片不符合规定等原因导致初审未通过的人员,可于2020年8月4日17:00前进行修改(报考单位和职位不得修改),招聘单位在2020年8月5日17:00前完成审核。审核仍未通过的,不得再修改任何报名信息,视为报名失败。考生应准确留下联系电话,并保持电话通畅。
5.网上缴费。通过资格初审的报考人员于2020年8月1日9:00—2020年8月6日17:00在“贵州人事考试信息网”网上缴纳100元报名费。在规定时间内未缴费者视为自动放弃。
网上缴费结束后,职位报名人数与拟招聘计划数达不到3:1比例的,该职位招聘计划予以减少或取消。招聘职位计划减少或取消的情况在七星关区人民政府网和七星关区阳光党务政务网上公布。职位招聘计划减少的,报考该职位的考生所报职位不再进行调整;职位招聘计划取消的,办理退费手续。
6.网上打印准考证。网上缴费结束后,报考人员于2020年8月31日9:00—2020年9月3日17:00期间登录“贵州人事考试信息网”打印准考证。
网上报名技术咨询电话:毕节市人力资源开发中心人事考试服务科,联系电话:8222949。
咨询电话:0857-8278878(七星关区自然资源局)
0857-8345280(七星关区林业局)
0857-8946678(七星关区人社局)
监督电话:0857-8222524(七星关区监察委)
赫章县2020年
面向社会公开招聘事业单位工作人员简章
职位表↓↓↓




(一)具有中华人民共和国国籍。
(二)拥护中华人民共和国宪法,拥护中国共产党的领导,热爱社会主义,具有良好的政治素质和品行,具有为人民服务的思想,遵纪守法。
(三)年龄在18周岁及以上(2002年8月1日及以前出生)、35周岁及以下(1984年8月2日及以后出生),村党支部书记、副书记、村委会主任、副主任年龄放宽到40周岁(1979年8月2日及以后出生)。
(四)学历、学位、资格等要求详见《职位表》(2020年应届毕业生2020年12月31日前须提交应聘职位所需学历、学位证书、相关证件等材料)。
(五)在赫章县内服务期满的“三支一扶”计划、“选聘高校毕业生到村(社区)任职计划(一村一名大学生工程)”“大学生志愿服务西部计划”人员是指截至2020年7月15日已取得在赫章县内服务的相关服务证的人员。
(六)“退役大学生士兵”包含普通高等教育全日制学校在校期间或毕业后应征入伍的退役士兵;“生源地或兵源地为赫章县的退役大学生士兵”是指:一是本县生源在县外应征入伍服兵役人员;二是在赫章县内应征入伍服兵役人员。
(七)定向招聘赫章县户籍(生源)的职位,“赫章县户籍”是指截至2020年7月15日户籍在赫章县;“赫章县生源”是指原为赫章县户籍,通过国家普通高等教育入学考试到县外学习、工作的人员。
(八)定向招聘赫章县内建档立卡贫困户或易地扶贫搬迁户高校毕业生职位是指截至2020年7月15日已在赫章县相关部门建档立卡的贫困户或已完成搬迁的易地扶贫搬迁户高校毕业生。
(九)具有正常履行职责的身体条件。
(十)具备拟报考职位所需的其他资格条件。
以下人员不得报考:
(一)不能坚持党的基本路线,在重大政治问题上不能与党中央保持一致的人员。
(二)2020届毕业的委培生、定向生原则上不得报考,如委培或定向单位同意其报考的,须由委培或定向单位出具同意报考证明,并经所在院校同意后方可报考。
(三)截至2020年7月15日“农村义务教育阶段学校教师特设岗位计划”服务期未满的。
(四)截至2020年7月15日仍在读的全日制非2020届毕业生或服现役人员。
(五)截至2020年7月15日仍在试用期内的公务员(含参公管理人员)和事业单位工作人员。
(六)截至2020年7月15日赫章县党政机关、事业单位在职在编人员。
(七)曾因犯罪受过刑事处罚的人员,受处分期间或正在接受纪检监察机关、司法机关立案调查未结案的人员。
(八)曾被开除公职或在机关(含参照公务员法管理单位)、事业单位被辞退未满5年的人员。
(九)在各级公务员招录或事业单位招聘考试中被认定有舞弊等严重违反考试录(聘)用纪律行为且仍在不得报考期限内的人员。
(十)违反计划生育政策的人员。
(十一)不符合招聘对象、报考条件或职位所需资格条件的人员。
(十二)有法律、法规规定不得聘用的人员。
二、报名及资格审查
(一)报名
1.报名时间:2020年8月1日9:00—8月3日17:00,逾期不再办理报名手续。
2.网上报名程序
报名采取网上报名方式进行,报考人员登录“贵州人事考试信息网”报名。网上报名按以下程序进行:
(1)提交报名申请。报考人员于2020年8月1日9:00—8月3日17:00期间登录“贵州人事考试信息网”提交报名申请,并上传本人近期免冠正面彩色证件照片(jpg格式,20KB以下)。报考人员只能选择一个职位进行报名。报名申请提交被接受后,系统会向报考人员反馈一个报名序号。报名序号是报考人员查询报考资格审查结果、网上缴费确认、打印准考证等事项的重要依据,请妥善保管。
(2)报考人员在提交报名信息并成功上传照片或因审核未过重新修改报名信息后,都须进行提交报名申请操作。点击“提交报名申请”键后,报考人员将不能对报名信息进行修改。若不点击“提交报名申请”键,审核单位将无法审核报名信息,导致报名失败。
报考人员必须认真阅读《招聘简章》中所规定的招聘条件和《职位表》中的各项要求,确定自己是否符合招聘条件之后再进行填报。否则,错报、误报和瞒报造成的一切后果,由应聘人员本人负责。应聘人员提供的应聘材料或信息不实的,由招聘单位或主管部门取消其进入下一环节资格;应聘人员恶意扰乱公开招聘工作秩序或者伪造学历学位证明及其他有关证件骗取应聘资格的,取消其应聘资格并作严肃处理。因资格审查不严导致不符合条件的报考人员进入考试环节的,该报考人员考试成绩作无效处理并追究初审有关人员责任;资格审查贯穿整个公开招聘工作的始终,在公开招聘过程任一环节发现应聘人员资格条件不符合《招聘简章》要求的,随时取消其进入下一环节资格或应聘资格。
报考人员提交报考申请并确认成功后须及时登录查看详细信息中的审核状态,通过审核的报考人员,不得再报考其他职位。
(3)原则上要求本人亲自报名和填写相关信息,信息填写不真实、不完整或填写错误的责任自负。如因特殊情况请他人代为填写报名信息的,视为应聘人员本人填写,由应聘人员本人承担相关责任。
报考人员故意隐瞒本人重要信息或提供虚假报考申请材料的,一经查实,立即取消进入下一个环节的资格。
(二)网上资格初审
1.资格初审时间:2020年8月1日9:00—2020年8月5日17:00。
2.资格初审要求。资格初审由县人社局组织实施,各招聘单位具体负责。对已经提交报名申请的报考人员,在提交《报名表》后24小时内审核完毕。根据报考人员填写的个人信息(信息须为本人真实情况,若有虚假、遗漏、错误,责任自负),对照《招聘简章》和职位所需的资格条件进行资格初审。对照片质量不符合要求的,应提示报考人员重新上传照片。经资格初审合格的予以确认;经资格初审不合格的,向本人说明理由。
3.通过资格审核的报考人员,姓名、身份证号有误的可自行按正确姓名、身份证号重新报名;其他信息有误的,须本人提出书面申请,经招考单位主管部门审核同意后由毕节市人力资源开发中心人事考试服务科统一修改。
4.2020年8月3日17:00前,已提交报名申请但由于报名表信息不完整、错漏、照片不符合规定等原因导致初审未通过的人员,可于2020年8月4日17:00前进行修改(报考单位和职位不得修改),招聘单位在2020年8月5日17:00前完成审核。审核仍未通过的,不得再修改任何报名信息,视为报名失败。考生应准确留下联系电话,并保持电话通畅。
5.网上缴费。通过资格初审的报考人员于2020年8月1日9:00—2020年8月6日17:00在“贵州人事考试信息网”网上缴纳100元报名费。在规定时间内未缴费者视为自动放弃。
网上缴费结束后,职位报名人数与拟招聘计划数达不到3:1比例的,该职位招聘计划予以减少或取消。招聘职位计划减少或取消的情况在赫章县人民政府官网上公布。职位招聘计划减少的,报考该职位的考生所报职位不再进行调整;职位招聘计划取消的,办理退费手续。
6.网上打印准考证。网上缴费结束后,报考人员于2020年8月31日9:00—2020年9月3日17:00期间登录“贵州人事考试信息网”打印准考证。
网上报名技术咨询电话:毕节市人力资源开发中心人事考试服务科,联系电话:0857-8222949。
咨询电话:0857-3232881(赫章县人力资源和社会保障局)
监督电话:0857-3232836(中共赫章县委组织部)
0857-3227223(中共赫章县纪委监委)
黔西县2020年
面向社会公开招聘事业单位工作人员简章
职位表↓↓↓


(一)具有中华人民共和国国籍。
(二)拥护中华人民共和国宪法,拥护中国共产党的领导,热爱社会主义,具有良好的政治素质和品行,具有为人民服务的思想,遵纪守法。
(三)年龄在18周岁及以上(2002年8月1日及以前出生)、35周岁及以下(1984年8月2日及以后出生)。
(四)定向招聘黔西县户籍(生源)的职位限截至到2020年7月15日户籍在黔西县(含委托贵州百里杜鹃管理区管理委员会管理的金坡彝族苗族满族乡和仁和彝族苗族乡)的人员或原为黔西县户籍,通过国家普通高等教育入学考试到县外学习、工作的人员报考。
(五)学历、学位、资格等要求详见《职位表》(2020年应届毕业生2020年12月31日前须提交应聘职位所需学历、学位证书、相关证件等材料)。
(六)具有正常履行职责的身体条件。
(七)具备拟报考职位所需的其他资格条件。
以下人员不得报考:
(一)不能坚持党的基本路线,在重大政治问题上不能与党中央保持一致的人员。
(二)2020届毕业的委培生、定向生原则上不得报考,如委培或定向单位同意其报考的,须由委培或定向单位出具同意报考证明,并经所在院校同意后方可报考。
(三)截至2020年7月15日“农村义务教育阶段学校教师特设岗位计划”服务期未满的。
(四)截至2020年7月15日仍在读的全日制非2020届毕业生或服现役人员。
(五)截至2020年7月15日仍在试用期内的公务员(含参公管理人员)和事业单位工作人员。
(六)截至2020年7月15日机关、事业单位在职在编人员(在职在编人员以无业人员身份报考的视为提供虚假信息,查实后取消进入下一环节资格)。
(七)曾因犯罪受过刑事处罚的人员,受处分期间或正在接受纪检监察机关、司法机关立案调查未结案的人员。
(八)曾被开除公职或在机关(含参照公务员法管理单位)、事业单位被辞退未满5年的人员。
(九)在各级公务员招录或事业单位招聘考试中被认定有舞弊等严重违反考试录(聘)用纪律行为且仍在不得报考期限内的人员。
(十)违反计划生育政策的人员。
(十一)不符合招聘对象、报考条件或职位所需资格条件的人员。
(十二)有法律、法规规定不得聘用的人员。
二、报名及资格审查
(一)报名
1.报名时间:2020年8月1日9:00—8月3日17:00,逾期不再办理报名手续。
2.网上报名程序
报名采取网上报名方式进行,报考人员登录“贵州人事考试信息网”报名。网上报名按以下程序进行:
(1)提交报名申请。报考人员于2020年8月1日9:00—8月3日17:00期间登录“贵州人事考试信息网”提交报名申请,并上传本人近期免冠正面彩色证件照片(jpg格式,20KB以下)。报考人员只能选择一个职位进行报名。报名申请提交被接受后,系统会向报考人员反馈一个报名序号。报名序号是报考人员查询报考资格审查结果、网上缴费确认、打印准考证等事项的重要依据,请妥善保管。
(2)报考人员在提交报名信息并成功上传照片或因审核未过重新修改报名信息后,都须进行提交报名申请操作。点击“提交报名申请”键后,报考人员将不能对报名信息进行修改。若不点击“提交报名申请”键,审核单位将无法审核报名信息,导致报名失败。
报考人员必须认真阅读《招聘简章》中所规定的招聘条件和《职位表》中的各项要求,确定自己是否符合招聘条件之后再进行填报。否则,错报、误报和瞒报造成的一切后果,由应聘人员本人负责。应聘人员提供的应聘材料或信息不实的,由招聘单位或主管部门取消其进入下一环节资格;应聘人员恶意扰乱公开招聘工作秩序或者伪造学历学位证明及其他有关证件骗取应聘资格的,取消其应聘资格并作严肃处理。因资格审查不严导致不符合条件的报考人员进入考试环节的,该报考人员考试成绩作无效处理并追究初审有关人员责任;资格审查贯穿整个公开招聘工作的始终,在公开招聘过程任一环节发现应聘人员资格条件不符合《招聘简章》要求的,随时取消其进入下一环节资格或应聘资格。
报考人员提交报考申请并确认成功后须及时登录查看详细信息中的审核状态,通过审核的报考人员,不得再报考其他职位。
(3)原则上要求本人亲自报名和填写相关信息,信息填写不真实、不完整或填写错误的责任自负。如因特殊情况请他人代为填写报名信息的,视为应聘人员本人填写,由应聘人员本人承担相关责任。
报考人员故意隐瞒本人重要信息或提供虚假报考申请材料的,一经查实,立即取消进入下一个环节的资格。
(二)网上资格初审
1.资格初审时间:2020年8月1日9:00—2020年8月5日17:00。
2.资格初审要求。资格初审由黔西县事业单位招聘领导小组办公室组织,招聘单位及其主管部门具体负责。对已经提交报名申请的报考人员,在提交《报名表》后24小时内审核完毕。根据报考人员填写的个人信息(信息须为本人真实情况,若有虚假、遗漏、错误,责任自负),对照《招聘简章》和职位所需的资格条件进行资格初审。对照片质量不符合要求的,应提示报考人员重新上传照片。经资格初审合格的予以确认;经资格初审不合格的,向本人说明理由。
3.通过资格审核的报考人员,姓名、身份证号有误的可自行按正确姓名、身份证号重新报名;其他信息有误的,须本人提出书面申请,经招考单位主管部门审核同意后由毕节市人力开发中心人事考试服务科统一修改。
4.2020年8月3日17:00前,已提交报名申请但由于报名表信息不完整、错漏、照片不符合规定等原因导致初审未通过的人员,可于2020年8月4日17:00前进行修改(报考单位和职位不得修改),招聘单位在2020年8月5日17:00前完成审核。审核仍未通过的,不得再修改任何报名信息,视为报名失败。考生应留下准确联系电话,并保持电话通畅。
5.网上缴费。通过资格初审的报考人员于2020年8月1日9:00—2020年8月6日17:00在“贵州人事考试信息网”网上缴纳100元报名费。在规定时间内未缴费者视为自动放弃。
网上缴费结束后,职位报名人数与拟招聘计划数达不到3:1比例的,该职位招聘计划予以减少或取消。招聘职位计划减少或取消的情况在黔西县人民政府网上公布。职位招聘计划减少的,报考该职位的考生所报职位不再进行调整;职位招聘计划取消的,办理退费手续。
6.网上打印准考证。网上缴费结束后,报考人员于2020年8月31日9:00—2020年9月3日17:00期间登录“贵州人事考试信息网”打印准考证。
网上报名技术咨询电话:毕节市人力资源开发中心人事考试服务科,联系电话:0857-8222949。
咨询电话:0857-4222329(黔西县财政局)
0857-4246135(黔西县人社局事业单位人事股)
监督电话:0857-4222403(黔西县纪委信访室)
大方县2020年
面向社会公开招聘事业单位工作人员简章
职位表↓↓↓

(一)具有中华人民共和国国籍。
(二)拥护中华人民共和国宪法,拥护中国共产党的领导,热爱社会主义,具有良好的政治素质和品行,具有为人民服务的思想,遵纪守法。
(三)年龄在18周岁及以上(2002年8月1日及以前出生)、35周岁及以下(1984年8月2日及以后出生)。
(四)大方县内服务期满的“西部计划志愿者”“三支一扶”计划和“一村一名大学生工程”“选聘高校毕业生到村任职”高校毕业生。
(五)报考限大方县户籍(生源)的职位限截至2020年7月15日具有大方县户籍(含大方县委托贵州百里杜鹃管理区管理委员会及金海湖新区管理的区域)的人员或原为大方县户籍,通过国家普通高等教育入学考试到县外学习、工作的人员报考。
(六)报考限“大方县建档立卡贫困户和易地扶贫搬迁户的高校毕业生”的职位限截至2020年7月15日已在我县相关部门建档立卡的贫困户或已完成搬迁的易地扶贫搬迁户(原地址和新地址都属大方县)。
(七)学历、学位、资格等要求详见《职位表》(2020年应届毕业生2020年12月31日前须提交应聘职位所需学历、学位证书等材料)。
(八)具有正常履行职责的身体条件。
(九)具备拟报考职位所需的其他资格条件。
以下人员不得报考:
(一)不能坚持党的基本路线,在重大政治问题上不能与党中央保持一致的人员。
(二)2020届毕业的委培生、定向生原则上不得报考,如委培或定向单位同意其报考的,须由委培或定向单位出具同意报考证明,并经所在院校同意后方可报考。
(三)截至2020年7月15日“农村义务教育阶段学校教师特设岗位计划”服务期未满的。
(四)截至2020年7月15日仍在读的全日制非2020届毕业生或服现役人员。
(五)截至2020年7月15日仍在试用期内的公务员(含参公管理人员)和事业单位工作人员。
(六)截至2020年7月15日仍在机关或事业单位的在职在编人员。
(七)曾因犯罪受过刑事处罚的人员,受处分期间或正在接受纪检监察机关、司法机关立案调查未结案的人员。
(八)曾被开除公职或在机关(含参照公务员法管理单位)、事业单位被辞退未满5年的人员。
(九)在各级公务员招录或事业单位招聘考试中被认定有舞弊等严重违反考试录(聘)用纪律行为且仍在不得报考期限内的人员。
(十)违反计划生育政策的人员。
(十一)不符合招聘对象、报考条件或职位所需资格条件的人员。
(十二)有法律、法规规定不得聘用的人员。
二、报名及资格审查
(一)报名
1.报名时间:2020年8月1日9:00—8月3日17:00,逾期不再办理报名手续。
2.网上报名程序
报名采取网上报名方式进行,报考人员登录“贵州人事考试信息网”报名。网上报名按以下程序进行:
(1)提交报名申请。报考人员于2020年8月1日9:00—8月3日17:00期间登录“贵州人事考试信息网”提交报名申请,并上传本人近期免冠正面彩色证件照片(jpg格式,20KB以下)。报考人员只能选择一个职位进行报名。报名申请提交被接受后,系统会向报考人员反馈一个报名序号。报名序号是报考人员查询报考资格审查结果、网上缴费确认、打印准考证等事项的重要依据,请妥善保管。
(2)报考人员在提交报名信息并成功上传照片或因审核未过重新修改报名信息后,都须进行提交报名申请操作。点击“提交报名申请”键后,报考人员将不能对报名信息进行修改。若不点击“提交报名申请”键,审核单位将无法审核报名信息,导致报名失败。
报考人员必须认真阅读《招聘简章》中所规定的招聘条件和《职位表》中的各项要求,确定自己是否符合招聘条件之后再进行填报。否则,错报、误报和瞒报造成的一切后果,由应聘人员本人负责。应聘人员提供的应聘材料或信息不实的,由招聘单位或主管部门取消其进入下一环节资格;应聘人员恶意扰乱公开招聘工作秩序或者伪造学历学位证明及其他有关证件骗取应聘资格的,取消其应聘资格并作严肃处理。因资格审查不严导致不符合条件的报考人员进入考试环节的,该报考人员考试成绩作无效处理并追究初审有关人员责任;资格审查贯穿整个公开招聘工作的始终,在公开招聘过程任一环节发现应聘人员资格条件不符合《招聘简章》要求的,随时取消其进入下一环节资格或应聘资格。
报考人员提交报考申请并确认成功后须及时登录查看详细信息中的审核状态,通过审核的报考人员,不得再报考其他职位。
(3)原则上要求本人亲自报名和填写相关信息,信息填写不真实、不完整或填写错误的责任自负。如因特殊情况请他人代为填写报名信息的,视为应聘人员本人填写,由应聘人员本人承担相关责任。
报考人员故意隐瞒本人重要信息或提供虚假报考申请材料的,一经查实,立即取消进入下一个环节的资格。
(二)网上资格初审
1.资格初审时间:2020年8月1日9:00—2020年8月5日17:00。
2.资格初审要求。资格初审由招聘单位负责。对已经提交报名申请的报考人员,在提交《报名表》后24小时内审核完毕。根据报考人员填写的个人信息(信息须为本人真实情况,若有虚假、遗漏、错误,责任自负),对照《招聘简章》和职位所需的资格条件进行资格初审。对照片质量不符合要求的,应提示报考人员重新上传照片。经资格初审合格的予以确认;经资格初审不合格的,向本人说明理由。
3.通过资格审核的报考人员,姓名、身份证号有误的可自行按正确姓名、身份证号重新报名;其他信息有误的,须本人提出书面申请,经招考单位主管部门审核同意后由毕节市人力资源开发中心人事考试服务科统一修改。
4.2020年8月3日17:00前,已提交报名申请但由于报名表信息不完整、错漏、照片不符合规定等原因导致初审未通过的人员,可于2020年8月4日17:00前进行修改(报考单位和职位不得修改),招聘单位在2020年8月5日17:00前完成审核。审核仍未通过的,不得再修改任何报名信息,视为报名失败。考生应准确留下联系电话,并保持电话通畅。
5.网上缴费。通过资格初审的报考人员于2020年8月1日9:00—2020年8月6日17:00在“贵州人事考试信息网”网上缴纳100元报名费。在规定时间内未缴费者视为自动放弃。
网上缴费结束后,职位报名人数与拟招聘计划数达不到3:1比例的,该职位招聘计划予以减少或取消。招聘职位计划减少或取消的情况在大方县人民政府网上公布。职位招聘计划减少的,报考该职位的考生所报职位不再进行调整;职位招聘计划取消的,办理退费手续。
6.网上打印准考证。网上缴费结束后,报考人员于2020年8月31日9:00—2020年9月3日17:00期间登录“贵州人事考试信息网”打印准考证。
网上报名技术咨询电话:毕节市人力资源开发中心人事考试服务科,联系电话:0857-8222949。
咨询电话:0857-5251738(大方县人社局事业单位管理股)
监督电话:0857-5232646(大方县纪委)
织金县事业单位2020年
面向社会公开招聘工作人员简章
职位表↓↓↓


(一)具有中华人民共和国国籍。
(二)拥护中华人民共和国宪法,拥护中国共产党的领导,热爱社会主义,具有良好的政治素质和品行,具有为人民服务的思想,遵纪守法。
(三)年龄在18周岁及以上(2002年8月1日及以前出生)、35周岁及以下(1984年8月2日及以后出生)。
(四)学历、学位、资格等要求详见《职位表》(2020年应届毕业生2020年12月31日前须提交应聘职位所需学历、学位证书、相关证件等材料)。
(五)作“织金县户籍(生源)”限制的职位是指截至到2020年7月15日户籍在织金县的人员,或原为织金县户籍,通过国家普通高等教育入学考试到县外学习、工作的人员;作“织金县建档立卡贫困户”限制的职位是指截至到2020年7月15日户籍在织金县的建档立卡贫困户;作“退役士兵”限制的职位是指:截至到2020年7月15日户籍在织金县的退役士兵;作“三支一扶计划”“选聘高校毕业生到村(社区)任职计划”(一村一名大学生工程)、“大学生志愿服务西部计划”“农村义务教育阶段学校教师特设岗位计划”限截至到2020年7月在织金县累计服务期满的人员报考。
(六)具有正常履行职责的身体条件。
(七)具备拟报考职位所需的其他资格条件。
以下人员不得报考:
(一)不能坚持党的基本路线,在重大政治问题上不能与党中央保持一致的人员。
(二)2020届毕业的委培生、定向生原则上不得报考,如委培或定向单位同意其报考的,须由委培或定向单位出具同意报考证明,并经所在院校同意后方可报考。
(三)截至2020年7月15日仍在读的全日制非2020届毕业生或服现役人员。
(四)截至2020年7月15日仍在试用期内的公务员(含参公管理人员)和事业单位工作人员。
(五)截至2020年7月15日仍在职在编的织金县机关事业单位工作人员。
(六)曾因犯罪受过刑事处罚的人员,受处分期间或正在接受纪检监察机关、司法机关立案调查未结案的人员。
(七)曾被开除公职或在机关(含参照公务员法管理单位)、事业单位被辞退未满5年的人员。
(八)在各级公务员招录或事业单位招聘考试中被认定有舞弊等严重违反考试录(聘)用纪律行为且仍在不得报考期限内的人员。
(九)违反计划生育政策的人员。
(十)不符合招聘对象、报考条件或职位所需资格条件的人员。
(十一)有法律、法规规定不得聘用的人员。
二、报名及资格审查
(一)报名
1.报名时间:2020年8月1日9:00—8月3日17:00,逾期不再办理报名手续。
2.网上报名程序
报名采取网上报名方式进行,报考人员登录“贵州人事考试信息网”报名。网上报名按以下程序进行:
(1)提交报名申请。报考人员于2020年8月1日9:00—8月3日17:00期间登录“贵州人事考试信息网”提交报名申请,并上传本人近期免冠正面彩色证件照片(jpg格式,20KB以下)。报考人员只能选择一个职位进行报名。报名申请提交被接受后,系统会向报考人员反馈一个报名序号。报名序号是报考人员查询报考资格审查结果、网上缴费确认、打印准考证等事项的重要依据,请妥善保管。
(2)报考人员在提交报名信息并成功上传照片或因审核未过重新修改报名信息后,都须进行提交报名申请操作。点击“提交报名申请”键后,报考人员将不能对报名信息进行修改。若不点击“提交报名申请”键,审核单位将无法审核报名信息,导致报名失败。
报考人员必须认真阅读《招聘简章》中所规定的招聘条件和《职位表》中的各项要求,确定自己是否符合招聘条件之后再进行填报。否则,错报、误报和瞒报造成的一切后果,由应聘人员本人负责。应聘人员提供的应聘材料或信息不实的,由招聘单位或主管部门取消其进入下一环节资格;应聘人员恶意扰乱公开招聘工作秩序或者伪造学历学位证明及其他有关证件骗取应聘资格的,取消其应聘资格并作严肃处理。因资格审查不严导致不符合条件的报考人员进入考试环节的,该报考人员考试成绩作无效处理并追究初审有关人员责任;资格审查贯穿整个公开招聘工作的始终,在公开招聘过程任一环节发现应聘人员资格条件不符合《招聘简章》要求的,随时取消其进入下一环节资格或应聘资格。
报考人员提交报考申请并确认成功后须及时登录查看详细信息中的审核状态,通过审核的报考人员,不得再报考其他职位。
(3)原则上要求本人亲自报名和填写相关信息,信息填写不真实、不完整或填写错误的责任自负。如因特殊情况请他人代为填写报名信息的,视为应聘人员本人填写,由应聘人员本人承担相关责任。
报考人员故意隐瞒本人重要信息或提供虚假报考申请材料的,一经查实,立即取消进入下一个环节的资格。
(二)网上资格初审
1.资格初审时间:2020年8月1日9:00—2020年8月5日17:00。
2.资格初审要求。资格初审由招聘单位负责。对已经提交报名申请的报考人员,在提交《报名表》后24小时内审核完毕。根据报考人员填写的个人信息(信息须为本人真实情况,若有虚假、遗漏、错误,责任自负),对照《招聘简章》和职位所需的资格条件进行资格初审。对照片质量不符合要求的,应提示报考人员重新上传照片。经资格初审合格的予以确认;经资格初审不合格的,向本人说明理由。
3.通过资格审核的报考人员,姓名、身份证号有误的可自行按正确姓名、身份证号重新报名;其他信息有误的,须本人提出书面申请,经招考单位主管部门审核同意后由毕节市人力资源开发中心人事考试服务科统一修改。
4.2020年8月3日17:00前,已提交报名申请但由于报名表信息不完整、错漏、照片不符合规定等原因导致初审未通过的人员,可于2020年8月4日17:00前进行修改(报考单位和职位不得修改),招聘单位在2020年8月5日17:00前完成审核。审核仍未通过的,不得再修改任何报名信息,视为报名失败。考生应留下准确联系电话,并保持电话通畅。
5.网上缴费。通过资格初审的报考人员于2020年8月1日9:00—2020年8月6日17:00在“贵州人事考试信息网”网上缴纳100元报名费。在规定时间内未缴费者视为自动放弃。
网上缴费结束后,职位报名人数与拟招聘计划数达不到3:1比例的,该职位招聘计划予以减少或取消。招聘职位计划减少或取消的情况在毕节市人民政府网、毕节市人力资源和社会保障局官网、织金县人民政府网上公布。职位招聘计划减少的,报考该职位的考生所报职位不再进行调整;职位招聘计划取消的,办理退费手续。
6.网上打印准考证。网上缴费结束后,报考人员于2020年8月31日9:00—2020年9月3日17:00期间登录“贵州人事考试信息网”打印准考证。
网上报名技术咨询电话:毕节市人力资源开发中心人事考试服务科,联系电话:0857-8222949。
咨询电话:0857-7638338(织金县人力资源和社会保障局)
监督电话:0857-7621338(织金县纪委县监委)
报名表下载及更多详细内容点击阅读原文
来源:毕节市人民政府网
1.李才沛:退伍不褪色 脱贫战场立新功
2.行摄乡镇丨源远流长 生态盐仓
原标题:《毕节带编招741人,职位表来了!》