“青年大学习”网上主题团课
第八季第六期已经来啦
准备好开始学习咯!

凝心聚力打赢脱贫攻坚战
“
习近平总书记曾在2020年新年贺词中指出:2020年是具有里程碑意义的一年。我们将全面建成小康社会,实现第一个百年奋斗目标。2020年也是脱贫攻坚决战决胜之年。冲锋号已经吹响。我们要万众一心加油干,越是艰险越向前,把短板补得再扎实一些,把基础打得再牢靠一些,坚决打赢脱贫攻坚战,如期实现现行标准下农村贫困人口全部脱贫、贫困县全部摘帽。虽然2020年刚一开头,我们便遭遇了新冠肺炎疫情的严峻考验,但全党全国人民坚决打赢脱贫攻坚战的志气和信心没有削弱,这才真正是越是艰险越向前。今天的网上团课,让我们一起学习总书记在决战决胜脱贫攻坚座谈会上的重要讲话精神。
”
上一周我们学习了
《在疫情防控中体现负责任大国担当》
大家的学习情况如何呢?
青年大学习第八季第五期
学习率达到100%的有
宣传系统:
一大会址纪念馆
高校系统:
上海电影艺术职业学院
上海音乐学院
上海工商职业技术学院
青工系统:
中国东方航空集团有限公司
上海市经济和信息化团工委
上海市国资委团工委(中国太保、上海仪电、上海化工院、百联集团、科创投集团、上海农商银行、上实集团、临港集团、机场集团、光明食品集团、上海建工、上汽集团、上港集团、上海联交所)
固定布局
工具条上设置固定宽高
背景可以设置被包含
可以完美对齐背景图和文字
以及制作自己的模板
赶紧长按识别以下二维码
进入学习时间吧
青年大学习操作指南
第一步:
进入“青春上海”微信公众号
在菜单栏找到“青年大学习”
点击进入

点击首页的“立即学习”
跳转至青年大学习页面进行学习

点击“立即参与”
跳转到组织选择页面

选择自己当前所在团组织的信息
并填写所在团组织的个人信息

再也不用怕找不到团组织名称啦!
第四步:
信息输入完毕之后
点击“去学习”按钮
即可进行签到学习

在“青春上海”青年大学习的“学习频道”
你还能加成更多的经验值!
除了网上主题团课
更多学习资料等你挖掘

这一季的补充学习材料哦~
来种树啦
小伙伴们
记得每天来个人中心里
签到打卡哦
随着你积分的增长
小树苗也会越来越茁壮哦~

积分不仅能作为排名依据
还能换取奖品哦
积分分为“学习积分”
和“可兑换积分”两种
“学习积分”可用于升级和参与个人排名
“可兑换积分”可用于兑换商品

就可以兑换以下商品哦
丰富你的生活和学习

上海共青团微信公众号影响力排行榜
也准时出炉啦!
上周又有哪些精彩内容?
赶紧来看↓

☆2020年特别的一年,大人们在全力打赢疫情防控阻击战,小朋友们也宅家一起出力。今年还是浦东开发开放30周年,浦东还将复评“全国文明城区”,在这样的背景下,红领巾们、绿领巾们,如何参与“国旗下成长”?当仪式感叠加新媒体,当爱国心叠加战“疫”决心,浦东青年带领大家一起!活动以创意H5小程序形式发布,每天上午7:00-10:30开放,在升起国旗之前,首先需要通过答题闯关环节的考验。健康知识在潜移默化中入耳入心,配合征章集章活动增强趣味性,童趣中意义不凡,是“国旗下成长”华丽的线上转身。


一周榜单




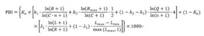
青春上海携手上海交通大学大数据与传播创新实验室(T-Lab)打造全新的PDI(Pandata Index)全景数据评估指数,拒绝过度关注点赞数,更认真地统计峰值,认同潜力值,立志于更科学地为新媒体传播做测算:

数据收录时间:2020年3月23日 10:00
文字:CCQ 数据汇总:Nala 制表:吴佳斐 内容整合:朱雨佳
原标题:《青年大学习第六期:凝心聚力打赢脱贫攻坚战(附公众号影响力排行榜)》