原创 师玉荣张得健王峰 物理与工程
摘要
转动参考系中质点在惯性力作用下的运动是力学教学的难点,本文分别在匀角速转动参考系、变角速转动参考系和惯性系下对该问题的动力学进行分析,得出质点的动力学微分方程;并基于欧拉法,利用Matlab软件对该问题的动力学微分方程进行了数值计算求解和模拟,直观地画出了质点的运动轨迹,基于程序数据对该问题的运动规律进行了较为深入的分析。将研究内容融入教学中,提高了教学效果,培养了学生解决实际问题的能力,对海洋科学、大气科学等相关的专业的后续专业课学习产生了积极的影响。
关键词 转动参考系;科里奥利力;惯性离心力;极坐标系;MatlabDYNAMIC ANALYSIS AND NUMERICAL SIMULATION OF
PARTICLE MOTION IN A ROTATING REFERENCE FRAMESHI YurongZHANG DejianWANG Feng
(College of Physics and Optoelectronic Engineering, Ocean university of China, Shandong, Qingdao 266100)
Abstract The motion of a particle under inertial force in a rotating reference frame is a difficult problem in mechanics teaching. This article analyzes the dynamics of this problem in a uniform angular velocity rotating reference frame, a variable angular velocity rotating reference frame, and an inertial frame, and obtains the dynamic differential equation of the particle; Based on the Euler method, the dynamic differential equation of the problem is solved and simulated numerically by using Matlab software, and the motion track of the particle is drawn intuitively. The motion law of the problem is analyzed in depth based on the program data. The integration of research content into teaching has improved teaching effectiveness, cultivated students' ability to solve practical problems, and had a positive impact on subsequent professional learning related to marine science, atmospheric science, and other fields.
Keywords rotating frame of reference;Coriolis force;centrifugal force;polar coordinate system;Matlab
匀速转动参考系中质点受到惯性离心力和科里奥利力两个惯性力的作用,运动情况比较复杂,动力学方程难以求解,属于力学部分的教学难点,在本科阶段的力学教学中只能对其运动做定性分析,不利于学生深刻理解该知识点,也不利于培养学生应用该知识点解决实际问题的能力。由于地球的自转,运动的物就会受到这些惯性力的作用,很多情况需要考虑惯性力的影响,例如抛体运动、海洋和大气运动、远程炮弹的运动等[1,2]。这个知识点对海洋科学和大气科学等相关的专业的专业课来说是非常重要的知识点,教学中需要做出改进加强。
匀速转动参考系下的惯性离心力和科里奥利力用极坐标系表示更简洁,惯性离心力总是沿径向,当把速度分解成径向速度和横向速度,则很容易表示出科里奥利力的横向分量和径向分量。根据极坐标系下的牛顿第二定律表达出质点的动力学方程,极坐标系下的动力学微分方程不能求得解析解,但数值计算的发展使得这个问题可以解决,欧拉算法是常用的求解牛顿动力学方程的数值解法[3]。
在大学物理教学中引入Matlab进行数值计算和模拟,可以通过形象化的图形、图像展示所求解的结果和物理演化过程,使学生对抽象的物理概念、物理规律有更深刻的理解[4,5]。于凤军应用Mathematica软件对该问题进行了数值计算,得出了一些结论,对大学物理的教学有一定的参考意义[6],本文在极坐标系下,从牛顿定律出发,基于欧拉法,应用Matlab编程对受惯性离心力、科里奥利力作用下质点的运动进行了数值计算和模拟,并把研究结果融入到教学中,取得了很好的教学效果。
本文研究这样一个问题,在一个匀速转动的光滑且水平放置的圆盘上,相对圆盘静止的释放一个质点,质点相对于圆盘的运动是怎样的?这个问题根据运动学的相对运动和绝对运动的关系分析可以定性画出来质点的轨迹,在圆盘参考系中质点的运动为环绕圆心的类似螺旋线的曲线运动,螺距逐渐变大,随着时间的推移,螺距趋于不变。但是用上述运动学的知识定性分析方法非常粗略,而且初始条件稍微复杂一点,就很难定性画出质点的轨迹,更细节的运动也无从下手了。本文借助Matlab编程不但可以计算任意初始条件的运动并画出其运动轨迹,而且可以给出任意时刻的状态值,从而更细致地研究运动情况,本文也模拟了飓风形成的过程。
下面分别在三种参考系中分析质点的动力学,得出质点相对圆盘运动的动力学方程。
1 三种参考系下动力学分析
1.1 匀角速转动的圆盘参考系
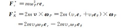
以盘心为坐标原点O,建立平面极坐标系S′,如图1所示质点受到惯性离心力 F*c 和科里奥利力 F*K 作用,设圆盘以角速度ωP逆时针匀角速转动,t时刻质点距离坐标原点为r,角坐标为 θ,质点相对圆盘的转动角速度 ω,速度
,如图1所示,在极坐标系中把速度分解为径向分量
r 和横向分量
θ,相应的科里奥利力分解为径向分量 FKr 和横向分量 FKθ,其惯性离心力和科里奥利力在极坐标系中分别表示为:

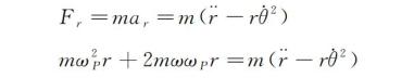
式(1)代入极坐标系下表示的径向牛顿第二定律有

式(2)代入极坐标系下表示的横向牛顿第二定律有
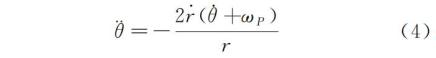
化简得横向动力学微分方程:


在这个参考系中质点只有径向速度,质点做一维直线运动,运动描述简单,但是这个转动参考系相对惯性系的角速度是变化的,质点所受的惯性力除了惯性离心力和科里奥利力,还多了一项由于角加速度引起的切向惯性力。由于在这个转动参考系中质点做直线运动,采用直角坐标系,从盘心沿过质点的径向为一维坐标轴,这与上面的极坐标系的径向是重合的,所以坐标用r表示,速度用
r表示,质点相对地面惯性系的角速度为ω+ωP,则质点相对惯性系的绝对加速度表示为:

。第一项对应的惯性力沿一维坐标轴方向,第二项和第三项对应的惯性力方向垂直该坐标轴,该方向无运动合外力为零,即科里奥利力和切向惯性力正好是一对大小相等,方向相反的力,其作用效果刚好抵消[7]。由直角坐标系中的牛顿定律质点的运动方向:
整理可得式(3)。
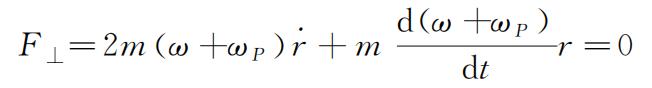
垂直方向:

1.3地面惯性系中
在地面惯性参考系中,同样以圆盘中心为坐标原点建立平面极坐标系S,圆盘参考系S′系相对地面惯性系S系有逆时针的转动角速度ωP,它们的径向坐标相同,所以仍用r表示质点的径向坐标, ω 表示质点相对圆盘的角速度,则质点相对地面的角速度为 ω+ωP;水平面内合外力为零,由极坐标系中径向加速度的表达式和牛顿定律有
化简同样可得式(3)。
由极坐标系中横向加速度的表达式和牛顿定律有
化简后同样可得式(4)。
三种参考系下得到了相同的动力学方程,可以加深学生对非惯性系和惯性力的知识的理解。
2 基于欧拉法的Matlab的数值模拟
式(3)整理可得:
式(4)整理可得:


r(t),r(t),ω(t),θ(t)曲线,初始阶段,径向速度和角速度大小随时间增加较快,经过足够长时间,径向速度和角速度趋于恒定值;图4为初速度朝向盘心的轨迹。



本文还模拟了飓风的形成,从圆盘不同位置朝向一个中心点运动的四个质点,它们各自相对自己的运动方向发生偏转,集体行为就是形成旋转的漩涡,图5显示的是飓风形成示意图。
本文在不同参考系下写出质点在匀角速转动圆盘上受惯性力作用的动力学方程,使学生更好地理解掌握了非惯性系动力学、极坐标下的牛顿定律的应用,了解了欧拉法数值计算求解动力学微分方程的知识。研究内容融入教学中,取得了很好的教学效果,连续四个学期在本校海洋科学拔尖班实施本文的研究内容,激发了学生的学习兴趣,学生基于本文的研究工作,小组协作的形式研究了“傅科摆的轨迹”“考虑科里奥利力的落体运动轨迹”“地球万有引力场中卫星的轨迹”等问题,学生评价反馈中高度评价了这个教学环节,认为不但巩固了相关的理论知识,增强了解决实际问题的能力,更为海洋科学和大气科学专业的学生的后续相关专业课的学习打下了很好的理论和应用基础。
参考文献
[1]简粤. 无阻尼情况下科里奥利力对抛体运动的影响[J].兰州工业学院学报,2016,23(3):86-90.
JIAN Y. Effect of Coriolis force on the projectile motion without resistance[J]. Journal of Lanzhou Institute of Technology,2016,23(3):86-90.(in Chinese)
[2]王安祥,李继军,等. 基于Matlab的科里奥利力对抛体运动的影响[J].陕西科技大学学报:自然科学版,2010,28(6):106-110.
WANG A X, LI J Y, et al. Study on the effect of Coriolis force on projectile motion based on Matlab[J]. Journal of Shanxi University of Science & Technology, 2010,28(6):106-110. (in Chinese)
[3]潘武明.牛顿动力学方程的数值解法[J].高等函授学报(自然科学版),2002(1):22-23.
PAN W M. Numerical solution of Newtons dynamic equations[J].Journal of Higher Correspondence Education(Natural Sciences), 2002(1): 22-23. (in Chinese)
[4]蒋志洁,阳生红,张曰理,等.运用Matlab辅助大学物理教学,提高教学质量[J].物理与工程,2019,29(S1):69-72.
JIANG Z J,YANG S H, et al. Improving teaching quality of college physics using the Matlab numerical calculation and simulation[J]. Physics and Engineering, 2019, 29(S1):69-72. (in Chinese)
[5]华玲玲,杨阳.大学物理教学中培养科学计算能力的研究[J].物理与工程,2013,23(3):37-41
HUA L L,YANG Y. Research on cultivating scientific computing ability in college physics teaching[J]. Physics and Engineering, 2013, 23(3): 37-41. (in Chinese)
[6]于凤军. 质点在非光滑转动圆盘上的运动[J].大学物理,2018,37(2):22-25,41.
YU F J. The motion of a particle on a non-smooth rotating disk[J]. College Physics, 2018, 37(2):22-25,41. (in Chinese)
[7]乔雷,姜波,朱红波.在转动参考系中研究中心力场的圆形轨道稳定性[J].大学物理,2012,31(11):49-51.
QIAO L, JIANG B, et al. Research on stability of circular orbit of a particle exerted by a central force in a rotating frame of reference[J]. College Physics, 2012, 31(11): 49-51. (in Chinese)
基金项目: 2021年中国高等教育学会专项课题“学科竞赛驱动的物理创新人才培养模式探索与实践”(21LKYB03);2021年山东省本科教学改革研究重点项目“基于一流本科课程的区域性虚拟教研室建设方法和实践探索”(Z2021129)。
作者简介: 师玉荣,中国海洋大学讲师,研究方向为复杂系统的动力学。shiyurong@ouc.edu.cn。
引文格式: 师玉荣,张得健,王峰. 转动参考系中质点运动的动力学分析及数值模拟[J]. 物理与工程,2023,33(4):31-35.Cite this article: SHI Y R, ZHANG D J, WANG F. Dynamic analysis and numerical simulation of particle motion in a rotating reference frame[J]. Physics and Engineering, 2023, 33(4):31-35. (in Chinese)
END

CALL FOR PAPERS|《物理与工程》征稿量子世纪年中国大学物理教育MOOC联盟2023年工作会议(扩大)暨典型案例交流会 会议纪要2023年全国高等学校物理基础课程教育学术研讨会 会议纪要2023 年全国高等学校物理基础课程青年教师讲课比赛在喀什大学举办全国大学物理实验教学对口支援(智力援疆)研讨会在新疆师范大学举办王青教授:理解王中林院士“拓展的麦克斯韦方程组”“碰瓷”麦克斯韦:伽利略协变和洛伦兹协变电磁场论趣谈热点:运动介质洛伦兹协变电磁理论2021年《物理与工程》优秀论文、优秀审稿专家、优秀青年学者名单王青教授:源自苏格拉底的问题驱动式教育——在互动中共同学习和成长读后感:教育中的现实和远方王青教授:昨晚(6月9日),清华电动力学期末考试朱邦芬院士:“减负”误区及我国科学教育面临的挑战《物理与工程》2023年第2期目录乐永康:新冠肺炎疫情防控下美国物理实验教学及中美情况对比顾牡:对于重新制定的《非物理类理工学科大学物理课程教学基本要求》的认识和体会朱邦芬院士:从基础科学班到清华学堂物理班朱邦芬院士:对培养一流拔尖创新人才的思考李学潜教授:物理是一种文化李学潜教授:如何帮助物理系学生迈过从高三到大一这个坎穆良柱:物理课程思政教育的核心是科学认知能力培养穆良柱:什么是物理及物理文化?穆良柱:什么是ETA物理认知模型穆良柱:什么是ETA物理教学法吴国祯教授:我的国外研究生经历印象——应清华大学物理系“基科班20年·学堂班10年纪念活动”而写
陈佳洱,赵凯华,王殖东:面向21世纪,急待重建我国的工科物理教育王亚愚教授:清华物理系本科人才培养理念与实践葛惟昆教授:关于中外人才培养的几点思考安宇教授:为什么传统的课堂讲授模式需要改变安宇教授:其实教学就是积累的过程刘玉鑫教授:关于本科生物理基础课程教学和教材编著的一些思考沈乾若:重创理科教育的美加课程改革Henderson C:美国研究基金支持下的物理教育研究及其对高等物理教育的影响《物理与工程》期刊是专注于物理教育教学研究的学术期刊,是中国科技核心期刊,1981年创刊,欢迎踊跃投稿,期刊投审稿采编平台:
http://gkwl.cbpt.cnki.net
欢迎关注
《物理与工程》微信公众号
继续滑动看下一个
转动参考系中质点运动的动力学分析及数值模拟原创 师玉荣张得健王峰 物理与工程 轻触阅读原文

原标题:《转动参考系中质点运动的动力学分析及数值模拟》