原创 王 青 物理与工程
摘要
笔者的理解,王院士对麦克斯韦方程组的拓展之一是用运动的场线的观点讨论运动介质中的麦克斯韦方程组,对照用惯性参考系之间各种场量和时空坐标的变换来讨论,相当于认为电磁场是一个不随参考系改变而变换的标量。
According to author’s understanding, one of the key points for academician Wang’s expanded Maxwell equation groups is to make the investigation in terms view point of moving field lines. In comparison to the discussions by transformations for various fields and space-time coordinates among different inertial reference frames, Wang’s formalism is corresponding to treat field strengths of the electromagnetic field as scalar, which are invariant under the change of reference frames.
理解王中林院士“ 拓展的麦克斯韦方程组”
王 青
(清华大学物理系,北京 100084)
2022年1月13日,中国科学院北京纳米能源与系统研究所召开重大科研进展新闻发布会,由研究所所长、首席科学家王中林院士面向全球公布近期取得的重磅科研成果:将麦克斯韦方程组基于静态电磁场理论推广到运动介质情形,成功拓展麦克斯韦方程组的运用范围,奠定了运动介质电动力学的理论基础。消息一经发出,引发物理学界热议,出现了很多质疑声音。作为一位在清华大学物理系讲授本科物理专业《电动力学》课三十多年的教师,这些天不断收到同事、朋友和学生的来信,询问对王院士的拓展的看法。不得已,笔者在知识分子公众号的文章《争鸣|王中林院士“拓展麦克斯韦方程组”,学界怎么看?》文后写了四条回复(三条被精选,可被读者看到),并且在第一时间把四条回复发了微信朋友圈,几天内引来两百多条点赞。然而,冷静下来深思反省,自觉笔者的回复并没有把学术问题彻底说透,只强调了这样做不行,没有站在拓展的角度上思考,去探究强做的结果究竟意味着什么?本文不再重复讨论笔者在回复里的观点,而是从一名大学《电动力学》课教师的视角,在物理上谈谈对王院士拓展的另类理解,算是研读王院士成果的一个学习报告。水平有限,理解和解读可能有误,欢迎读者批评指正。
本文将要强调的核心观念,在我们讲授《电磁学》和《电动力学》课时一般都会被忽略。正是注意到了这个非常不寻常的忽略,促使笔者特别跳出来赶蹭当前热点,借对王院士工作的解读,来促进和推动大家关注和讨论这个甚为重要的观念。它会对电磁场特性的理解,及我们中学和大学的《电磁学》乃至《电动力学》课的教学有所促进。
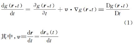
王院士“拓展”[1]的核心是两点:①将原来介质中麦克斯韦方程组里的时间微商dt推广为针对运动介质的Dt;②在电位移矢量中的极化强度项之外增加了新的极化项Ps。本文只讨论对第①点的理解,它是王院士文章第4页和第5页重点讨论的内容。
先直奔结论:笔者认为①的拓展实际上是在讨论“运动的电磁场”!
更图像化一些,讨论的是“运动的电力线和磁力线”,简称“运动的场线“。具体体现为:这是在研究一个在空间中随时间运动的场点r=r0(t)+rV(这是王院士文章中的表达式)处,在某个时刻t的电磁场E(r,t)和B(r,t),这里r和r0(t)分别是在介质运动的参考系中坐标原点到介质上某点和介质的质心的距离,rV是介质质心到介质上的那个点的距离,rV在非相对论近似下,在介质运动和静止参考系看是相同的。由于在这里r是随时间变化的,和我们通常习惯讨论的不随时间运动、在空间固定的场点(也就是坐标不依赖于时间变量)是不一样的。正是因为这个场点r是固定在王院士文中所讨论的运动的刚性介质上的某个点,它随着介质运动而运动。既然我们要讨论的是运动的介质,这个场点的运动是不可能避免的。也就是因为这个运动的场点,如王院士文章中的公式(14)所表达的,对任意一个在这样的运动场点上的场g(r,t),其时间变化率实际就是如下Dt的变化:

公式(1)表达的即是王院士成果里的拓展①。它的解读是说:当考虑运动的场点时,场点的运动会对场随时间的变化产生额外新的贡献,这个贡献即是公式(1)中间的第二项———由速度点乘对场的空间微商构成的所谓“王项”(Wang term)。
特别要强调一下,对“运动的电磁场”有两种理解:第一种是通过上面介绍的运动着的场点来实现的;第二种,也是很多人平常所理解的:认为只要场显含时间,即使场点固定不动(r不含时间),也称其为是运动的。我们通常说电磁波代表运动的电磁场所指的就是这种情形。本文所说的运动的电磁场特指第一种情形,不是第二种情形!
遗憾的是,在电磁学和电动力学里是不存在“运动的电磁场”或“运动的场线”的概念的!(再次强调是指上面说的第一种,即通过运动的场点所产生的运动,而不是场对时间的显式依赖所产生的运动)这一点,虽然在通常的《电磁学》和《电动力学》的教科书里很少提及,但诺贝尔物理学奖获得者费曼在其著名的三卷本《费曼物理学》讲义第二册第一章第5节谈“场是什么”时给予了特别强调,后面又在第二十六章第2节对此再度更仔细地讨论。为方便读者,我们把费曼对“运动的磁力线”不存在的论述在此摘录如下:“假定你最后已能够成功地用某种线或某种通过空间运转的齿轮构成一幅关于磁场的图像;然后,你尝试说明两个以相同速率互相平行地在空间运动的电荷所发生的情况。既然它们在运动,那么它们就将起两个电流一样的作用,并会有磁场和它们联系在一起。可是,一个跟随这两个电荷做曲线运动的观察者将会把它们看作是静止不动的,从而会说那里没有磁场。当你随同物体一道运动时,就连“齿轮”或“线”也都消失不见了!上面我们所做的只是为了想出一个新问题。那些齿轮怎么能消失呢?那些画场线的人们也陷入了同样的困境。不仅不能说明场线是否随着电荷一起运动,而且在某些参考系中这些场线可能完全消失。”[2]
如果承认费曼关于运动的场线不存在的观念,那我们又该怎样描写运动介质所感受到的电磁场呢?结论是:使用场和时空坐标在不同参考系之间的变换,即我们熟知的洛伦兹变换。针对王院士的工作,业界的非议所参考比较多的文章[3]就是采用变换来进行讨论的。这个变换又是如何得到的呢?答案是:相对性原理。要求麦克斯韦方程组在所有惯性系都形式相同,反过来可以推导出电磁场在不同惯性系之间的洛伦兹变换关系。当然,如果两个惯性系之间的相对运动速度远小于光速,如王院士所讨论的介质非相对论运动的情形,这个洛伦兹变换就退化为牛顿力学的伽利略变换。由此我们得到的结论是:在经典电磁学和电动力学中,运动的电磁场并不存在,存在的是固定站在运动介质身上(也就是介质静止)的参考系,在这个参考系里的电磁场是介质所真实感受到的电磁场,它需要通过场和场所在的时空点的洛伦兹变换(或低速下的伽利略变换)来从介质运动的参考系变换得到。这个通过参考系变换得到运动物体上场的方法是被当今物理学所公认的。这也是为什么很多做物理学研究的人不太愿意去讨论这事的一个原因,因为他们认为这只不过是一个不太提得起兴趣的参考系变换的习题型问题,虽然有可能十分复杂。这个复杂性也正是王院士在文章中所强调的:当几块介质相互之间有相对运动时,我们找不到一个能让所有介质都静止下来的参考系。如果坚持采用参考系变换来进行讨论,就只得分别针对各个介质身上的场通过变换变来变去,十分地麻烦,而且这还只能限于相对运动是匀速的情况,因为我们所采用的洛伦兹变换和伽利略变换只适用于匀速运动情形。从这个角度,在采用参考系变换的体系里,构造运动介质上的协变的麦克斯韦方程组就变得十分重要了,因为它会使得在哪个惯性参考系的方程组的形式都是完全一样的,这会大大方便计算。
站在拓展麦克斯韦方程组的立场,即便运动的场线不存在,如果我们坚持把dt换为Dt,即坚持采用前面提到的运动的场线观念进行讨论,除了费曼讲义中所指出的不自洽之外,又会怎样?
这时就会出现两种在运动介质上看到的场:一种是通过参考系变换所得到的场,另一种就是前面提到用运动的场线观点得到的场。两者如果结果相同则皆大欢喜,不同看法殊途同归;两者如果结果不同,则按照当今物理学界公认的观念,大家一般都会选择前者。
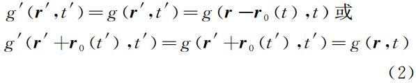
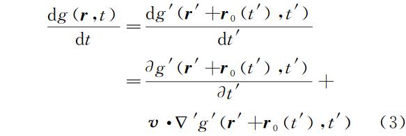
什么情形下两者结果相同?又是什么情形,两者结果不同呢?答案是,当做变换的场是参考系变换的标量时,两者结果是相同的(在非相对论伽利略变换的意义上)。这时的场线本身是刚性不变的(因而这时确实存在场线的图像),它的运动就有自然的图像。只要在一个惯性系里它不为零,则在所有其他惯性系里都不会为零,因此不会出现费曼所指出的那种变为零消失没有的情况。在这种情形下,我们若把公式(1)改为参考系变换的写法,就是:在介质运动的参考系里的坐标取为r,时间取为t;在介质静止的参考系里坐标则是r'≡rV=r-r0(t),时间是t'=t。这时标量场g(可以看成是场强的任意一个分量)的伽利略变换则为:

因此:

公式(3)即是在运动的场线观点下给出的公式(1)改在参考系变化观点下的表达公式,它正是Dt的变化。
而对电磁场的场强,电动力学告诉我们它们在参考系变换下并不是按照标量、而是按照二阶张量来变换的,在低速的情形,
对这种场,强行采用运动的场线观念,从洛伦兹变换或退化的伽利略变换的角度看,相当于丢掉了场的变换,也就是丢掉了式(4)中两个公式等号右边的第二项速度和场的叉乘项,只考虑了时空坐标的变换。丢掉第二项的式(4)等价于把电磁场的场强看成是在参考系变换下的不变量,也就是标量,对应公式(2)和(3)中的g'(r',t')=g(r',t')。这样得到的结果显然与不丢掉第二项的通过洛伦兹变换或伽利略变换得到的结果是不一样的。
当通过变换得到的运动介质上的电磁场,和由运动的场线观念得到的运动介质上的电磁场不一样时,究竟哪种结果代表真实的物理?最终当然还是需要实验来佐证。我们前面说当今物理学界及教科书里都是选择前者,这应该是为大量的实验事实所支持的,这种情形下后者给出的电磁场就不再代表在介质上所真实感受到的电磁场了。
如果后者真的在某种情形下确被实验检验是对的,那么它意味着在这种特定情形下通过参考系变换给出的电磁场不再代表在介质上所真实感受到的电磁场!同时也意味着本文前面提到的笔者在知识分子公众号上文章的三条精选回复中获点赞数最高的那条所阐述的另一个基本电磁学观念也不再是对的。这个观念是:介质不管运动与否,其对麦克斯韦方程组的贡献都必须是通过介质身上的电荷和电流来实现的(据此观念,法拉第电磁感应定律,因为不依赖非磁单极类型的电荷电流源,和介质存在与否、运动与否无关,因此不应进行修改。换句话说就是法拉第电磁感应定律中的dt不能被拓展为Dt)。这些在观念上如此根本性的改变,如果真的在我们所生活的现实世界中发生并被观测到,无疑将是基础物理学当之无愧的重大突破。
当然,也可以通过把电磁场的变换考虑进王院士的拓展,使之变得与参考系变换的结果完全一样,来克服运动的场线要求场是标量的缺陷。只是这样的修改就偏离了运动的场线的原始初心和理念,因为这时整个图像变成场线不再是刚性的,它不止在运动,还在“改头换面“,甚至如费曼所指出的,有可能消失!个人认为,这样做也许不失为一种在工程应用上方便的处理方法。只是那样的话,麦克斯韦方程组也许就像文献[3]及以往专家们所讨论的,不再需要修改,因为这时的dt到Dt的拓展会被场的变换所抵消[4],再用拓展这个词来描述此方法似乎就不太合适了。
致谢:感谢王雯宇教授对本文的有益讨论。
参考文献
[1] WANG Z L. On the expanded Maxwell's equations for moving charged media system—General theory, mathematical solutions and applications in TENG[J]. MaterialsToday,2021.
[2] 费恩曼,莱顿,桑兹. 费恩曼物理学讲义[M]. 第 2卷. 上海:上海科学技术出版社,2015.
[3] 王雯宇,许洋. 运动介质洛伦兹协变电磁理论[J]. 物理与工程,2018,28(2) WANG W Y, XU Y. Lorentz covariant form of electromagnetism in the moving media[J]. Physics and Engineering,2018, 28(2) [4] 杰克逊. 经典电动力学[M]. 影印本. 北京:高等教育出版社,2004:209-211.
作者简介: 王青,男,教育部高等学校大学物理课程教学指导委员会主任,教育部义务教育物理课程标准修订组成员,清华大学物理系教授,主要从事理论物理的科研和教学工作,研究方向为量子场论与基本粒子理论,wangq@mail.tsinghua.edu.cn。
引文格式: 王青. 理解王中林院士“拓展的麦克斯韦方程组”[J]. 物理与工程,2022,32(2) :网络首发.
Cite this article: WANG Q. Understanding academician Zhonglin Wang's “Expanded Maxwell equations”[J]. Physics and Engineering,2022, 32(2) : online first. (inChinese)
END

更多精彩文章请点击下面“蓝字”标题查看:
“碰瓷”麦克斯韦:伽利略协变和洛伦兹协变电磁场论趣谈热点:运动介质洛伦兹协变电磁理论2021年《物理与工程》优秀论文、优秀审稿专家、优秀青年学者名单王青教授在2021年全国高等学校物理基础课教育研讨会开幕式上的致词2021年全国高等学校物理基础课程教育学研讨会 会议纪要会议延期│中国大学物理教育MOOC联盟2021年工作会议(扩大)延期通知王青教授:源自苏格拉底的问题驱动式教育——在互动中共同学习和成长读后感:教育中的现实和远方王青教授:昨晚(6月9日),清华电动力学期末考试朱邦芬院士:“减负”误区及我国科学教育面临的挑战乐永康:新冠肺炎疫情防控下美国物理实验教学及中美情况对比王青,郭应寿:清华大学《费曼物理学II》和《电动力学》混合式线上教学实践《物理与工程》2021年第2期目录《物理与工程》2021年第1期目录《物理与工程》2020年第6期目录顾牡:对于重新制定的《非物理类理工学科大学物理课程教学基本要求》的认识和体会朱邦芬院士:从基础科学班到清华学堂物理班朱邦芬院士:对培养一流拔尖创新人才的思考李学潜教授:物理是一种文化李学潜教授:如何帮助物理系学生迈过从高三到大一这个坎穆良柱:物理课程思政教育的核心是科学认知能力培养穆良柱:什么是物理及物理文化?穆良柱:什么是ETA物理认知模型穆良柱:什么是ETA物理教学法吴国祯教授:我的国外研究生经历印象——应清华大学物理系“基科班20年·学堂班10年纪念活动”而写
陈佳洱,赵凯华,王殖东:面向21世纪,急待重建我国的工科物理教育王亚愚教授:清华物理系本科人才培养理念与实践葛惟昆教授:关于中外人才培养的几点思考安宇教授:为什么传统的课堂讲授模式需要改变安宇教授:其实教学就是积累的过程刘玉鑫教授:关于本科生物理基础课程教学和教材编著的一些思考沈乾若:重创理科教育的美加课程改革Henderson C:美国研究基金支持下的物理教育研究及其对高等物理教育的影响《物理与工程》期刊是专注于物理教育教学研究的学术期刊,是中国科技核心期刊,1981年创刊,欢迎踊跃投稿,期刊投审稿采编平台:
http://gkwl.cbpt.cnki.net
欢迎关注
《物理与工程》微信公众号
原标题:《理解王中林院士“拓展的麦克斯韦方程组”》