原创 郑华 王新刚 等 物理与工程
摘要
维度是物理学习和研究中的一个重要概念。在处理复杂物理问题时,通常采用降维的方法对问题进行简化,进而在低维空间中对简化后的问题进行分析和求解。然而在面对具体物理问题时,有时候增加系统的维度反而会使问题的分析变得更加直观和简单。本文以几个具体的物理问题为例,展示如何通过提升系统的维度来有效解决低维中遇到的一些困难。本文旨在强调“降维打击”思想在物理教学中的意义,目的在于培养学生的发散思维能力。
关键词降维打击;高斯积分;矩阵行列式;谐振子;生成函数
AbstractDimension is an important concept in physics learning and research. In dealing with complicated physical problems, dimensionality reduction methods are often used to simplify the problem, so as to analyze and solve the simplified problem in a low dimensional space. However, when faced with specific physical problems, sometimes increasing the dimensions of the system can make the problem become more intuitive and simpler. This paper takes several specific physical problems as examples such as Gaussian integral, determinant calculation, normalizing the eigenstates of the harmonic oscillator in quantum mechanics, and generating functions of special functions, to demonstrate how to effectively solve the difficulties encountered in low dimensional teaching by improving the dimensions of the system. The purpose of this paper is to emphasize the significance of the concept of “dimension reduced strategy” in physics teaching, and cultivate students divergent thinking abilities.
Key wordsdimension reduced strategy; Gaussian integral; determinant of a matrix; harmonic oscillator; generating function
科幻作家刘慈欣的代表作《三体》一书中,“降维打击”是指外星人将太阳系由三维空间降至二维空间的一种攻击方式。《三体》小说和与之相应的影视作品让“降维打击”这一名词被大家所熟知。这一概念也被人们在生活中使用,表明碾压式的优势。在教学过程中,如果能将具体问题与这种时髦且大家耳熟能详的概念结合,势必能引起学生的兴趣与共振,助力课堂教学。
分析力学比牛顿力学优越的地方之一是引入了抽象的广义坐标的概念,并与系统自由度相对应。实际是一种抽象维度的概念。在物理学中,有很多问题实例涉及维度的概念,由于有些老师在授课中只是具体问题具体分析,同时学生局限于对知识深度的认知,学生未能理解这一类问题的联系或对这类问题形成比较清晰的认识。本文的目的就是通过具体实例凝练出物理学中“降维打击”这一概念,培养学生的发散思维能力,同时在物理学教育同行中起到抛砖引玉的作用。
一般而言,在处理复杂物理问题时,为简化问题,人们都是把高维问题向低维转化,即降维,使得问题能得到解决,例如物理学中的质点近似、抓主要矛盾忽略次要矛盾等思想。但对有些具体问题时,处理方式却恰好相反,是将问题向高维度转化从而使低维问题得解。虽然听上去有些奇怪,但逻辑上是完全可行的,高维比低维包含更多的信息,有可能将在低维上看不清或解决不了的问题给出答案。这个操作实际是升维,但升维的目的是解决低维的问题。针对上面提及的两种改变维度的做法,笔者认为,“降维打击”这一概念都是适用的。以此为契机,本文将以物理学中常见的几个问题:高斯积分、两个矩阵乘积的行列式等于两个矩阵行列式的乘积、量子力学中一维谐振子波函数的归一化、物理学中常用的特殊函数或多项式的生成函数,展示在同维度的情况下难以解决的问题,可以通过变换一种思维方式,将问题向高维度转化从而使问题能得以解决。在物理学教学中明确提出“降维打击”这一概念,给学生种下发散思维的种子,以期提高学生的创新、思辨等能力。
1 高斯积分
在文献[1]中,作者对物理学中常用的高斯及类高斯型积分进行了详述。作者也正是在文献[1]中开始提及在当前维度下如果解决不了问题时,可以发散性的将问题向高维转化的这种想法。此为本文中强调的物理学中“降维打击”这一概念的萌芽。
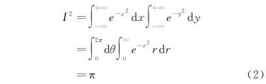
物理学中非常重要的高斯积分为


整个计算过程的关键是将高斯积分转化成二维积分,即对问题进行升维,借助高维的优势(此具体问题是能解析积分),完成对低维问题的求解。
高斯积分仅仅是积分类问题中的一个特例,更典型的是利用留数定理去计算一维实函数积分,这一过程是将一维积分转化成二维复平面空间中的积分。
2 两个矩阵乘积的行列式等于两个矩阵行列式的乘积
矩阵在物理学与数学问题中均被广泛地应用。矩阵非常重要的性质之一是两个矩阵乘积的行列式等于两个矩阵行列式的乘积,即
作为矩阵这一性质的特例,在量子力学的矩阵表示中,如果存在两个力学量算符彼此对易,则这两个力学量算符具有共同的本征函数系,这两个力学量的矩阵表示能同时对角化[2,3]。在他们的本征表象中,两个力学量的矩阵表示是对角化的,完全满足式(4)。作为对式(4)的一般性证明,线性代数书上是通过构造更高维度的分块矩阵,使矩阵A,B分别是对角线上的分块矩阵[4]。此证明为线性代数书中的标准过程,在此我们不再重复。我们强调的是一般性证明中运用的“降维打击”的思维方式。
3 一维谐振子波函数的归一化
一维谐振子是量子力学中少数几个可以精确求解的量子力学系统之一,是量子力学教学中必讲的重点内容[2,3]。在本科量子力学教学过程中,对于一维谐振子波函数的归一化是值得讨论的。一维谐振子波函数为
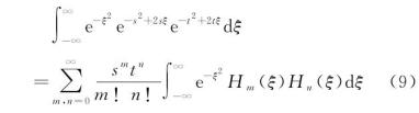
其中,Nn 为需要计算的归一化常数,Hn(ξ)为厄米多项式[5-7]。按照波函数的概率解释,波函数的归一化条件给出

由于厄米多项式是随 n 变化的,显然,对于每一个具体的 n 值去计算相应的归一化常数是不可取的。如何计算归一化常数 Nn 的通用表达式呢?不同的教科书给出的方案可能不一样,但均利用了厄米多项式的生成函数


对比式(7)与式(10),即得一维谐振子本征波函数的归一化系数的通用表达式。回顾整个过程,非常关键的一步是引入厄米多项式的生成函数式(8)。但生成函数 F(ξ,s)的自变量比厄米多项式 Hn(ξ)的自变量多 1,从一个自变量代表一个维度的角度,此过程即为典型的“降维打击”。同时这个例子也代表了一类问题,即在计算特殊函数或多项式的某些通式时,需要用到“降维打击”的思想。
4 物理学中常用的特殊函数的生成函数
物理学中经常会用到一些特殊函数或多项式,比如上一节中的厄米多项式,勒让德多项式等。在上一节中讨论的厄密多项式的生成函数并不是孤例,而是物理学中常用的这些特殊函数或多项式均存在生成函数[9]。下面写出几个实例:
1) 伯努利多项式
的生成函数为



5 结语
在处理具体物理问题时,有时候需要“变多为少”,对系统进行降维;而有的时候则需要“变少为多”,对系统进行升维。那么什么时候该“降”,什么时候该“升”呢?降维的意义和应用场景在当前物理教材中已描述得很详细,这里不再赘述。以文中所举的几个例子而言,笔者认为以下几种情况下可以考虑升维:(1)当在低维空间中进行数学分析遇到困难时,如高斯积分;(2)当系统的行为和特征在低维空间中看不清楚时,如矩阵行列式性质的一般性证明;(3)当需要写出系统不同状态下的通项公式时,如波函数的归一化系数和特殊函数的生成函数。当然,在处理具体物理问题的时候,如何升维以及升维多少又是另外两个非常关键的问题,其解决方案依赖于对物理问题的深刻认识,有时也依靠直觉和运气。
本文通过讨论物理学中对维度改变求解问题的现象,明确地将“降维打击”这一概念引入物理学教学过程中,给学生种下发散思维的种子,以期提高学生的创新、思辨等能力,同时在物理学教育同行中起到抛砖引玉的作用,助力课堂教学。
参考文献
[1]王蒙,陶俊琦,程剑剑,等. 物理学中常用的高斯与类高斯型积分 [J]. 大学物理,2021,40(5): 13-19.
WANG M, TAO J Q, CHENG J J, et al.Gaussian and Gaussian-like integrals in physics[J]. College Physics, 2021, 40(5): 13-19. (in Chinese)
[2]曾谨言. 量子力学(卷一,卷二)[M]. 北京:科学出版社, 2013.
[3]周世勋. 量子力学教程[M]. 北京:高等教育出版社,2009.
[4]同济大学数学系. 线性代数[M]. 北京:高等教育出版社,2007.
[5]倪致祥. 厄米本征值问题的探究[J]. 大学物理,2008, 27(2): 39-41.
NI Z X. Explorating for the Hermite eigenvalue problem[J]. College Physics, 2008, 27(2): 39-41. (in Chinese)
[6]胡先权,王帮美. 也谈厄米多项式的递推关系[J]. 大学物理,2009,28(6): 22-23.
HU X Q, WANG B M. Discussing on the recurrence relation of the Hermite polynomial also[J]. College Physics, 2009, 28(6): 22-23. (in Chinese)
[7]吴崇试. 厄米多项式的定义及其他[J]. 大学物理,2010,29(3): 14-15.
WU C S. Two kinds of the Hermite polynomials[J]. College Physics, 2010, 29(3): 14-15. (in Chinese)
[8]ARFKEN G B, WEBER H J, HARRIS F E. 物理学家用的数学方法[M]. 北京:世界图书出版公司,2014.
[9]王竹溪. 特殊函数概论[M]. 北京:科学出版社, 1963.
基金项目: 国家自然科学基金(11905120)与中央高校基本科研业务费专项(GK202202003)资助。
通讯作者: 郑华,男,陕西师范大学研究员,主要从事粒子物理与原子核物理理论研究,zhengh@snnu.edu.cn。
引文格式: 郑华,王新刚,朱励霖. 物理学中的“降维打击”[J]. 物理与工程,2023,33(3):46-48,63.
Cite this article: ZHENG H, WANG X G, ZHU L L. Solving physical problems in higher dimensional space[J]. Physics and Engineering, 2023, 33(3):46-48,63. (in Chinese)
END

中国大学物理教育MOOC联盟2023年工作会议(扩大)暨典型案例交流会 会议纪要花絮︱中国大学物理教育 MOOC 联盟 2023 年工作会议(扩大)暨典型案例交流会准备就绪,静待您来!中国大学物理教育 MOOC 联盟 2023 年工作会议(扩大)暨典型案例交流会即将开幕2023年全国高等学校物理基础课程教育学术研讨会 会议纪要2023 年全国高等学校物理基础课程青年教师讲课比赛在喀什大学举办全国大学物理实验教学对口支援(智力援疆)研讨会在新疆师范大学举办王青教授:理解王中林院士“拓展的麦克斯韦方程组”“碰瓷”麦克斯韦:伽利略协变和洛伦兹协变电磁场论趣谈热点:运动介质洛伦兹协变电磁理论2021年《物理与工程》优秀论文、优秀审稿专家、优秀青年学者名单王青教授:源自苏格拉底的问题驱动式教育——在互动中共同学习和成长读后感:教育中的现实和远方王青教授:昨晚(6月9日),清华电动力学期末考试朱邦芬院士:“减负”误区及我国科学教育面临的挑战《物理与工程》2023年第2期目录乐永康:新冠肺炎疫情防控下美国物理实验教学及中美情况对比顾牡:对于重新制定的《非物理类理工学科大学物理课程教学基本要求》的认识和体会朱邦芬院士:从基础科学班到清华学堂物理班朱邦芬院士:对培养一流拔尖创新人才的思考李学潜教授:物理是一种文化李学潜教授:如何帮助物理系学生迈过从高三到大一这个坎穆良柱:物理课程思政教育的核心是科学认知能力培养穆良柱:什么是物理及物理文化?穆良柱:什么是ETA物理认知模型穆良柱:什么是ETA物理教学法吴国祯教授:我的国外研究生经历印象——应清华大学物理系“基科班20年·学堂班10年纪念活动”而写
陈佳洱,赵凯华,王殖东:面向21世纪,急待重建我国的工科物理教育王亚愚教授:清华物理系本科人才培养理念与实践葛惟昆教授:关于中外人才培养的几点思考安宇教授:为什么传统的课堂讲授模式需要改变安宇教授:其实教学就是积累的过程刘玉鑫教授:关于本科生物理基础课程教学和教材编著的一些思考沈乾若:重创理科教育的美加课程改革Henderson C:美国研究基金支持下的物理教育研究及其对高等物理教育的影响《物理与工程》期刊是专注于物理教育教学研究的学术期刊,是中国科技核心期刊,1981年创刊,欢迎踊跃投稿,期刊投审稿采编平台:
http://gkwl.cbpt.cnki.net
欢迎关注
《物理与工程》微信公众号
原标题:《物理学中的“降维打击”》