原创 林泽芸 叶沛林 等 物理与工程
摘要
基于单光束干涉和一般的双光束干涉全息照相实验,本文设计了一种反射透射混合型双光束干涉光路,从理论上分析了两束物光与一束参考光干涉叠加后在全息干板上的强度分布情况,通过对照实验:拍摄只有反射物光的单光束干涉光路、只有透射物光的单光束干涉光路、反射透射混合型双光束干涉光路的全息图,对比分析成像效果,结果表明本文设计的光路拍摄得到的全息图成像更完整、更清晰、层次感更强;并进一步通过控制变量法,改变不同的影响因素,进而提高全息图的成像质量。经过多次探究,结果表明,当使用 GS-I 型全息干板,使用功率约为2.23mW、波长为632.8nm的氦氖激光器拍摄全息图时,控制曝光时间为15s,反射物光与参考光之间的夹角为25°~35°,透射物光与参考光之间的夹角为20°~30°,反射物光、透射物光与参考光的光强比约为1∶1∶1,全息图整体成像效果最佳。
关键词全息照相;双光束干涉;混合型双光路;成像效果
Abstract Based on single beam interference and general double beam interference holography experiments, this paper designs a hybrid double beam interference optical path with both reflection light and transmission light, and theoretically analyses the intensity distribution of interference superposition of two beams of object light and one beam of reference light on the holographic dry plate. Shooting holograms of single beam interference optical path with only reflector light, single beam interference optical path with only transmission light, and hybrid double beam interference optical path with both reflection light and transmission light, the imaging effects are compared and analyzed. The results show that the holograms taken by the optical path designed in this paper are more complete, clearer, and more hierarchical. Furthermore, different influencing factors are changed through the control variable method to improve the imaging quality of the hologram. After many experiments, the results show that when the GS-I holographic dry plates and a He-Ne laser with power of about 2.23mW and wavelength of 632.8nm are used to take the hologram, the exposure time is controlled to be 15s, the angle between the reflector object light and the reference light is 25 °~35 °, the angle between the transmission object light and the reference light is 20 °~30 °, and the light intensity ratio of the reflector object light, the transmission object light and the reference light is about 1∶1∶1, the overall imaging effect of the hologram is the best.
Key words sholography; double beam interference; hybrid dual optical path; imaging effect
1 基本原理与设计目的
由物体发出的光携带有物体空间结构和颜色信息,在其传播过程中形成了所谓“波前”,只要把这个波前记录下来,并设法让其重现,就可以进行三维显示,这就是基于波前再现的三维显示,全息照相技术正是运用了该原理进行成像的[1]。全息照相利用参考光与物光产生干涉,以干涉条纹的形式把物光的全部信息记录下来,包括振幅和相位。当用原参考光照射全息图时,透过全息图能在原放置物体的位置看到与原物体一样的三维立体像[2]。
在单束物光与参考光干涉的基础上,为了使全息图承载更丰富更完整的光信息,可以用两束物光与一束参考光进行干涉,成像效果更清晰立体[3]。大多数双光束干涉光路采用两束透射物光或者两束反射物光,这样的光路只能用于拍摄可透光物体或者不可透光物体。若想要拍摄既有可透光部分又有不可透光部分的物体时,例如:因受损变质导致部分不可透光的透明历史文物,上述的双光束干涉光路都不适用。因此,本文设计了一种反射透射混合型双光束干涉光路来拍摄全息图,实现同时拍摄反射与透射的全息照相,记录更全面的物体信息。
2 双光束干涉理论分析
2.1 干涉条纹记录分析
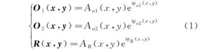
设 xy 平面为感光板平面,O1表示物光1的一个点光源,O2 表示物光2的一个点光源,R 表示参考光的点光源,它们在感光板平面上任一点(x,y)的复振幅分别为

已知只有一束物光和参考光发生干涉时,在记录平面 (x,y)点上干涉叠加后的光强为[4]

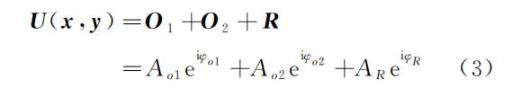
当有两束物光与参考光发生相干叠加时,这三束光波叠加后的复振幅为

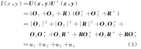
那么,在记录平面 (x,y) 点上干涉叠加后的光强为

其中,

式(4)反映了干涉场叠加后的光强分布,其中含有关于振幅和相位的信息。等式右边第一项u1为两束物光和参考光的光强,对感光板平面上任一点为常数,提供了均匀分布的背景光强。后面三项均为干涉项,分别反映了两相干光的振幅和相对位相的关系,可以看出,第二项u2记录了两束物光相干叠加的信息;第三项u3对应的是物光1和参考光相干叠加的信息;第四项u4对应的是物光2与参考光相干叠加的信息。可见在底片上,干涉图样将物光波的振幅和相位两种信息全部记录下来。
2.2 物像再现分析
通过控制变量,使感光板的曝光和显影定影都控制在记录介质的 t-H 曲线(振幅透过率 t 随曝光量 H 变化关系曲线)线性部分上,则感光板上各点的振幅透过率与光强呈线性关系[5]
再现时所用的照明光波表示为 R′=A′Reiφ′ ,则衍射场可以表示为

其中,
将系数T看作一种变换、操作,若 Ti 使原物光波的形态“面目全非”,则得不到物像。讨论T1:参考光R经过扩束器后近似为傍轴球面波,则 A≈C (C为常数),对于两个物光波的自相干场O1和O2,严格来说其振幅不是均匀的,但其主要成分是“低频”的,且振幅相对较弱;在观测时间t内,对2Ao1Ao2cos(φo1-φo2)积分可得到一个趋于0的结果,因此,操作因子T1作用后,可视为一种“噪声”。则T1R′项表示照明光波的直接透射波,比例系数的改变不会改变其主要特征,只是振幅受到调制。
讨论T2及T3:当再现时所用光源与原参考光相同时,T2也可以视为一个常数
也就是说,T2O1项和T2O2项表明了原物光波的真实再现,若迎着原物光波方向观察,可以看到物像。同理,对于T3

由于O*1和O*2项代表物光波的共轭波,而上式中的相因子与原物光波的相因子有所不同,操作因子T3作用后,物光共轭波的相位发生变化,则物像的位置也发生变化,物像发生偏移。因此,T3O*1项和T3O*2项再现的是由物光波形成的有整体偏移的共轭像。
3 光路设计与探究
3.1 光路设计
设计光路时,需要考虑的因素包括:
(1) 对于混合型的被摄物,不能采用一般单光束干涉的光路来拍摄全息图;
(2) 为了保证照明的质量,设计光路时应尽量避免大角度反射;
(3) 考虑到干涉条件,物光和参考光的夹角、光强比、光程差应符合相干条件及干板记录条件[6];
(4) 光路设计不应过于紧凑,同时考虑扩束器的位置,避免过多遮挡光源,影响拍摄成像效果。
3.2 探究方案
在设计的反射透射混合型双光束干涉光路上,使其中的透射光主要经过被摄物的可透光部分,反射光以较小入射角照亮被摄物的不可透光部分表面,实现双光束干涉,完整记录下被摄物的所有信息,经过曝光、显影、定影、烘干等一系列操作,得到全息图,用原参考光再现观察物像。另外,设计对照实验一:在原设计的光路的基础上,挡住透射光,使只有一束反射物光与参考光进行干涉叠加,拍摄全息图,方法同上,各参数保持一致;设计对照实验二:在原设计的光路的基础上,挡住反射光,使只有一束透射物光与参考光进行干涉叠加,拍摄全息图,方法同上,各参数保持一致。对比分析三个光路所拍摄的全息图的成像效果。
在初步对比分析的基础上,通过控制变量,改变其他影响因素,如曝光时间、光强比、物光与参考光的夹角等[7],多次拍摄全息图,根据成像效果找到最佳拍摄条件组合。
3.3反射透射混合型双光路
考虑上述因素,初步设计出反射透射混合型双光路,并通过实验,不断调整、优化光路,最终得出如图1所示光路:(注:图中未画出三个扩束器所在的位置)。

4 实验结果
4.1 混合型双光路拍摄与对照实验的比较
如图2所示,图(a)为被摄物体,选用带有花纹的硬币及可透光的浮雕花朵组合作为拍摄物,这两部分物体的材质不同,分别对应被摄物的不可透光与可透光部分。
图(b)反映对照实验一,在只有反射物光作用的光路中,被摄物只有不可透光的硬币可以看到清晰物像。对可透光的浮雕花朵,大部分照明光透射过去,只有极少部分光经过反射到达干板,成像效果差。图(c)反映对照实验二,在只有透射物光作用的光路中,被摄物只有可透光的浮雕花朵可以看到物像,而不可透光的硬币看不到物像,丢失了硬币的信息。
图(d)为本实验设计的反射透射混合型双光路拍摄的全息图,可以清晰看到整个被摄物的像,无论是可透光部分还是不可透光部分,其轮廓和图案都比只有单光路拍摄的效果更清晰、更立体,层次感更强,保留更多细节。

综合上述分析,对于拍摄可透光与不可透光混合型物体的全息图,用单光束干涉的光路拍摄的全息图物体信息记录不全面,成像不完整;而用反射透射混合型双光路拍摄的全息图质量好,成像效果佳,立体感更强,尽可能保留了物体的全部信息,适合用于拍摄既有可透光部分又有不可透光部分的物体,特别是对于拍摄由于损坏变质导致部分不可透光的透明历史文物具有重要的意义。
4.2 其他影响因素的作用效果
(1)拍摄不同材质的物体所需的曝光时间一般不同,因此,笔者通过大量实验,分析并寻找可透光部分和不可透光部分成像效果均最佳时所需的曝光时间。本实验使用 GS-I 型全息干板作为记录介质,使用功率为2.23mW,波长为632.8nm的氦氖激光器,当曝光时间为15s时,全息图的质量最佳。(2)物光和参考光的夹角作为影响成像效果的重要因素。实验探究发现,当透射物光与参考光的夹角为20°~30°、反射物光与参考光的夹角为25°~35°时,成像效果最佳。(3)全息图的成像质量还与物光和参考光的光强比有关,实验探究发现,当反射物光、透射物光、参考光的光强比约为1∶1∶1时,全息图的质量最佳。在本实验中,选用不同分光比的分光镜,上述图1中,选用分光镜1的分光比为T∶R=7∶3,分光镜2的分光比为T∶R=5∶5,即三路光的分束比为3∶3.5∶3.5,近似看成1∶1∶1。
本实验使用 GS-I 型全息干板作为记录介质,当改用其他记录介质时,根据干板和实际光源的特征,曝光时间需要稍作调整。
5 结语
基于传统的单光束干涉和一般的双光束干涉全息照相,本文设计了一种新型的兼具透射与反射的双光束干涉混合型光路,用以实现对同时具备可透光与不可透光两个部分的物体的全息图拍摄,使物体两个部分均能完整且立体地呈现,全息像整体轮廓更分明、层次感更强,细节更丰富;通过光场理论分析和大量的实验探究,不断提高全息图的成像质量,当透射物光与参考光的夹角为20°~30°,反射物光与参考光的夹角为25°~35°,反射物光、透射物光与参考光的光强比约为1∶1∶1时,全息图整体成像效果最佳。
参考文献
[1]王辉. 波前再现三维显示[M]. 北京: 科学出版社, 2016.
[2]边伟. 透射式与反射式全息照相研究[J]. 科技视界,2014,(1):170.
作者简介: 彭军,女,广州大学高级实验师,主要从事近代物理实验、光电技术实验工作,研究方向为光学、物理实验, speepengjun@gzhu.edu.cn。
引文格式: 林泽芸,叶沛林,余俊龙,等. 混合型双光束干涉全息照相的设计与探究[J]. 物理与工程,2023,33(2):143-146,151.
Cite this article: LIN Z Y, YE P L, YU J L, et al. Design and research of hybrid double beam interference holography[J]. Physics and Engineering, 2023, 33(2):143-146, 151. (in Chinese)
END

更多精彩文章请点击下面“蓝字”标题查看:
中国大学物理教育MOOC联盟2023年工作会议(扩大)暨典型案例交流会 会议纪要花絮︱中国大学物理教育 MOOC 联盟 2023 年工作会议(扩大)暨典型案例交流会准备就绪,静待您来!中国大学物理教育 MOOC 联盟 2023 年工作会议(扩大)暨典型案例交流会即将开幕2023年全国高等学校物理基础课程教育学术研讨会 会议纪要2023 年全国高等学校物理基础课程青年教师讲课比赛在喀什大学举办全国大学物理实验教学对口支援(智力援疆)研讨会在新疆师范大学举办王青教授:理解王中林院士“拓展的麦克斯韦方程组”“碰瓷”麦克斯韦:伽利略协变和洛伦兹协变电磁场论趣谈热点:运动介质洛伦兹协变电磁理论2021年《物理与工程》优秀论文、优秀审稿专家、优秀青年学者名单王青教授:源自苏格拉底的问题驱动式教育——在互动中共同学习和成长读后感:教育中的现实和远方王青教授:昨晚(6月9日),清华电动力学期末考试朱邦芬院士:“减负”误区及我国科学教育面临的挑战《物理与工程》2023年第1期目录乐永康:新冠肺炎疫情防控下美国物理实验教学及中美情况对比顾牡:对于重新制定的《非物理类理工学科大学物理课程教学基本要求》的认识和体会朱邦芬院士:从基础科学班到清华学堂物理班朱邦芬院士:对培养一流拔尖创新人才的思考李学潜教授:物理是一种文化李学潜教授:如何帮助物理系学生迈过从高三到大一这个坎穆良柱:物理课程思政教育的核心是科学认知能力培养穆良柱:什么是物理及物理文化?穆良柱:什么是ETA物理认知模型穆良柱:什么是ETA物理教学法吴国祯教授:我的国外研究生经历印象——应清华大学物理系“基科班20年·学堂班10年纪念活动”而写
陈佳洱,赵凯华,王殖东:面向21世纪,急待重建我国的工科物理教育王亚愚教授:清华物理系本科人才培养理念与实践葛惟昆教授:关于中外人才培养的几点思考安宇教授:为什么传统的课堂讲授模式需要改变安宇教授:其实教学就是积累的过程刘玉鑫教授:关于本科生物理基础课程教学和教材编著的一些思考沈乾若:重创理科教育的美加课程改革Henderson C:美国研究基金支持下的物理教育研究及其对高等物理教育的影响《物理与工程》期刊是专注于物理教育教学研究的学术期刊,是中国科技核心期刊,1981年创刊,欢迎踊跃投稿,期刊投审稿采编平台:
http://gkwl.cbpt.cnki.net
欢迎关注
《物理与工程》微信公众号
原标题:《混合型双光束干涉全息照相的设计与探究》