丘成桐,美国哈佛大学数学与物理学教授,美国科学院院士,中国科学院外籍院士,菲尔兹奖、克拉福德奖、沃尔夫奖得主,发展了强有力的偏微分方程技巧,使得微分几何学产生了深刻的变革,解决了卡拉比(Calabi)猜想、正质量猜想等众多难题,影响遍及理论物理和几乎所有核心数学分支。2022年4月20日,清华大学宣布,丘成桐先生受聘清华大学讲席教授,这意味着丘先生从哈佛大学退休,将全职任教清华。

作为一名大数学家,丘成桐先生融通文理,在中国古典文学方面亦家学深厚。《我的几何人生》是丘成桐先生的唯一自传,这本书是丘成桐先生首度直面读者,亲述风起云涌的数学传奇,特别是本书还收录了两万言的《中华赋》。
《中华赋》是丘成桐先生在第二次游历甘肃后,以赋的文体纵览从远古先秦到魏晋南北朝的历史。在这里,数学与文学交汇,理性与感性融合;最精密复杂的数学大脑,浸润着最温柔敦厚的中国传统文化。


1997年,丘成桐举家遨游河西走廊。暮宿于敦煌张掖,看山窟壁画,卧佛雕刻,戈壁黄沙,海市蜃楼。晨则坐厢车,奔驰于嘉峪兰州间,登雄关,泛黄河,访古塔,阅四库,意甚欢畅。

在白塔山禹王碑前留影
2017年,丘成桐夫妇携一众好友到甘肃故地重游,纵游河西走廊之山岩洞窟、大地遗址、秦安龙城、天水成纪、璀璨丹霞......目睹历史上发生过重要事件的遗迹,深受感动。“因为这个激情,这半年来,每日花半个钟头,写下了一篇很长的赋。岂有他故,赤子之心而已!”遂作《中华赋》。已故中国科学院院士、著名数学家、书法家王元先生在生前以书法形式艺术得再创作了丘成桐先生的《中华赋》,还附有丘先生评注作为对照。今天微游君就带大家品读丘成桐先生摘自《中华赋》的节录《河西走廊赋》。
八聲甘州(二)
對晴空、引領憶漢唐,風物已千秋。漸關山迢遞,孤煙落日,思緒悠悠。儒學西傳薪火,佛法卻東流。只剩斜陽暮,斷瓦頹堠。
叵奈興隆難續,沙封千載窟,欲問無由。畫眾生色相,域外丹青留。黑山巍, 祁連屏立,想紅旗、漫卷峪關頭。思量處,角聲吹徹,快鐵飛舟。
丘成桐
二零一七年八月二十一日
敦煌
盛夏隴中遊兩関,
漢唐威望白雲間。
貳師豈足定西域,
定遠班侯乞骨還。
丘成桐
二零一七年八月十七日

丘成桐先生为兰州大学题词

河西走廊赋
序
仲夏日之赤热兮何以解忧?
浩浩乎携诸生以傲游。
郁郁乎探百代之荣休。
纵余目以游观兮叹先贤之可任,
览史册之所载兮慕古圣之流芳。
出玉门以远眺兮觅汉唐之遗踪,
叹黄沙之无尽兮掩千古之恩雠。
倚阳关之颓垣兮望远处之高岑。
背祈连之积雪兮临弱水之支流。
岂日曛千里兮实王化起乎河州。
惟月照古今兮东西之故迹长留。
戈壁遍野兮商旅难筹,
平沙无垠兮田陇谁耕?
马腾大漠兮驼越沙丘。
枯草难牧兮兽铤亡群。
大漠茫茫兮骸骨谁收?
长路绵绵兮过客频仍。
冰封祈连兮水泽绿州。
大地湾开兮文化始由。
评:我望着茫茫大漠,驼队慢行。月牙泉上,夕阳斜照。敦煌窟中,壁画辉煌。中华几千年历史,就在眼前,从前读史记汉书,都在故纸堆中,寻找故事,究不如目睹为妙!掩卷思古,激情尚在!一个学者能够发挥的激情,最重要的还是有根,有根的激情都应该建立在我们的文化历史的基础上。
历史上发生过的事情,无论中外,都是一样!我十四岁父亲去世以后,最感动我的一首诗是英国诗人拜伦在旅游希腊时见到波斯的古墓,写了一首激情澎湃的一首诗,这首诗能够激动人心,和西方的历史背景有关!
两汉风华
西汉
汉初匈奴争战
秦筑陶砖兮往迹难寻,
汉留片土兮苇草为墙。
匈奴坐大兮秦汉交错,
猛将如云兮高祖伐胡。
冒顿入北兮围我白登,
将帅不敌兮雨雪无饷。
士出奇谋兮阏氏纵归,
雾浓人静兮矢弩外向。
四海一统兮边方未定。
“大风起兮云飞扬,
安得猛士兮守四方。”
刘敬谋国兮汉胡和亲,
哀遣公主兮遗之远强。
穹庐为室兮奶酪为浆,
苦思故土兮心神内伤。
夫死妇营兮吕后专政,
单于亵嫚兮未敢言羞。
治由黄老兮天下晏然,
与民生息兮安而复昌。
按:当秦汉之际,匈奴崛起。以始皇之强,蒙恬之勇,率三十万众击胡七百里,然后筑长城守之而已矣。高祖内乱未平,民未脱困,受叛臣韩王信误导,率三十二万众,欲平匈奴,而冒顿单于诱之,四十万骑围高祖于平城。是时也,高祖猛将有夏侯婴、陈豨、周勃、樊哙,谋臣则有刘敬、陈平,然而终被困于白登,七日不食,仅乃得免。刘敬始提和亲,中国得以休养生息,《大风歌》叹守边猛士之难觅,盖谓此也。吕后吞声受辱,三世至于武帝,始报高祖困于平城之耻,汉人忍辱负重,可谓深矣。

武帝拓边
五世其休兮生民倍增,
太仓多粟兮陈陈相因,
国富兵强兮遂谋西疆。
祖母无为兮黄老是依,
罢黜百家兮儒术独尊,
选贤与能兮政法惟刚。
羞遣公主兮孝武逐北,
太后崩殂兮始城朔方。
利诱匈奴兮王恢用策,
三十万众兮马邑伏军,
单于逃逸兮遂断和亲。
济济多士兮竟霸河西,
雄关似铁兮商旅万方。
五十四载兮承秦启后,
协音律兮定历数,
兴太学兮改正朔,
起察举兮选贤能。
千古一帝兮人怀厥德。
按:武帝承三代积蓄,外征匈奴,内立儒术。允文允武,千古一帝。用人唯才,宜乎汉帝国留名古今。班固评述:历代用人,于斯为盛。

张骞通西域
断匈奴右臂兮博望月氏之行以求!
历艰苦犹持汉节兮岂被掳之可羞。
去岁十三兮二人得还,
经国卅六兮西域始通。
酒泉初置兮复设武威,
既破楼兰兮又破车师。
得马大宛兮蜀布何由?
蒲陶苜蓿兮植之离宫。
将军识途兮知虏之可倾,
大帝思远兮征伐乎边方。
按:自古艰难为一死,张骞出使大月氏,苏武牧羊北海,九死一生,不辱君命,功谁堪比。博望侯西域十三年,所阅所闻,回报天子,开汉家四百年拓土卫国之机,可谓中国使节第一,玉门关铜像雕塑,立马迎风,不亦宜乎。

贰师降虏
绝世佳人兮延年颂歌,
倾国倾城兮殁留帝恩。
谋善马兮外戚远攻,
士卒物故兮孝武怒遮玉门。
涉流沙兮天马归,
承灵威兮降外国,
破大宛兮广利侯封,
汉立张掖兮敦煌始雄。
祝诅天子兮忧惧愁慌,
虏入五原兮陷我名城。
将两万众兮深入要功,
军败燕然兮贰师辱降。
按:武帝宠爱李夫人,派李广利出征,欲其封侯也。然而汉法至严,广利欲退而武帝竟遮玉门关,可知武帝用人之一斑。

卫青破虏
出车彭彭兮长平始击匈奴,
万骑出塞兮黄沙击我矢弓。
风嘶嘶兮马鸣,
奇兵出兮虏惊。
赵信城崩兮汉胡相搏,
利镞穿骨兮杀气凌空。
单于遁逃兮右王逆谋,
漠南无胡迹兮大将封!

李广难封,苏武南归
龙城将飞兮威振天涯,
力敌万骑兮马急胡走。
勇冠三军兮矢贯深岩,
将军失道兮漠表刭首。
木讷少言兮天下涕流。
长子复仇兮骠骁射杀,
孙字少卿兮气冲斗牛。
都尉少壮兮兵出居延,
单于临阵兮众寡悬殊,
力尽矢穷兮李陵降虏。
武帝震怒兮合家被戮,
不蒙明察兮史迁腐刑。
河梁送别兮苏武南归,
老母终堂兮生妻去帷,
流离辛苦兮几死朔北。
雁飞云边兮陇上烟寒,
官典属国兮汉宣记功。

霍去病平定南匈奴
汉设四郡兮断绝南羌,
匈奴未灭兮何以家为?
骠骑奔逐兮寄身刃锋,
势崩雷电兮地动天摇。
径绝大幕兮封狼居胥。
临翰海兮胡虏移,
禅姑衍兮月明中,
大将病殁兮茂陵立祠。
按:武帝开拓朔方以后,全力击胡。张骞出使,已得匈奴地理形势,李广、卫青、霍去病出塞数千里,屡擒名王,封狼居胥,南匈奴降汉。治胡之功,自古以来,未尝有也。武帝一洗高祖吞声忍气,中国边疆百姓备受凌辱半世纪之苦,何其壮也。

武帝轮台罪己
日光冷兮矢尽弓藏,
月色苦兮孤雁飞高。
五分一存兮汉马亡,
虽得阴山兮血满沟。
轮台罪己兮百姓复农,
禁苛止赋兮与民息休,
六畜蕃息兮黍稷复盈。
日磾辅政兮西风吹襟。
按:秦末汉初,冒顿单于强悍,侵边掠土,而老上单于继之,自高祖至文帝时周亚夫守边,俱无可如何。至武帝征匈奴,乃中国生死存亡之大事。天佑中华,将士用命,南匈奴降汉。然而民力殆尽,武帝伤之,遂有轮台罪己之诏,能伸能屈,中国百姓得以休息。千古以来,帝强而能罪己者,未尝有也。

昭君出塞
明妃失意兮汉家楼阁,
高山峨峨兮河水泱泱。
手挥琵琶兮平沙雁落,
中心恻伤兮远度西羌。
白日西匿兮关山萧索,
芜绝异域兮肠断泪干。
饮咽无声兮故乡永隔,
胡鼙鼓喧兮胡姬侍安。
单于宠爱兮边城未拓,
三世无警兮少见干戈。
和乐且闲兮穆穆棣棣,
胡族汉化兮泽被边疆。
按:昭君出塞,历代伤之。然而明妃出宫,得见天日,远胜于郁郁而终。且汉胡因此和平六十余年,功莫大焉。
昭君本名王嫱,汉元帝之宫女也。元帝柔仁好德,在位十六年。时匈奴分郅支单于及呼韩邪单于两支。郅支为陈汤所灭。王嫱嫁呼韩邪单于,为宁故阏氏。边陲遂无兵革之事,元帝因此改年号曰竟宁。
元帝为宣帝皇后许平君之子,许平君为霍光之妻毒杀,是以宣帝特爱元帝。元帝为太子时,谏宣帝宽法而行仁政,宣帝怒曰:“乱我家者,太子也。”以元帝不知汉法为骨,儒学为表也。
太子爱妃司马良娣早逝,从此不见姬妾。宣帝命王皇后觅得王政君为太子妃。王政君为后及太后六十一年,外戚从此专政焉!
元帝又独好儒臣,及宦官石显等逼死萧望之,元帝优柔寡断,亦无可如何。是故司马光曰:“孝元之为君,易欺而难悟也。”从此外戚、宦官、儒臣相交替,至王莽而亡。

东汉
光武中兴
以寡敌众兮昆阳大捷,
将相和睦兮光武中兴。
邓禹冯异兮贾复耿弇,
儒者气象兮一气所钟。
郭氏为后兮河北民悦,
铜马毁败兮兵容始盛。
大军入蜀兮公孙覆灭,
力平隗嚣兮陇右得暇。
东都洛阳兮丽华如愿,
息肩中土兮克克兢兢。
收弓矢兮散马牛,
退功臣兮进文吏。
评:光武不如武帝,创意不足也。然而创业艰辛,临危不惧,军心始安,此亦非常之人也!

明帝继位暨佛学东来
孝明承治兮仓廪实,
抑制豪强兮严宗室。
倡儒学兮重刑名,
尊先师兮正礼乐。
尚气节兮崇廉耻,
赐公田兮兴水利。
征北匈奴兮开疆拓土,
云台图画兮二十八将。
黄河得治兮户口滋殖,
尊崇儒学兮白虎论经。
民安其业兮明章盛世,
金人显梦兮天子求问。
西渡葱岭兮月氏觅佛,
永平十年兮汉使圆梦。
天竺沙门兮终生弘法,
径千万里兮白马驮经,
寺建洛阳兮佛像远来。
按:明章盛世,承光武之教,而不逊其德。云台二十八将,所以记功,良有以也。

窦固,班昭复位西域
伐北匈奴兮扶风窦固,
屯兵凉州兮出兵酒泉,
击呼衍王兮天山旋归。
于阗骄横兮几并西疆,
都护西指兮众才四九,
风雪交加兮笳音扬清,
定国五十兮强虏消逝。
远索大秦兮遣使甘英,
几穷西海兮止于条支,
延首东望兮惨切凄伤,
大漠经年兮顾瞻故乡。
胡杨蒿黄兮枝枯叶干,
沙场白骨兮刀痕箭瘢,
妹昭上书兮班侯得归。
窦宪欺罔兮权倾当世,
远出大漠兮燕然勒石,
匈奴败北兮鲜卑始大。
按:北匈奴至东汉而复强,卒西逃遁,窦、班二氏家族有大功焉,燕然勒石,自古称之。惜乎窦宪借太后而霸权,东汉外戚、宦官之争,窦氏有责焉,宜乎宪之被诛也。至于班超以三十六人袭杀匈奴使臣于大漠,威震西域诸国,有胆有识,千载下读其故事,犹凛凛有生气。定远侯英年出使,皓首而归,卒后,西域又乱,
子班勇复平之。汉代使臣将相,俱能为国舍命,宜乎两汉之盛也。

魏晋南北朝
曹氏篡汉
窦氏消亡兮宦官用事,
既诛陈蕃兮复杀窦武。
汉儒党争兮佞臣执政,
天下大饥兮常侍得宠。
张角崛起兮西羌复乱,
招兵凉州兮何进授首。
烝民涂炭兮王室覆荡,
野无鸡鸣兮白骨千里。
董卓乘衅兮袁绍构难,
官渡大胜兮曹操无君。
北征乌桓兮蹋顿败亡,
东临碣石兮沧海扬鞭,
乌鹊南飞兮败军赤壁。
西伏陇右兮魏武远征,
马腾流窜兮韩遂败亡。
匈奴日疏兮杂胡始壮,
三分天下兮曹丕篡位。
按:东汉末,生民涂炭。献帝荒淫无能,势必有变,民始得安!曹孟德弭平诸袁,北征乌桓、匈奴,安定中原,功莫大焉!及其自度功比周召,大业可以速成,遂至兵败赤壁,旋师北归,奚足叹息。然而西平汉中,迅即恢复,可见其得人心及坚毅之志也。得陇而未敢望蜀,抑年老而志气渐衰乎。

建安文学
文起建安兮俊才云涌,
蔡邕飞白兮饮马琴操。
聚贤邺下兮魏武沉雄,
子桓清越兮陈思独步。
洛神淑美兮词采华茂,
辞赋凄怆兮五言腾踊。
亡家失身兮文姬悲愤,
典论论文兮七子并纵。
仲宣登楼兮陈琳饮马,
公干高风兮应璩雅深。
阮瑀章表兮伟长室思,
陈寿撰述兮三国叙事。
刘徽割圆兮专注九章,
两汉朱华兮邺水为盛。
中原板荡兮西凉稍安,
豪杰远行兮山川形胜。
大漠苍茫兮丹霞璀璨,
磊落使才兮慷慨任气。
按:建安文学,承两汉朱华,开隋唐盛世。蔡邕父女,三祖陈王,七子并驰,得五言之冠冕,极汉赋之朱华。
西晋
邓艾西征兮偷渡阴平,
钟会侵功兮司马独大。
楼船顺流兮铁锁沉江,
旗落石头兮王濬灭吴。
定都洛阳兮改元泰始,
世族复兴兮汲汲求利。
承魏举才兮九品取士,
唯能是用兮名节渐丧。
空谈节俭兮晋武斗富,
去州郡兵兮八王乱政。
胡族内迁兮强敌环伺,
晋议徙戎兮江统先导。
鲜卑不臣兮河西入侵,
匈奴复出兮并州崛起。
妄称宗室兮伪刘遍阡,
永嘉大乱兮石勒横行。
刘曜掳帝兮青衣行酒,
黎民不堪兮五胡乱华。
按:司马篡曹,克蜀灭吴。世族复兴,然而汲汲求利,名节渐丧,又无能处理东汉以来胡族内迁所产生之诸般问题,终致刘曜掳帝,石勒横行,良可叹也。

东晋
士族南迁兮建康称帝,
党同伐异兮抑压吴地。
朱张顾陆兮王谢为大,
权倾天下兮琅玡王氏。
谱牒为则兮门阀士宦,
祖逖澄清兮渡江击楫。
攻灭成汉兮桓温北伐,
灞水旋师兮洛阳暂驻。
骄而恃众兮丧军慕容,
退守建业兮前秦灭燕。
篡位不果兮王谢护晋,
北府兵威兮大胜苻坚。
观棋不语兮淝水谢安,
气吞万里兮寄奴如虎。
讨灭桓玄兮兴复晋室,
北擒慕容兮南枭卢循,
经略西北兮不果南归。
西执姚泓兮灭绝后秦,
恭帝禅让兮刘裕弑君。
按:晋室南迁,国祚长于西晋,盖自孙权以还,北方士族,深入江左,根蒂已深,不易动摇矣。虽曰士族抑压吴地,胡人势力未逮江南。汉人精锐,尽集于此。中国门第,于斯为盛。然而抗拒外族南侵,王、谢有大功焉。至于桓温、刘裕,北伐虽未成功,亦一代豪杰也。

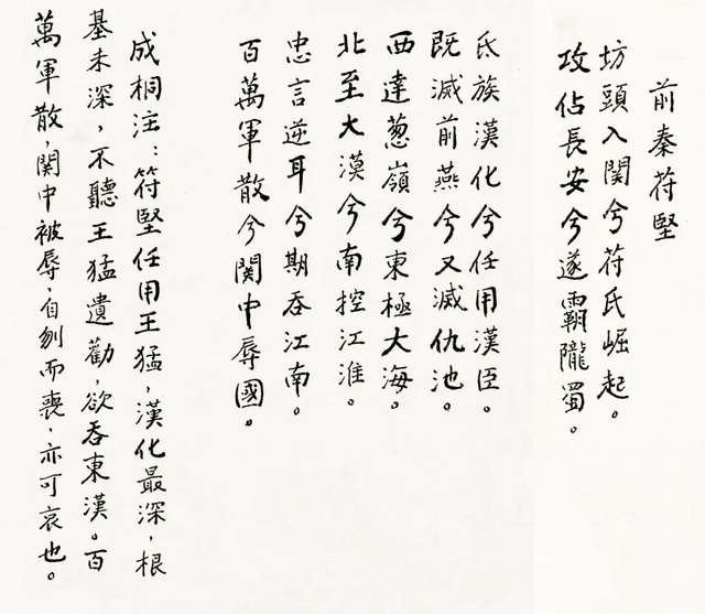
前秦符坚
枋头入关兮苻氏崛起,
攻占长安兮遂霸陇蜀。
氐族汉化兮任用汉臣,
既灭前燕兮又灭仇池。
西达葱岭兮东极大海,
北至大漠兮南控江淮。
忠言逆耳兮期吞江南,
百万军散兮关中辱国。
按:苻坚任用王猛,汉化有成,然而根基未定,不听王猛遗劝,欲吞东晋。全军溃散,关中被辱,自刎而卒,亦可哀也。

北魏
鲜卑代兴兮拓跋坐大,
定都平城兮攻掠后燕。
对峙刘宋兮西灭鄯善,
亡夏燕凉兮太武北统。
摩崖石窟兮雕塑遍野,
云冈龙门兮陇西敦煌。
天水麦积兮永靖炳灵,
中西交融兮地理文学,
洛阳伽蓝兮道元水经。
孝文汉化兮迁都洛阳,
根基未固兮六镇民变。
按:北朝遍布胡人,鲜卑拓跋氏汉化最深。中西文化交融,于斯为盛,延及隋唐。

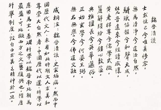
魏晋清谈
士求悦己兮唯美修容,
无为清净兮道法自然。
骈赋协韵兮和声天成,
梵音远来兮经读感怀。
黄老得尊兮儒学式微,
丽辞缤纷兮镂心敷藻,
典雅擅长兮英华迈俗。
正始玄学兮何晏王弼,
祖述老庄兮以无为本。
开物成务兮无往不存,
无名无誉兮佛道交融。
按:魏晋清谈,史家诟病。然而中国历代文人,未有如此时期文人求美和尊崇大自然之极致者。历代以还,科学以应用为主,基础科学则以魏晋南北朝为最盛,可比拟西方之文艺复兴。惜乎隋唐科举制度,尽毁此自由求美之精神。

两晋风流
才兼文墨兮右军雄逸,
步兵咏怀兮情寄八方,
叔夜赋琴兮托喻清远。
刘伶酒德兮向秀思旧,
披沙简金兮陆机浮云。
波澜宏阔兮西征潘岳,
博物藏书兮清畅张华。
郭璞江赋兮彪炳磅礴,
靖节归去兮自然超迈。
乐天知命兮葛洪抱朴,
化学得传兮炼丹罗浮。
按:魏晋南北朝承两汉之辞赋五言,汉赋进而为俳赋,而绘画书法,更是一时之盛,隋唐文学,溯源于此乎。

佛法东来
流沙万里兮震旦远来,
敦煌菩萨兮月氏高僧。
大乘得译兮般若法留,
龟兹苦读兮母子修道。
罗什东来兮释风渐行,
一十七载兮弘法凉州。
前秦遣将兮吕光夺佛,
后秦力邀兮鸠摩入京。
远涉长安兮翻译诸经,
法华金刚兮维摩三论。
子弟传宗兮什门四圣,
译本未全兮宏义未功。
法显西游兮留学天竺,
峦叠葱岭兮木簇鹫峰。
朝行雪山兮夜渡冰川,
顾寻所经兮心动汗流。
去国十三兮终得戒律,
译经建业兮摩诃僧祇。
按:佛教自天竺经大月氏而入中国。佛道交融,冲击儒家思想,影响中国文化至巨!

刘宋萧齐
七分天下兮刘宋四分,
中原未定兮拓跋争雄,
元嘉伐魏兮仓皇北顾。
儒玄文史兮宋帝立馆,
义庆新语兮言简俊秀。
著书后汉兮范晔留名,
松之注述兮三国史成。
剩余有理兮孙子经算,
筹学骤起兮二祖缀术。
跌宕起伏兮恨别江淹,
文典以怨兮咏史左思。
三都十年兮洛阳纸贵,
芜城有赋兮鲍照凄怆。
灵运五言兮芙蓉出水,
延年白马兮错采镂金。
按:刘宋国小,僻处南方,然而儒、玄、文学、筹算、历学,均不逊于盛唐,岂东西交融,学者皆荟萃于江南乎。
萧梁南陈
梁武佞佛兮舍身四度,
民穷财尽兮侯景作乱。
千里绝烟兮白骨成聚,
僧辩降敌兮北齐入境。
霸先篡位兮诛杀大将,
叔宝荒淫兮河山日下,
杨广灭陈兮丽华匿井,
昭明集述兮始评文学。
刘勰文心兮钟嵘诗品,
沈约四声兮八咏传世。
撰述宋史兮作赋丽人,
玉台新咏兮徐陵宫体。
哀赋江南兮庾信凄怨,
达摩东渡兮建业暂驻。
法救迷情兮一花五叶,
一苇渡江兮长芦久住。
面壁九年兮禅宗始兴,
玄佛交融兮隋唐延续。
按:梁、陈二朝,民不聊生,然而中国文学批评,实始于此时,刘勰《文心雕龙》、钟嵘《诗品》、昭明太子《文选》仍为现代探讨古代文学之极品。沈约“四声”《八咏》,庾信《哀江南赋》,诗人墨客,不可不读。至于达摩创立禅宗,影响中国文化至深。此等大事,均发生于梁、陈二朝,亦可异也。
敦煌麦积石窟
高窟嵯峨兮千载经营,
壁画塑像兮魏齐始盛。
飞天伎乐兮佛门史迹,
菩萨左右兮释迦侧卧。
玄黄色杂兮罗汉叠壁,
画图焕绮兮吐曜含章。
龙凤呈瑞兮虎豹凝姿!
俯仰顾眄兮彤彩之饰?
流离烂漫兮霞驳云蔚,
丹青并饰兮金玉同镌。
神仪内莹兮宝相外宣,
归诚妙觉兮标志上玄。
按:莫高、炳灵、麦积诸洞窟,雕塑画壁,西域藏书,俱可溯源至于北魏,千年建设积蓄,奚止中华之瑰宝,亦世界之遗珍也。
2018年8月16日
来源 | “数理人文”微信公众号与“和乐数学”微信公众号