原创 李洪芳 陈伟康 等 物理与工程 收录于合集 #近独立子系系统的统计规律 4个
编委刘全慧教授导读
近日,“全国物理基础课程教育研讨会“微信群有老师问道,复旦大学钟万蘅老师课题组曾经研究过少数经典自由粒子的分布函数问题并发表了系列论文,问有无老师记得文章的结论。尽管教科书中不太讨论少数经典自由粒子的分布函数这一问题,对于研究人员来说,这个问题有两个清晰的结论:1,一般而言,由于少粒子系统有所谓的系综不等价性,不同的物理条件下,分布函数不同;2,最简单的情况是,保持系统和一个热库接触,一个自由分子系统的分布函数和大量分子的分布函数形式相同。但是,群里几乎没有老师熟悉钟老师课题组的工作,也不熟悉上面的两个结论。很抱歉我也不熟悉,不清楚他们的研究是否支持这两个结论。于是,我把他们在《大学物理》上发表的四篇文章读了一遍,发现完全支持这两个结论。除此之外,文章内容丰富,结果很有启发性,可以作为我国教学研究论文的代表性工作。可惜的是,不可多得的好文章却几乎没有流量且无人引用,十分可惜。钟老师课题组在发表了第一、二篇论文之后,在《物理与工程》上发表了一个简短的综述。特建议《物理与工程》公众号刊发这五篇文章。
他们研究的是统计物理中的一个基础性问题,称之为硬球系统。对这种系统,对同一个量(例如位置、动量、能量)的分布函数,有两种统计,一个来自于力学统计(主要来自分子动力学模拟,体现为数值结果),一个来自统计物理。问题是,这两个统计的结果是否一样? 研究的对象可以是自由粒子,自由粒子中有玻色子、费米子和经典粒子区别,可以是具有相互作用的系统,等等。钟老师课题组研究的是经典自由粒子系统。他们的结论是:对于孤立系中的一个经典自由粒子分布函数,力学统计和统计物理的分布函数,他们的结论是一样的。我个人认为,结论可以保守一点:至少两个分布函数的领头项一样。注意,这两个分布函数,是所谓少粒子系统的分布函数,不是通常的麦克斯韦分布。当粒子数越来越多的时候,他们的结果趋近于麦克斯韦分布。且只有对于多粒子系统,才可以定义温度。
这一问题,已经存在一个半世纪,至今依然位居统计物理的中心,是物理学中连下金蛋的一只仙鹅。属于一两句话就可以说清楚,但是非常难以理解且常研常新的极少数物理学难题。力学统计就力学结果进行数学上的统计,不在牛顿力学中引入其它的假设;但是统计物理只有一个等概率原理,要求系统具有本质上的随机性。如果统计物理中给出的分布函数和力学统计给出的分布函数一样,就意味力学系统有内在的随机性。那么,这个随机性的起源何在?钟老师课题组第一、二篇文章研究的问题,1996年才由北京师范大学郑志刚、胡岗小组解决,并获得了基本相同结论,文章参见:Zhigang Zheng, Gang Hu, and Juyuan Zhang, Phys. Rev. E, 53(1996)3246。而在教学层面进行研究,钟老师课题组是独立进行的,视角也不同,价值不言而喻。
钟老师课题组第三、四篇两篇文章研究的问题是,如果把硬球系统分成两部分,一部分作为库,一部分作为系统。两部分的粒子数都有限的时候,结果和第一二篇论文的结论类似。如果库中的粒子数无限,再问系统的粒子数对于能量的分布函数,结果就是多粒子系统的分布函数,不过粒子数取有限大小而已。而这个问题的普遍性解决,2022年才完成,论文参见:Q. H. Liu, Annals of Physics, 441(2022)168884。
把第二和第三篇论文的两个结果进行横向比较,非常具有启发性。孤立系中是否有涨落,是一个有待提炼的问题。第二篇论文给出了微正则系综少粒子系统的分布函数,也就可以对其中单个粒子的分布函数求出的能量涨落(参见《物理与工程》文章中的(10)式);第三篇论文研究了正则系综中的单个粒子的能量涨落(参见第三篇文章(34)式且让N_1=1),二者结果一样。也就是说,盯住微正则系综中的一个粒子,其行为和把其它粒子视为库的结果一样。
同一个物理对象,有两个统计,一个来自于力学统计,一个来自统计物理。这二者之间的分别和联系,直接和我们对自然界的本性的理解相关。利用少粒子系统来进行比较研究,不仅仅有其基础意义,也应用价值,还有哲学价值。因此,通过热力学和统计物理的学习和研究,不仅可以直接进入这个前沿领域,而且是进入物理学殿堂的一条捷径。
编者按
复旦大学钟万蘅老师课题组一共有五篇论文,本文是重新刊发系列中的第四篇。原文:李洪芳 陈伟康 罗胤 顾群 钟万蘅,近独立子系系统的统计规律(三)——正则分布函数及能量涨落公式, 大学物理,2009, 28 (5): 1-5, 13.
我们曾在一年多之前发表过 2篇文章[1,2],一是对二维近独立子系系统粒子的运动进行了计算机模拟;另一是从微正则系统理论出发,导出了任意数目粒子构成的近独立子系系统的分布函数。对于由任意数目刚性粒子构成的两个系统1和2,若它们之间是近独立的,则由系综理论可以导出系统 1中粒子按能量或速率的分布函数;当系统 2的粒子数趋于无穷大时,就成为一个热源,系统 1的分布函数就是玻尔兹曼分布,但这时系统 1的粒子数是任意的。当系统 1的粒子数为 1时,该分布函数就可用来描述布朗粒子的运动情况。由系统 1的分布函数可以导出系统的能量涨落公式。对这些分布函数及能量涨落公式,我们通过计算机模拟都一一得到了证明。
1 任意数目刚性粒子构成的二维力学系统的正则分布
为了与计算机模拟实验的结果相比较,这里首先用吉布斯的正则系综理论讨论二维力学系统,导出各种分布函数。
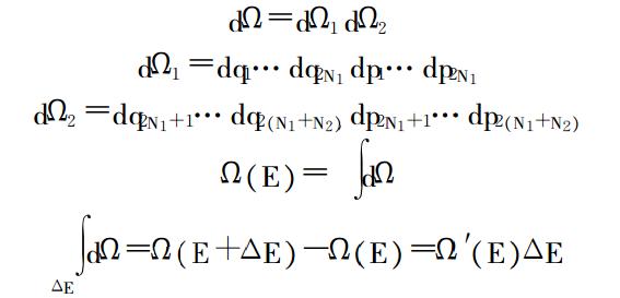
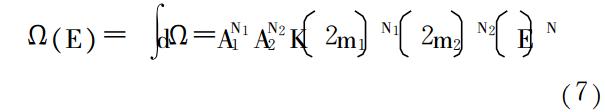
设两个力学系统,它们分别具有质量为 m1和m2、数目为 N1和 N2的粒子,两个系统的面积分别为A1和 A2,能量为 E1和 E2,则总系统的能量 E和粒子数 N为


式中 Ω(E)为总系统的相体积,dΩ为相体积元,其中

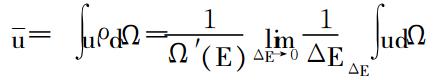
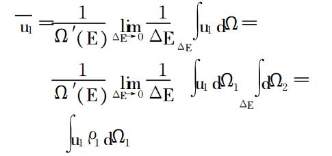
对于与系统 1有关的力学量 u1的统计平均值为

所以得

因为



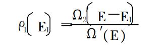
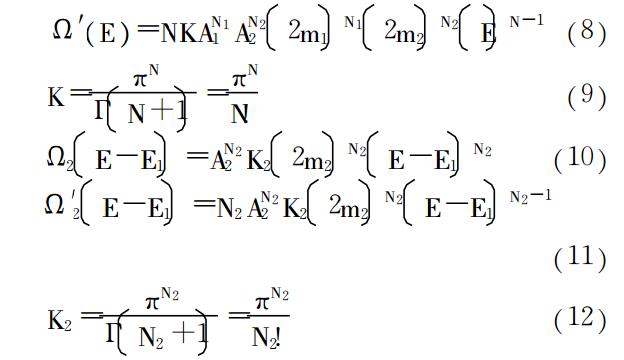
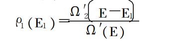
设系统 1中任一个粒子按能量的分布函数为ρ1(ε1),由于
(14)
所以

即

当 N2→∞时,系统 2可以看成是一个温度为 T的热源,则总系统达到平衡时,E=E1+E2=E1+N2kT。式 (13)变成
(17)
式 (16)变成
(18)
由上式可以看到,当一个布朗粒子与热源 (例如理想气体系统 )达到平衡时,其按能量分布是玻尔兹曼分布,它的平均能量
(19)
即与热源粒子的平均能量相等。
2 三维近独立子系系统的正则分布
设粒子数分别为 N1和 N2、能量分别为 E1和 E2、体积分别为 V1和 V2的两个近独立的力学系统,总系统是孤立系,其能量和粒子数分别为
E=E1+E2, N=N1+N2
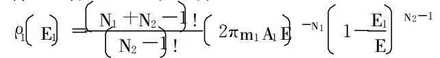
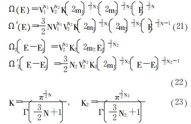
在 6N维的 Γ空间中,在 H≤E的等能面上,系统 1的密度分布 ρ1由式 (6)给出

不难算得

将式 (21)、(22)及 (23)代入式 (20)得

系统 1的力学量 u1(ε)的统计平均值为
(25)
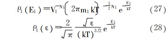
由上式积分可得

式 (26)表示系统 1中任何一个粒子按能量的分布。不难证明,当 N1个粒子的质量不同时,只要将式(24)中的 m1N1改成
即可,而任何一个粒子按能量的分布仍为式 (26)。
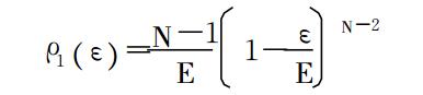
当 N2→∞,即 N=N1+N2→∞时,式 (24)和式(26)分别为

。
3 系统 1的能量涨落
3.1 三维情况
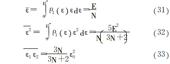
因为
,所以
(29)
由式 (26)可求得


当 N2→∞即 N=N1+N2→∞时,
(35)
当 N1=1时,
。这表明一个布朗粒子的平动动能的相对涨落为
。这可以用计算机模拟实验来证明。
3.2 二维情况
采用与三维情况类似的方法,可导出二维情况下系统 1的能量相对涨落公式为

4 分布函数及能量涨落计算机模拟的几个例子
对于由不同质量的粒子构成的近独立子系系统中粒子按能量和速率的分布,以及粒子能量的涨落,我们利用刚球模型进行了大量的计算机模拟,所得结果与上面的理论完全相符,以下是其中的几个例子。
在面积为 A的容器内放置 N个刚性粒子,其中N1个粒子的质量为 m1,N2个粒子的质量为 m2。这些粒子以相同的初始能量 ε0(或初速率 v0)向任意方向运动,按牛顿定律碰撞。每隔Δt时间对每个粒子的速度进行测量,将长时间的测量结果进行统计平均,便可得到总系统和子系统的能量和速率的分布曲线。按照能量涨落的定义还可算出子系统的能量涨落。这里我们将质量为 m1的粒子设为系统 1,质量为 m2的粒子设为系统 2,m1=4m2。并取 N1=1,N2=1,2,9,999。总系统的粒子数 N=N1+N2。计算机模拟得到的结果如下。
4.1 二维分布函数
图 1至图 8给出了由计算机模拟得到的二维情况下粒子按能量和速率的分布。其中能量分布图的横坐标为能量 ε/ε0,纵坐标为
,这里 N′为测量次数乘以系统的粒子数 N,ΔN′为测得的粒子能量处于 ε→ε+Δε范围中的次数。速率分布图的纵坐标为
,这里 ΔN′为测得的粒子速率处于 v→v+Δv范围中的次数。总系统中的粒子按能量和速率的分布如图中的直方图所示,实线为它的理论曲线。图中三角形点线代表系统 1;圆圈代表系统 2。








三维情况下的计算机模拟和二维类似,这里仅给出 N=2和 N=50时的模拟结果 (图 9—图 12)。




4.3 能量涨落
图 13—图 16给出了 N=10的总系统中系统 1的能量涨落 f,其中f随时间 t(或测量次数 )的变化如图 13(二维 )和图 15(三维 )中的曲线所示,从上至下,系统1的粒子数依次为 N1=1、2、3、4、5、6、7、8和 9。它们是根据公式
算出的。图 14(二维 )和图 16(三维 )给出了系统的能量涨落和系统粒子数的关系,图中的小方点是经过 5×107次的测量后统计平均所得的 f值。斜线是根据式 (36)和式(34)算得的理论曲线。




参考文献:
[1] 彭钢,李洪芳,钟万蘅.近独立子系系统的统计规律(一 )——二维系统统计规律的计算机模拟[J].大学物理,2007,26(5):7-11.
[2] 李洪芳,彭钢,钟万蘅.近独立子系系统的统计规律(二 )——微正则分布函数[J].大学物理,2007,26(5):12-14.
[3] 王竹溪.统计物理学导论[M ].北京:人民教育出版社,1961:62-63.
基金项目:国家基础科学人才培养基金资助项目 (J0730310)。
作者简介:李洪芳 (1939- ),男 (汉族 ),江苏常州人,复旦大学物理系教授,主要从事物理教学研究工作。
引文格式: 李洪芳,陈伟康,罗胤,等.近独立子系系统的统计规律(三)——正则分布函数及能量涨落公式[J].大学物理,2009,28(5):1-5,13.
本文经作者、《大学物理》编辑部同意转发,原文发表于《大学物理》2009年第5期。
END

2023年全国高等学校物理基础课程教育学术研讨会 会议纪要2023 年全国高等学校物理基础课程青年教师讲课比赛在喀什大学举办全国大学物理实验教学对口支援(智力援疆)研讨会在新疆师范大学举办王青教授:理解王中林院士“拓展的麦克斯韦方程组”“碰瓷”麦克斯韦:伽利略协变和洛伦兹协变电磁场论趣谈热点:运动介质洛伦兹协变电磁理论2021年《物理与工程》优秀论文、优秀审稿专家、优秀青年学者名单王青教授:源自苏格拉底的问题驱动式教育——在互动中共同学习和成长读后感:教育中的现实和远方王青教授:昨晚(6月9日),清华电动力学期末考试朱邦芬院士:“减负”误区及我国科学教育面临的挑战《物理与工程》2022年第6期目录乐永康:新冠肺炎疫情防控下美国物理实验教学及中美情况对比顾牡:对于重新制定的《非物理类理工学科大学物理课程教学基本要求》的认识和体会朱邦芬院士:从基础科学班到清华学堂物理班朱邦芬院士:对培养一流拔尖创新人才的思考李学潜教授:物理是一种文化李学潜教授:如何帮助物理系学生迈过从高三到大一这个坎穆良柱:物理课程思政教育的核心是科学认知能力培养穆良柱:什么是物理及物理文化?穆良柱:什么是ETA物理认知模型穆良柱:什么是ETA物理教学法吴国祯教授:我的国外研究生经历印象——应清华大学物理系“基科班20年·学堂班10年纪念活动”而写
陈佳洱,赵凯华,王殖东:面向21世纪,急待重建我国的工科物理教育王亚愚教授:清华物理系本科人才培养理念与实践葛惟昆教授:关于中外人才培养的几点思考安宇教授:为什么传统的课堂讲授模式需要改变安宇教授:其实教学就是积累的过程刘玉鑫教授:关于本科生物理基础课程教学和教材编著的一些思考沈乾若:重创理科教育的美加课程改革Henderson C:美国研究基金支持下的物理教育研究及其对高等物理教育的影响《物理与工程》期刊是专注于物理教育教学研究的学术期刊,是中国科技核心期刊,1981年创刊,欢迎踊跃投稿,期刊投审稿采编平台:
http://gkwl.cbpt.cnki.net
欢迎关注
《物理与工程》微信公众号
原标题:《近独立子系系统的统计规律(三)——正则分布函数及能量涨落公式》