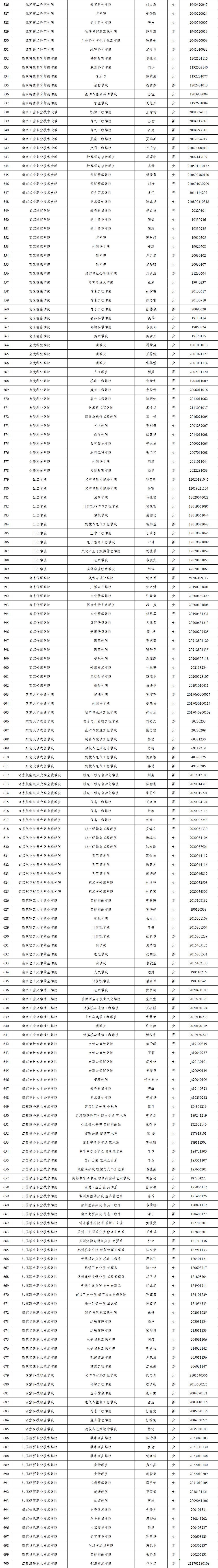
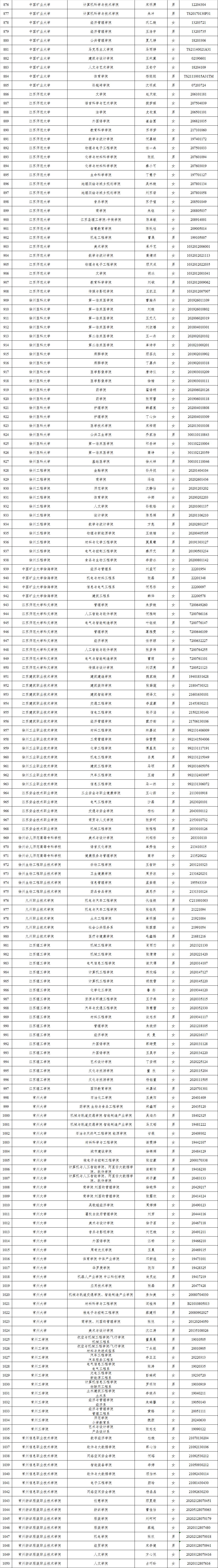
根据江苏省教育厅、团省委印发的《关于评选表彰2023年度江苏省普通高校省级三好学生、优秀学生干部、优秀毕业生和先进班集体的通知》(苏教学函〔2023〕4号)要求,在各高校层层推荐的基础上,经审核、公示,省教育厅、团省委决定对熊媛媛等1741名省级三好学生、徐萍等1426名省级优秀学生干部、韩建汶等1073名省级优秀毕业生和南京大学法学院2020级法学硕士班等973个省级先进班集体予以表彰。一起来看——
江苏省普通高校省级三好学生名单
(左右滑动查看更多)










江苏省普通高校省级优秀学生干部名单
(左右滑动查看更多)










江苏省普通高校省级优秀毕业生名单
(左右滑动查看更多)








江苏省普通高校省级先进班集体名单
(左右滑动查看更多)







原创如需转载,请联系我们授权,并注明出处来源 江苏教育频道(微信号:JSBCeducation)
来 源|江苏省教育厅
编 辑|陈佳莹
原标题:《表彰名单出炉!》