原创 李长乾 王立英 物理与工程
摘 要
介绍了一种利用光栅的一级衍射光斑光强测量待测液体折射率的方法,简称光栅光强法。阐明了光栅光强法测量液体折射率的实验原理,组建实验装置,测量了水丙三醇、蛋白 - pH10 缓冲液两种混合液体的折射率和光栅衍射光强的关系曲线,测量得到的无水乙醇的折射率与理论值的相对误差小,具有实验装置易于搭建、操作简单的特点,在实验教学研究等领域具有一定的研究和应用价值。
关键词 光栅衍射;一级衍射光强;液体折射率
Abstract This paper introduces a method to get liquid refractive index by measuring the light intensity of the first-order diffraction spot of the grating, which is called the grating light intensity method. The experimental principle of measuring liquid refractive index by the grating light intensity method is expounded. An experimental set-up was designed to measure the relationship between the refractive index and first order intensity for water-glycerin and egg white-pH10 buffer. The relative error between the measured refractive index of absolute ethanol and the theoretical value is small. Furthermore, the experimental device is easy to be built and convenient for use. It has potential applications in the field of experimental teaching and other related research fields.
折射率是物质的重要光学参数之一,海市蜃楼、沙漠蜃景、光的色散、透镜成像等物理现象均与介质的折射率密切相关。折射率在物理、化工、医药、食品等领域具有重要的应用,如何准确而简易地测量液体的折射率是一项重要的科学研究内容.常见的测量折射率的方法主要有最小偏向角法[1,2]、迈克耳孙干涉法[3-5]、等厚干涉法[6,7]、CCD 测量法[8,9]、光栅衍射法[10-14]等。
本文介绍了一种利用光栅衍射光强来测量液体的折射率的方法.首先基于波动光学原理,理论推导出了衍射光斑光强和液体折射率之间的关系,搭建了利用光栅光强测量液体折射率的实验装置,并利用该原理和装置测量了一系列不同浓度、已知折射率的水丙三醇、蛋白 - pH10 缓冲液两种混合液体的折射率和光栅衍射光强的关系曲线,利用该曲线获得了无水乙醇的折射率,相对误差较小,具有成本低、快捷有效的特点,在实验教学研究领域具有一定的研究价值。
1 实验原理
当一束光经过透射光栅,将产生光栅衍射现象,并产生各级衍射亮线。图 1 为一具有方形轮廓的透射光栅结构示意图,光栅不透光部分的宽度为 w,透光部分的宽度为 i,则光栅常数 p 为
p = w + i (1)
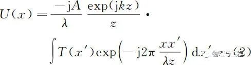
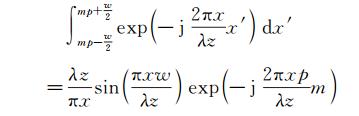
为了得到在接收光屏上的衍射光强分布,由远场条件的菲涅尔基尔霍夫衍射积分公式,可得在接收光屏上的波前函数 U(x) 的表达式为[14]


T ( x′ ) = t exp ( jδφ ) (3)
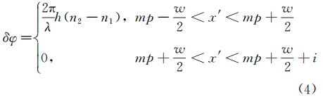
其中,t 为一常数,δφ 为相位差。若以光栅的中央刻痕为原点,则相位差 δφ 满足

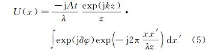
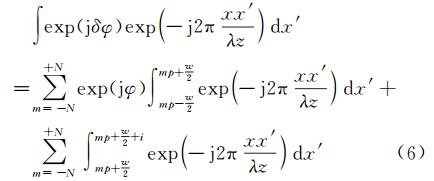
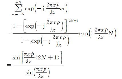
。将式(3)、式(4)代入式(2),得到




,求和的结果为

,故 2N+1≈2N。将所得的结果代入式(6),得到波前函数 U(x) 的表达式为


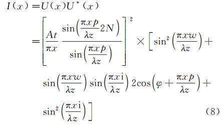
,根据光栅方程,当 p sinθ = λ 时对应的衍射位置为一级衍射,由于 θ 很小,故 θ ≈ x/z,联立光栅方程从而得到一级衍射光斑对应的位置 x = λz/p,且 p = w + i,代入式(8),得到一级衍射光斑对应的光强表达式为
式(8)中,当 x→0 时,则得到相应零级衍射光斑的光强,可得零级衍射光斑对应的光强表达式为

,即式(9)、式(10)中的 cosφ 与折射率直接相关,所以,一级和零级衍射光斑光强 I 与液体折射率直接相关,即改变介质的折射率时,一级和零级衍射光斑的光强也会改变,因此,可以通过测量一级或零级衍射光斑的光强 I,从而间接获得待测液体的折射率 n。
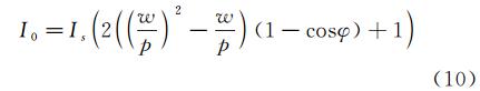
另外,由式(9)和式(10)可以分别得到一级衍射光斑和零级衍射光斑的衬比度 γ1 和 γ0,若只改变待测液体的折射率 n1,根据衬比度的定义式
,γ1 和 γ0 可表述为

2 实验器材
实验所需的材料和仪器如图 2 所示,具体包括测量用液体、内壁贴有光栅的玻璃槽、激光发生器、激光接收探头和功率指示计等。

3.1 实验测量步骤
(1)首先连接好导轨与主机激光输出端的滑块。
(2)在导轨另一端放置探测激光强度的功率指示计探头,打开激光器,调整工作电流使激光器输出激光.调整激光器的激光指向,使激光进入功率指示计探头,并使显示值达到最大。
(3)将内壁粘贴衍射光栅的液体槽放置于激光器主机和功率指示剂探头之间,调节液体槽位置,使光栅垂直于导轨,具体实验装置摆放如图 3 所示。

(5)打开激光器主机电源,旋转电流旋钮使激光输出,此时即可观察到光栅衍射现象(见图 4)。微调功率指示计探头位置,使光栅一级衍射光斑进入功率计探头,且激光功率示值最大(光强最大),记录功率值 P ( P∝I )。

(7)将待测液体加入液体槽,读出相应的一级衍射光斑的光强值,代入步骤(5)所测得的折射率光强关系曲线,得到待测液体的折射率。
3.2 数据处理及分析
实验测得的不同体积分数的水丙三醇和蛋白 -pH10 缓冲液两种混合液体对应的一级衍射光强数据见表 1 和表 2,在这里,我们需要提供不同体积分数混合溶液的标准折射率,为了验证本实验方法测量结果的准确性,我们采用了参考文献[14]中提供的相应不同体积分数混合溶液的折射率为标准折射率数据,表 1、表 2 中 n 为文献 14 报道的相应液体折射率数据。根据表 1、表 2 数据,绘制折射率 n 随一级衍射光强 I 的变化关系( n-I )曲线,图 5 和图 6 分别给出了水丙三醇和蛋白 -pH10 缓冲液两种混合液体的 n-I 关系图。




其中,n 为溶液折射率,I 为对应一级衍射光斑的光强,ai 为第 i 项的系数。接下来,结合式(13),利用已知折射率的水丙三醇溶液的折射率和一级衍射光斑的光强的关系曲线,计算待测溶液的折射率,具体数据处理过程如下:
将表 1 中不同体积分数(v)下,水-丙三醇溶液的折射率 n 和相应的一级衍射光斑光强 I 的 10 组数据代入式(13),求出泰勒展开的各项系数 ai,共 10 个系数计算结果如下:
a0 = -3.0739 × 105 a1 = 9.9686 × 104
a2 = -1.4119 × 104 a3 = 1.1408 × 103
a4 = -5.7515 × 101 a5 = 1.8627
a6 = -3.7238 × 10-1 a7 = 4.2700 × 10-4
a8 =- 2.1387 × 10-6 a9 = 0
将测得的激光经过无水乙醇产生的一级衍射光斑光强 I = 26.1 μ W,代入式(13),得到无水乙醇的折射率 n = 1.353,测量结果见图 5 所示(“★”)。无水乙醇的理论标准折射率为 n0 = 1.360,所以,利用本激光光强法测得的测量结果与理论值的相对百分差仅为 0.51%。另外,利用测量得到的不同体积分数的蛋白 -pH10 缓冲液混合溶液的折射率和一级衍射光斑光强数据,采用同样的方法计算得到无水乙醇的折射率为 1.347,与理论值的相对百分差为 0.96%,该测量结果与水丙三醇溶液的测量结果相比,误差稍大,分析是由于蛋白 -pH10 缓冲液的测量点较少(见表 2 和图 6),造成测量结果相对误差稍大。
4 结语
提出了利用光栅光强测量液体折射率的方法。首先基于波动光学原理,推导了衍射光斑光强和液体折射率之间的关系,搭建了利用光栅光强测量液体折射率的实验装置,并利用该原理和装置测得了一系列不同浓度、已知折射率的水丙三醇、蛋白 -pH10 缓冲液两种混合液体的折射率和光栅衍射光强的关系曲线,利用该曲线获得了无水乙醇的折射率,称该方法为光栅光强法。利用光栅光强法所测得的溶液的折射率与标准值非常接近,可以满足实验的测量要求,相较于其他测量液体折射率的方法,具有成本低、快捷有效的特点,在实验教学研究领域具有一定的研究价值。
参考文献
[1]孙一书, 陈怡, 韩冰, 等. 应用最小偏向角法的液体折射率精密测试[J]. 中国光学, 2019, 12(4): 826-832.
SUN Y S, CHEN Y, HAN B, et al. Precision test technology of liquid refractive index using the method of minimum deviation angle[J]. Chinese Optics, 2019, 12(4): 826-832. (in Chinese)
[2]陈余行, 马振斌. 最小偏向角法测量 NaCl 溶液浓度与折射率[J]. 实验科学与技术, 2010, 8(6): 16-17, 112.
CHEN Y H, MA Z B. Research on the refractive index of NaCl solution by minimum angle of deviation[J]. Experiment Science and Technology, 2010, 8(6): 16-17, 112. (in Chinese)
[3]张风昀, 隋宏光, 凌翠翠. 迈克尔孙干涉仪测量液体折射率[J]. 实验技术与管理, 2019, 36(3): 69-70, 75.
ZHANG F Y, SUI H G, LING C C. Michelson interferometry for measuring refractive index of liquid[J]. Experimental Technology and Management, 2019, 36(3): 69-70, 75. (in Chinese)
[4]母柏松, 马孟祺, 陈云琳. 利用迈克耳孙干涉仪测量透明体的折射率[J]. 物理与工程, 2015, 25(4): 51-53,59.
MU B S, MA M Q, CHEN Y L. Refractive index of transparency measured by Michelson interferometer[J]. Physics and Engineering, 2015, 25(4): 51-53, 59. (in Chinese)
[5]林春丹, 杨冠, 焦梦瑶, 等. 基于迈克耳孙干涉仪及劈尖测量透明液体折射率[J]. 物理实验, 2016, 36(8): 13-15.
LIN C D, YANG G, JIAO M Y, et al. Measurement of transparent liquid refractive index based on Michelson interferometer and glass wedge[J]. Physics Experimentation, 2016, 36(8): 13-15. (in Chinese)
[6]李丽荣, 罗龙, 刘艳丽. 牛顿环装置的改进并测量液体折射率及现象讨论[J]. 实验技术与管理, 2015, 34(10): 97-99, 104.
LI L R, LUO L, LIU Y L. Using improved Newton ring device to measure liquid refractive index and discussing its phenomena[J]. Experimental Technology and Management, 2015, 34(10): 97-99, 104. (in Chinese)
[7]陈代兵, 张佳伟, 李金玉. 利用劈尖的等厚干涉测量液体的折射率[J]. 大学物理实验, 2016, 29(5): 41-43.
CHEN D B, ZHANG J W, LI Y J. Use wedge of equal thickness interference measuring the refractive index of the liquid[J]. Physical Experiment of College, 2016, 29(5): 41-43. (in Chinese)
[8]李雅倩, 付现斌, 周坤. CCD 分段测量的光学位移测量系统[J]. 光学精密工程, 2011, 19(9): 2036-2042.
LI Y Q, FU X B, ZHOU K. Optical displacement measuring system by CCD segmental measurement[J]. Optics and Precision Engineering, 2011, 19(9): 2036-2042. (in Chinese)
[9]辛督强, 朱民, 解延雷. 测量液体折射率的几种方法[J]. 大学物理, 2007, 26(1): 34-37.
XIN D Q, ZHU M, XIE Y L. Several measuring methods of the refractive index of liquid[J]. College Physics, 2007, 26(1): 34-37. (in Chinese)
[10]陆静珠, 陈朴深. 利用衍射光栅测定液体和固体的折射率[J]. 湖州师专学报, 1991(5): 40-42.
LU J Z, CHEN P S. The determination of the refractive index of solid and liquid with diffraction grating[J]. Journal of Huzhou University, 1991(5): 40-42. (in Chinese)
[11]张静, 满小溪. 容器壁厚度对光栅衍射法测量液体折射率的影响[J]. 物理实验, 2015, 35(4): 34-36.
ZHANG J, MAN X X. Influence of container thickness on the refractive index of solution in the method of grating diffraction[J]. Physics Experimentation, 2015, 35(4): 34-36. (in Chinese)
[12]骆敏, 郑凯璐, 余观夏. 基于光栅衍射的液体折射率测量实验[J]. 实验技术与管理, 2020, 37(7): 83-85.
LUO M, ZHENG K L, YU G X. Experimental study of liquid refractive index measurement based on grating diffraction[J]. Experimental Technology and Management, 2020, 37(7): 83-85. (in Chinese)
[13]DURAN-RAMIREZ V M, MARTINEZ-RIOS A, GUERRERO-VIRAMONTES J A, et al. Measurement of the refractive index by using a rectangular cell with a fs-laser engraved diffraction grating inner wall[J]. Optics Express, 2014, 22(24): 29899-29906.
[14]CALIXTO S, PIAZZA V, GONZALEZ S, et al. Liquid refractive index measured through a refractometer based on diffractiongratings[J]. Optics Express, 2019, 27(24): 34705-34720.
[15]GOODMAN J W. Introduction to Fourier Optics[M]. 2nd Edition, New York: McGraw-Hill, 1996.
通讯作者:王立英,女,天津大学高级工程师,主要从事大学物理实验教学和研究工作,liying.wang@tju.edu.cn。
引文格式: 李长乾, 王立英. 利用光栅的衍射光强测量液体折射率[J]. 物理与工程, 2022, 32(5): 121-126.
Cite this article: LI C Q, WANG L Y. Measurement of liquid refractive index based on optical grating diffraction[J]. Physics and Engineering, 2022, 32(5): 121-126. (in Chinese)
END

王青教授:理解王中林院士“拓展的麦克斯韦方程组”“碰瓷”麦克斯韦:伽利略协变和洛伦兹协变电磁场论趣谈热点:运动介质洛伦兹协变电磁理论2021年《物理与工程》优秀论文、优秀审稿专家、优秀青年学者名单王青教授:源自苏格拉底的问题驱动式教育——在互动中共同学习和成长读后感:教育中的现实和远方王青教授:昨晚(6月9日),清华电动力学期末考试朱邦芬院士:“减负”误区及我国科学教育面临的挑战《物理与工程》2022年第4期目录乐永康:新冠肺炎疫情防控下美国物理实验教学及中美情况对比顾牡:对于重新制定的《非物理类理工学科大学物理课程教学基本要求》的认识和体会朱邦芬院士:从基础科学班到清华学堂物理班朱邦芬院士:对培养一流拔尖创新人才的思考李学潜教授:物理是一种文化李学潜教授:如何帮助物理系学生迈过从高三到大一这个坎穆良柱:物理课程思政教育的核心是科学认知能力培养穆良柱:什么是物理及物理文化?穆良柱:什么是ETA物理认知模型穆良柱:什么是ETA物理教学法吴国祯教授:我的国外研究生经历印象——应清华大学物理系“基科班20年·学堂班10年纪念活动”而写
陈佳洱,赵凯华,王殖东:面向21世纪,急待重建我国的工科物理教育王亚愚教授:清华物理系本科人才培养理念与实践葛惟昆教授:关于中外人才培养的几点思考安宇教授:为什么传统的课堂讲授模式需要改变安宇教授:其实教学就是积累的过程刘玉鑫教授:关于本科生物理基础课程教学和教材编著的一些思考沈乾若:重创理科教育的美加课程改革Henderson C:美国研究基金支持下的物理教育研究及其对高等物理教育的影响《物理与工程》期刊是专注于物理教育教学研究的学术期刊,是中国科技核心期刊,1981年创刊,欢迎踊跃投稿,期刊投审稿采编平台:
http://gkwl.cbpt.cnki.net
欢迎关注
《物理与工程》微信公众号
原标题:《利用光栅的衍射光强测量液体折射率》