原创 路峻岭 顾晨 等 物理与工程
摘 要
斯特林空气热机是大学物理热学教学中很流行的一种演示实验热机,它的结构特点是在气缸中设置了两个活塞:一个是工作活塞,它的运动与工质的热力学循环相关;另一个是换位活塞,它的运动可使工质分别处于高低温两个不同的热源区。机械连接使两个活塞作简谐振动,且使两者振动的相位差为 90 度,则工质的热力学循环即表现为由两段等温线和两段等容线围成的封闭循环。工质处于高温热源区时,作等温膨胀的循环为正循环;作等温压缩的循环为逆循环。正循环工作的斯特林空气热机是一种动力热机,可以从高温热源吸热向低温热源放热并对外做功;逆循环工作的斯特林空气热机是一种制冷机,在外界做功的前提下可以从低温热源吸热并向高温热源放热。
关键词 斯特林空气热机;热力学循环;准静态;工作活塞;换位活塞
Abstract Stirling air heat engine is a very popular demonstration experimental heat engine in college physical education. Its structural has two pistons set in the cylinder: one is the working piston, and its movement is related to the thermodynamic cycle of the working medium; the other is the transposition piston, whose movement makes the working medium in two different heat source regions of high and low temperature. The mechanical connection makes the two pistons vibrate harmonically, and the phase difference between the two vibrations is 90 degrees, then the thermodynamic cycle of the working medium is a closed cycle surrounded by two isotherms and two isochore. When the working medium is in the high-temperature heat source area, the cycle of isothermal expansion is a positive cycle, and the cycle of isothermal compression is a reverse cycle. Stirling air heat engine with positive circulation is a kind of power heat engine, which can absorb heat from high-temperature heat source to low-temperature heat source and do work externally. Stirling air heat engine working in reverse cycle is a refrigerator, which can absorb heat from low-temperature heat source and release heat to high-temperature heat source on the premise of external work.
斯特林热机是英国牧师斯特林(Robert Stirling)于 1816 年发明的一种热机。它的特点是工质在 PV 图上的热力学循环为由两段等温线和两段等容线围成的封闭循环[1,2],称为斯特林循环。这些与大学物理教学内容能够直接联系,故现在国内高校大学物理教学中多引入此种热机[1-5]。下面对相关内容作进一步的分析。
1 斯特林热机结构简析
教学演示实验用的斯特林热机的气缸如图 1 所示,为一段玻璃管,其中设置了两个活塞,一个是工作活塞,它与气缸内壁光滑接触且密封;一个是换位活塞,它与气缸内壁之间有缝隙且不接触。当换位活塞处于气缸的 A 高位端时,工质被挤到气缸的 B 低位端并与该处的热源交换热量,而当它处于气缸的 B 低位端时,工质被挤到气缸的 A 高位端并与 A 高位端的热源交换热量。工作活塞的运动使得工质状态参量变化以完成热力学循环。换位活塞的作用就是通过它的移动挤压气缸内的气体工质使它跑到它该去的地方。

2 斯特林热机的工作过程简析
当工作活塞和换位活塞在气缸中作简谐振动,且使工作活塞振动的相位超前 90 度时,则工质的热力学循环即表现为由两段等温线和两段等容线围成的封闭循环,即斯特林循环[1-5]。
2.1 常规条件下气缸中移动工作活塞都可以看作等温过程
在热机的透明气缸中移动工作活塞,气缸中的工质将经过怎样的物理过程呢?首先看工作活塞移动且工质体积增大的情况。若气缸与外界极易实现热交换,则可以认为工质温度保持不变同时体积膨胀对外做功,工质通过气缸从外界热源吸热。在准静态情况下,工质作等温膨胀对外做功,工质吸收的热量完全转化为功。若气缸与外界绝热,则工质体积膨胀对外做功的同时温度将急剧降低。在准静态情况下,工质作绝热膨胀对外做功和工质内能的减少之和完全转化为功。若气缸与外界可以有热交换,则工质体积膨胀对外做功的同时又有温度在降低,工质通过气缸从外界吸热。在准静态情况下,工质体积膨胀对外做功,工质吸收的热量和内能的减少共同转化为功。这种情况一旦发生,工质的温度必将降低,进而外界可以更多地向工质传热(传热与温差成正比),工质就会在新的基础上实现等温膨胀过程。因此,在实验室常规条件下,气缸与外界不可能绝热,工作活塞移动且工质体积增大时,认为工质在作等温膨胀过程是比较容易实现的,因此按等温膨胀过程进行理论分析也是比较合理的。
其次再看在一定外界条件下工作活塞移动且工质体积减小的情况。若气缸与外界有较好的热交换,则工质温度在升高的同时又有工质通过气缸向外界放热,工质温度的升高更利于向外界放热。在准静态情况下,工质体积减小接受外界作功,外界作功转化为工质内能的增加和放出的热量之和。这种情况一旦发生,工质的温度必将升高,进而工质可以更多地向外界传热,工质就会在新的基础上实现等温压缩过程。因此,移动工作活塞使工质体积减小时,认为工质在作等温压缩过程也是比较容易实现的,故按等温压缩过程进行理论分析也是比较合理的。
2.2 工作活塞的振动比换位活塞超前 90 度时的情形
设工作活塞和换位活塞都在气缸中作简谐振动,且前者比后者振动的相位超前 90 度,两个活塞振动位移及相应时刻工质的位置和体积变化如图 2 所示。

当换位活塞处于最低点 B 低位时(t = t1),工质被挤到气缸的最上方 A 高位,此时工作活塞由平衡位置向上移动,工质体积变小,工质将经历等温压缩过程,外界功全部变为热并向上部 A 高位热源传递,对应于图 3 中逆循环由 D 到 C 的过程。当换位活塞处于最高点 A 高位时,工质被挤到气缸的最下方 B 低位,此时工作活塞由平衡位置向下移动,工质将经历等温膨胀过程,工质从下部热源吸热并对外界作功,吸热全部变为对外界作功,对应于图中逆循环由 N 到 M 的过程。

由图 2 还看到,当工作活塞处于极值点时(t = t2 或 t4),换位活塞正处于使工质处于两种热源区的变化之中,它们正好对应图 3 中的等容变温状态中,即 MD、CN 对应的过程。
若两个活塞在外力的驱动下,不断地作如此简谐振动,则工质的热力学状态参量在 pV 图上不断地作逆循环变化。每完成一次逆循环,工质状态不变(复原),外界对工质做净功,此功与工质从下方的 B 低位热源吸收的热量之和向上部 A 高位热源区传递。A 高位热源区的温度升高,B 低位热源区的温度降低。此时热机实际上是一个制冷机(设 B 低位热源区为其工作目标区)。
2.3 换位活塞的振动比工作活塞超前 90 度时的情形
换位活塞振动的相位比工作活塞超前 90°时的情形,如图 4 所示。热机工作过程就变成了换位活塞在最低点(工质在上方)时工质经历等温膨胀过程,工质将从上部 A 高位热源吸收热量全部变为功,而在换位活塞在最高点(工质在下方)时工质经历等温压缩过程,工质将接受外界做功,外界功全部变成热并向下部 B 低位热源传递。

若两个活塞在外力的驱动下,不断地作如此简谐振动,则工质的热力学状态参量在 pV 图上不断地作正循环变化。每完成一次正循环,工质状态不变(复原),工质对外界做净功,此功等于工质从上方的 A 高位热源吸收的热量减去向下部 B 低位热源传递的热量之差。热机实际上是一个动力热机。
3 斯特林热机的活塞与飞轮的机械连接
欲使斯特林热机的两个活塞作相位差为 90 度的简谐振动,机械连接的方法有多种,以下简单介绍两种。
3.1 热机飞轮的振转连接
如图 5 所示(左为主视图,右为侧视图),飞轮转动时,飞轮上的点都在作圆周运动,用链接杆连接轮毂上的一点 E 点,可以得到在上下方向的简谐振动。用两个链接杆连接轮毂上同一半径圆周上的两点 E、F,可以得到具有相位差 90 度的两个简谐振动。再把两个链接杆连接到热机气缸的两活塞连杆上,就可以实现工作活塞和换位活塞都作简谐振动。若飞轮沿图 5 中所示的方向转动,则换位活塞振动的相位比工作活塞超前 90 度,热机将做正循环。若使飞轮的转动方向反向,则工作活塞振动的相位比换位活塞超前 90 度,热机将做逆循环。

3.2 热机双啮合齿轮驱动的同轴振动连接
为满足斯特林热机简单直管式气缸工作的需要,采用如图 6 所示双啮合齿轮方式可实现同轴管杆双简谐振动,设主动轮就是图 6 右侧飞轮。两个活塞的运动靠齿轮啮合及连杆 L 连接,亦如图 6 所示。在图 6 中,于主动轮的背面安装一个可以摇动它的手柄,当手柄逆时针摇动时,主动轮的转动如图 6 中箭头所示,即主动轮沿顺时针、从动轮沿逆时针方向转动,主动轮和从动轮的运动呈镜像对称关系,四个等长度的连杆L构成菱形。两啮合齿轮的反向联合作用使连杆棱形的中心 O′ 上下振动,同时连杆棱形的水平对角线的伸缩振动使其竖直对角线作对应的缩伸振动。两个活塞连杆同轴地分别连接在其竖直对角线的两端,工作活塞连杆为管状且它连接于上端,换位活塞连杆从管状工作活塞连杆筒中穿过且它连接于下端。

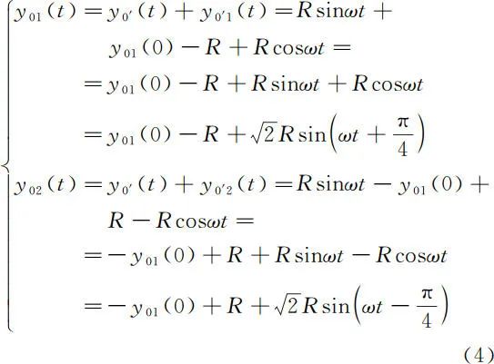
对两活塞的运动具体分析如下。把从动轮及连杆结构简化如图 6 右图所示,并建立直角坐标系 xO′y。设 A 为连杆 L 轴承的中心,B 为工作活塞连杆筒的连接点,C 为换位活塞连杆的连接点,A 点随齿轮以 R 为半径做圆周运动,B、C 可以沿 y 轴作上下滑动振动,B、C 的运动就代表了两个活塞的振动。随着手摇使啮合齿轮转动,以从动齿轮的中心 O 为参考点(因为 O 点不运动,以 O 点为参考点对应的参照系就是实验室参照系),A 点坐标为( Rcosωt , Rsinωt ),连杆棱形的中心 O′ 的纵坐标 y0′ (t) = Rsinωt,横坐标总是零。设 t = 0 时刻连杆棱形为正方形,即
,则在以 O′ 为原点的坐标系中,A 点的横坐标为 xA(0) - R ( 1 - cosωt ) = -y01(0) - R ( 1 - cosωt )。由于 B 点的纵坐标 y0′1(t) 总是大于零,故

其中,考虑到 R ≤ y01(0),所以近似等号成立,故可得在 O′ 坐标系中 B 点的纵坐标
y0′1(t) ≈ y01(0) - R + Rcosωt (2)
由于在啮合齿轮的转动过程中,连杆棱形总是菱形,在以 O′ 为坐标原点的坐标系中,B、C 两点关于 O′ 点对称,所以,在以 O′ 为坐标原点的坐标系中,C 点的坐标为
y0′2(t) = - y0′1(t) ≈ - y01(0) + R - Rcosωt (3)
因此,以从动轮中心 O 为参考点,即在实验室坐标系中观测,B 点和 C 点的纵坐标分别为

可见在实验室参照系中观测,工作活塞和换位活塞都在作简谐振动,简谐振动的平衡位置分别为 y01(0) - R 和 - y01(0) + R,而它们的振幅和频率均相同,工作活塞的相位比换位活塞超前 90°,斯特林热机作逆循环。若沿顺时针方向摇动手柄,换位活塞的相位比工作活塞超前 90°,斯特林热机作正循环。
4 结语
以第 3 节机械连接装置与第 1 节所述斯特林热机气缸中的活塞连杆相连接,就组成了一台斯特林热机。例如,把双啮合齿轮振动装置连接简单直管式气缸的两个活塞,就是一台很好的演示实验教学用热机。把一个数字温度计探头连接到如图 1 所示 A 高位端,顺时针摇动手柄,热机将做正循环,A 高位端的温度降低;逆时针摇动手柄,热机将做逆循环,A 高位端的温度升高,实验现象十分明显。
参考文献
[1]泽门斯基M W, 迪特曼R H. 热学和热力学[M]. 北京: 科学出版社, 1987: 153-156.
[2]赵凯华, 罗蔚茵. 新概念物理教程热学[M]. 北京: 高等教育出版社, 1998: 152-156, 163-169.
[3]LEYBOLD DIDACTIC GMBH. General catalogue of physics experiments[M]. printed in Federal Republic of Germany, 1998: 84-85.
[4]张三慧. 大学基础物理学下[M]. 2 版. 马颖等改编. 北京: 清华大学出版社, 2012: 195-198, 206-213.
[5]路峻岭. 物理演示实验教程[M]. 北京: 清华大学出版社, 2015: 112-115.
作者简介:路峻岭,男,清华大学教授,主要从事大学物理教学和传感器敏感元件物理学研究工作,6jzt@tsinghua.edu.cn。
引文格式: 路峻岭, 顾晨, 任乃敬, 等. 对斯特林空气热机实验的分析[J]. 物理与工程, 2022, 32(4): 131-135.
Cite this article: LU J L, GU C, REN N J, et al. Analysis of Experiment of Stirling air engine[J]. Physics and Engineering, 2022, 32(4): 131-135. (in Chinese)
END

更多精彩文章请点击下面“蓝字”标题查看:
对麦克斯韦方程组拓展的评论王青教授:深入理解“拓展的麦克斯韦方程组”——2.0版王青教授:理解王中林院士“拓展的麦克斯韦方程组”“碰瓷”麦克斯韦:伽利略协变和洛伦兹协变电磁场论趣谈热点:运动介质洛伦兹协变电磁理论2021年《物理与工程》优秀论文、优秀审稿专家、优秀青年学者名单王青教授:源自苏格拉底的问题驱动式教育——在互动中共同学习和成长读后感:教育中的现实和远方王青教授:昨晚(6月9日),清华电动力学期末考试朱邦芬院士:“减负”误区及我国科学教育面临的挑战《物理与工程》2022年第3期目录乐永康:新冠肺炎疫情防控下美国物理实验教学及中美情况对比顾牡:对于重新制定的《非物理类理工学科大学物理课程教学基本要求》的认识和体会朱邦芬院士:从基础科学班到清华学堂物理班朱邦芬院士:对培养一流拔尖创新人才的思考李学潜教授:物理是一种文化李学潜教授:如何帮助物理系学生迈过从高三到大一这个坎穆良柱:物理课程思政教育的核心是科学认知能力培养穆良柱:什么是物理及物理文化?穆良柱:什么是ETA物理认知模型穆良柱:什么是ETA物理教学法吴国祯教授:我的国外研究生经历印象——应清华大学物理系“基科班20年·学堂班10年纪念活动”而写
陈佳洱,赵凯华,王殖东:面向21世纪,急待重建我国的工科物理教育王亚愚教授:清华物理系本科人才培养理念与实践葛惟昆教授:关于中外人才培养的几点思考安宇教授:为什么传统的课堂讲授模式需要改变安宇教授:其实教学就是积累的过程刘玉鑫教授:关于本科生物理基础课程教学和教材编著的一些思考沈乾若:重创理科教育的美加课程改革Henderson C:美国研究基金支持下的物理教育研究及其对高等物理教育的影响《物理与工程》期刊是专注于物理教育教学研究的学术期刊,是中国科技核心期刊,1981年创刊,欢迎踊跃投稿,期刊投审稿采编平台:
http://gkwl.cbpt.cnki.net
欢迎关注
《物理与工程》微信公众号
原标题:《对斯特林空气热机实验的分析》