原创 蔡志东 物理与工程
摘 要
本文介绍了部分量子力学教材中薛定谔方程的引出过程,并指出其中存在的问题,即能量 E 和动量 P 的物理意义前后不一致:在讨论平面电磁波和算符与物理量之间的对应关系时,认为能量 E 和动量 P 是相对论性的,而在讨论能量和动量的关系时,却认为能量 E 和动量 P 是非相对论性的,即认为在低速条件下,物体的能量包含了经典动能和势能,而经典动能等于动量的平方除以静止质量的两倍。有人可能会产生一个疑惑,既然能量 E 和动量 P 都是非相对论性的,那么为什么我们仍然可以用能量算符和动量算符来分别对应能量和动量?要知道,这种对应关系只有在相对论性条件下才能成立。本文将对这一问题作一个合理的解释,以表明三种近似方法的结果是一致的。一种方法就是传统的做法,虽然这会导致 E、P 前后物理意义不一致的问题,但不影响最终结果。第二种方法是从爱因斯坦能量—动量公式出发,保留 E 和 P 的相对论性,级数展开后,把能量算符和动量算符代入展开式,引出级数形式的波动方程,然后通过适当的近似,引出常见的薛定谔方程。这样做的好处是,可以避免 E、P 物理意义前后不一致而引发的问题,即在经典能量和动量情况下,算符和物理量之间的对应关系到底是否可用的问题,从而消除了学生的疑虑。第三种方法就是直接从相对论性的克莱因—高登方程出发,通过近似处理得出薛定谔方程,但是,这种方法虽然严密但较为复杂。
关键词 薛定谔方程;引出过程;问题;解决方案;克莱因-高登方程;规范场论
Abstract In this paper, the derivation process of Schrodinger equation in some quantum mechanics textbooks is introduced, and the existing problems are pointed out. That is the physical significance of energy E and momentum P is inconsistent: when discussing the corresponding relationship between the plane electromagnetic wave sum operator and the physical quantity, energy E and momentum P are considered in relativistic way, while when discussing the relationship between energy and momentum, energy E and momentum P are treated in non-relativistic way. That is to say, at low speed, the energy of the object includes classical kinetic energy and potential energy, and the classical kinetic energy is equal to the square of momentum divided by twice the static mass. One may wonder that since energy E and momentum P are both non-relativistic, why can we still use energy operator and momentum operator to correspond to energy and momentum respectively? It should be known that this correspondence can only be established under the condition of relativity. This paper will give a reasonable explanation to this problem to show that the results of the three approximation methods are consistent. One way is the traditional way, although this will lead to the inconsistency of the physical meaning of E and P, it does not affect the final result. The second method is based on Einstein's energy momentum formula and retain the relativity of E and P. After the series expansion, the energy operator and momentum operator are substituted into the expansion, and the wave equation in series form is derived. Then, through appropriate approximation, the common Schrodinger equation is derived. The advantage of this is that it can avoid the problems caused by the inconsistency of the physical meaning of E and P, that is, in the case of classical energy and momentum, whether the corresponding relationship between operator and physical quantity is available or not, so as to eliminate the students' doubts. The third method is to obtain the Schrodinger equation directly from the relativistic Klein Gordon equation by approximations. However, this method is rigorous but complicated.
部分学者认为[1],薛定谔方程是一个假设或原理,并不需要从更基本的假设来导出,其正确性可由实验来检验。当然,也有一些专家认为,这个方程可以从德布罗意公式和平面电磁波等假设出发,通过适当的数学推导来引出[2-9]。之所以叫“引出”而不叫“导出”,是因为它并不能完全根据几条假设毫无悬念地推导出来,其中还掺杂着一些猜测的成分(其实假设本身也含有猜测的成分)。事实上,这种现象并非个案,从近代科学的第一个系统理论——牛顿力学到现代物理学的两大支柱——相对论和量子力学,无一例外,都或多或少带有猜测的成分或烙印。
比如说,牛顿力学的核心方程 F合=ma,很多人都认为它是百分百的实验定律,没有丝毫猜测的成分,其实不然。我们用天平测出的是引力质量,但是实验中的质量却是惯性质量,我们想当然地认为这两者相等,这就是一种猜测。此外,我们用弹簧秤测出的力是静力学意义上的力(改变形状),而实验中的力却是动力学意义上的力(改变速度或动量)。
我们想当然地认为这两种力是相等的,这也是一种猜测。因此,牛顿第二定律并非像你想象的那样是一条纯粹的实验定律。至于电磁理论,如果没有麦克斯韦的位移电流假说(猜想),根本就无法建立。而狭义相对论中的动力学方程
和广义相对论中的引力场方程
基本上就是协变性要求的结果,而这个要求的普适性本身就是一个猜测。量子力学的薛定谔方程和狄拉克方程也不例外,只不过看起来猜测的成分更明显一点而已。当然,猜测是要有一定依据的,并且逻辑上要基本合理。目前,一些量子力学教科书在引出薛定谔方程的过程中还存在着一些不太合理的地方,本文将着重解决这一问题。本文将重点介绍薛定谔方程的三种引出方法,第一种是传统的方法,此法简单但不够严密;第二种是笔者所采用的方法,既简单也比较严密;第三种是从克莱因——高登方程直接导出薛定谔方程,此法严密但比较复杂。
1 薛定谔方程引出过程回顾
目前,部分量子力学教材[6-9]在引出薛定谔方程时,大致经历四个步骤:平面电磁波假设和叠加原理→算符与物理量的对应→自由粒子的薛定谔方程→束缚粒子的薛定谔方程。不同的教材在详略程度上略有差异,但是大致过程是相似的。本文将首先回顾其引出过程,然后指出其存在的问题并解决之。本文的一些“推导”要比一般的书上详细得多,这样可以让初学者更加容易理解。
1.1 平面电磁波在量子力学中的核心地位
根据傅里叶的思想,一切函数,无论是定义在有限区域上的函数(包括周期和非周期函数)还是定义在无限区域上的函数(包括无限小和无限大区域上的非周期函数),都可以看成无穷多个频率跃变或连续变化的正弦(或余弦)函数之和。从物理学的角度讲,这就意味着一切物体,都可以看成无穷多个(频率跃变或连续变化的)“平面电磁波”的叠加。
正如在牛顿力学中,我们可以用“质点”这个理想模型(及其集合—质点系等)来描述物体的一切行为一样,在量子力学中,我们也可以用“平面电磁波”这个理想模型(及其集合——叠加态)来描述粒子的行为。
在现实生活中,并不存在真正意义上的质点,同样也不存在真正的“平面电磁波。”这是因为,任何真实的物体,不可能是无限小的一个点(总是具有一定的大小),也不可能是无限大的一个体。而任何有限大小的物体发出的任何波都不可能是真正的平面波(只有无限大的物体才可能产生真正的平面波)。
尽管如此,“质点”和“平面电磁波”这两个理想模型是如此之重要,以至于物理学离开了它们就寸步难行。没有质点,就没有空间坐标(x,y,z)和时刻 t(以及时间间隔 Δt = t2-t1)等概念,速度、加速度等概念也就无从谈起,牛顿力学将无法建立。没有平面电磁波,电磁理论和波动力学也将难以建立。
质点是绝对分裂和绝对不变的象征(两点之间的距离以及质点本身的状态可以绝对不变);“平面电磁波”则是绝对连续和绝对运动的象征,只有它才能以永恒不变的速度在空中永远前进(如果没有任何阻挡的话)。任何实际的波,最终都会消失得无影无踪。从某种意义上讲,量子力学或许可以说是试图把这两个互相矛盾的模型统一起来的一种尝试,也可以说是把傅里叶的数学思想转化为物理思想的一种尝试。
1.2 平面电磁波的数学表示
电动力学中常用 A = A0ei (k·r-ωt) 来表示一个平面电磁波。根据爱因斯坦的光子说有
所以也可以把 A 写成
。此式中采用了爱因斯坦求和约定(相同指标表示求和)。对于静质量不为零的微观粒子而言,德布罗意认为,它和光子一样也具有波粒二象性,同样满足公式(1)。薛定谔认为,粒子的状态或行为也可以用“平面电磁波”或者它们的叠加来描述,此即所谓的 “波函数”,其表达式为
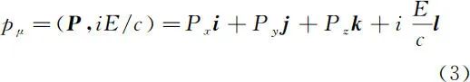
注意四维动量为

xμ = (r,ict) = xi + yj + zk + (ict)l (4)
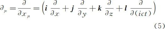
1.3 算符和物理量之间的对应关系
引入四维梯度算符(矢量)

,于是有
当然,式(6)也可以写成
,如果不用对应符号“→”而改用等号,则需引入算符符号“^”,四维动量算符为
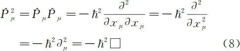
自然有

为达朗伯标量算符,在电动力学中常用到。
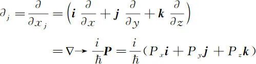
写成时空分离形式,由式(6)可得三维空间梯度矢量和三维动量的对应关系

,采用算符符号则可以把对应符号写成等号
相应地有
第四个分量(时间-能量分量):
,于是有
,采用能量算符有
相应地有
注意按照相对论中的约定,希腊字母 μ,ν,λ… 取值从 1~4,英文字母 i,j,k… 取值从 1~3。
特别注意:不管什么算符,只有当它作用于波函数时,才能和相应的物理量相对应。若有势函数 V (r,t),则因 V (r,t) (r,t) = V (r,t) (r,t),所以有:V (r,t)→V (r,t),也就是说,如果把势函数也看做一种特殊的算符,那么,它所对应的物理量即是它自身。有些情况下,势函数是不随时间变化的,因此,V (r,t) 就可以由 V (r) 来代替。
1.4 薛定谔方程的引出
在粒子的速度远小于光速的极端情况下有
于是能量算符和动量算符之间满足
即
这就是量子力学的核心方程——薛定谔方程。
2 薛定谔方程引出过程中存在的问题
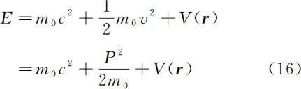
目前,较为流行的量子力学教材[6-9]大体上是如上述那样引出薛定谔方程的。但是,这样的引出存在三个问题:首先,薛定谔方程中的波函数是洛伦兹协变的,其能量和动量之间满足的是相对论性关系:
。E,P 与波的频率和波长之间满足的是式(1)。如果按照式(13)那样,能量 E 中将不含有静止能(以及其他高次项),即使不考虑势能 V (r),
也将不再成立。同样,式(13)中的动量实际上是 P = m0v 而非
,因而
也将不再成立,这是一个需要研究的问题。文献[3]、[4]认为,即使在非相对论情况下,能量也不是式(13)那样而是

由于势能零点的选择具有任意性,因此方程(15)和方程(17)描述的是同一个粒子的行为(文献[9]也证明了这一点)。这也就意味着,是否考虑静止能量无关紧要,薛定谔方程的形式仍然可以保持不变。
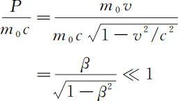
第二个问题是:文献[2]~文献[9]的作者忽视了一个关键问题,即式(16)中的动量 P 其实不能简单地写成 P = m0v,因为如果是这样的话,
,
因此,也就无法引出薛定谔方程。再强调一遍
,
成立的前提是 E,P 必须满足公式(1),而此式成立的前提是 E,P 必须是相对论性的。在非相对论情况下,算符和物理量之间的对应关系是否仍然可用?这是需要证明的,最起码也要给出一个合理的解释。
第三个问题是,
,
是针对自由粒子的“平面波函数”而言的,原则上,只有在这种情况下才有这样的对应关系。如果能量 E 中包含了势能 V(r),那么我们不能武断地认为:
,
仍然成立。因为粒子在势场束缚下, 波函数显然不可能仍然是平面波函数,因此,这种对应关系是否成立,需要进一步研究。
3 薛定谔方程合理且简单的引出过程
3.1 自由粒子的薛定谔方程的引出
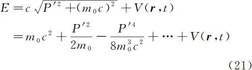
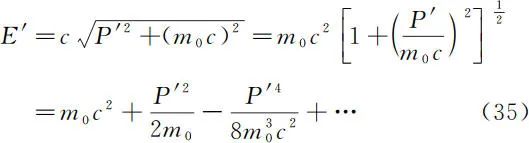
根据爱因斯坦的能量—动量公式
得:
(暂不考虑负能量的问题),当粒子的运动速度
时


特别注意:式(18)中的 P ≠ m0v,
,这是和以往的推导不同的地方。式(18)左边的能量 E 和右边的动量 P 均是自由粒子的相对论性能量和动量,因此,必然满足公式(1)以及公式(9)和公式(11),即
,
,相应的波动方程为

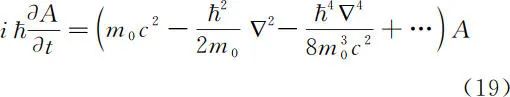
。注意式(19)是根据德布罗意假设引出的精确方程,未做近似。
下面我们通过一定的数学技巧来引出自由粒子的薛定谔方程。可以用一个新的波函数 来替换原来的波函数 A,即令
,代入式(19),左边为
,右边略去
以上的高次项(理由后面 3.2 会有详细解释)得:
。注意
只对空间求导不对时间求导,因此只需对它后面的
求导不必对指数因子求导。左右两边相等并消去指数因子
得
这就是自由粒子的薛定谔方程。由于波函数
和 A 仅相差一个指数因子(相当于初相位发生了变化),因此其波函数的概率幅是相等的,即
,不影响观察结果。换句话说,是否考虑静止能量无关紧要,两种情况下的波函数描述同一粒子的行为。
3.2 束缚粒子的薛定谔方程的引出
对于束缚粒子,其能量除了自身的能量之外,还具有相互作用的势能,此时的

,
是否成立?需要慎重考虑。作为一种猜想或假设,薛定谔认为,即使在束缚态下,这种对应关系依然成立。这种猜想有一定的合理性,因为粒子不是一个点,也有内部各部分之间的作用,所谓的静止能量中也包含了一定的势能;另一方面,如果把束缚粒子和其他物体作为一个整体来考虑,那么就不再有相互作用的势能而只有静止能量和动能了,势能悄悄地隐藏到了静止能量中。因此,有理由认为,即使在束缚态下,能量和动量算符公式依然可用。当然还有更深一层的考虑,根据傅里叶分析,任何复杂的波函数都可以看成无穷多个平面波函数的叠加,所谓的能量或动量算符,不过是对时间和空间的偏导数而已,由于偏导和积分符号可以交换位置,这就是意味着,即使对于复杂的波函数,对应关系
,
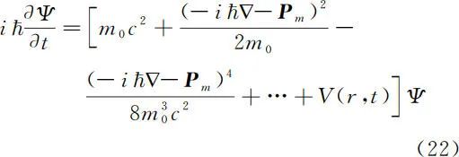
仍然成立。然而,究竟成立与否,要由实验来检验。在这一假设下,我们可以根据式(21)得到一个级数形式的薛定谔精确方程


前面的系数和
前面的系数之比即可,其比值为:
,其中的
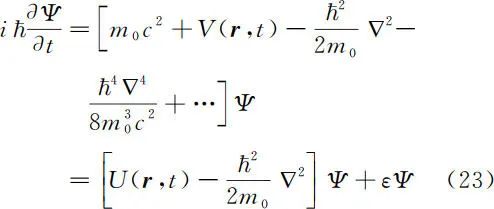
为粒子的康普顿波长,它是一个非常小的量,而它的平方更是小得无法想象,因此我们可以忽略 ε 这一项。此外,在经典力学中,通常认为势能函数可以仅仅取决于空间坐标 r,因此我们可以用 V(r) 来代替 V(r,t),U(r) 代替 U(r,t),于是可得常见的束缚粒子的薛定谔方程
前面已经讲过,此方程和教科书中常用的方程
是等价的。此方程之所以叫引出而不叫导出,是因为它有猜测的成分,它并不能由德布罗意的公式和平面电磁波的假设完全导出。
本文的这一段推导实际上证明了一个结论:即使能量和动量是非相对论性的,能量算符和能量,动量算符和动量之间的对应关系仍然可用,或
,
仍然成立。而一些流行的教科书上既没有证明也没有说明,就想当然地认为,在非相对论情况下,算符公式依然成立,这无疑会让初学者感到困惑。
4 由克莱因-高登方程引出薛定谔方程
4.1 自由粒子的克莱因-高登方程
根据前面的公式(8)即
,再根据相对论中的一个结论
(注:爱因斯坦的能量动量公式就是由此式导出的,反之,由能动公式也可得此结论)。由于四维动量算符和四维动量相对应,由此我们可以得到:
,移项后得
上式中,
,
为粒子的康普顿波长,因此 kc 具有波矢的量纲和特征。式(27)就是具有协变形式的自由粒子的波动方程——克莱因—高登方程。当然也可以写成更常见的形式
由此方程,通过采用和 3.1 类似的方法,设置一个新的波函数,并通过一系列近似手段,也可以导出自由粒子的薛定谔方程,但是,其过程远比 3.1 复杂,可见笔者的方法之简单。
4.2 粒子在电磁场中的克莱因—高登方程
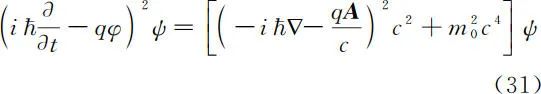
4.2.1 教科书中的不当之处
文献[9]、[10]给出了带电粒子在电磁场中的相对论性波动方程——电磁场中的克莱因—高登方程,方法是通过物理量(或相应算符)的置换
然后代入爱因斯坦能量—动量公式,然后作用于波函数得方程

笔者特别要指出的是,这种做法是不恰当的,这个方程也是有问题的,它混淆了物理量和算符这两个概念,使很多人误认为
是物理量的置换,
是算符的置换。式(29)左边把能量换成了能量算符,右边却没有把动量换成动量算符,这样就变成了不伦不类的方程。正确的方程应该是对时间和空间的偏微分方程,方程的左边是对时间的偏导数,方程的右边应该是对空间的偏导数,然而式(29)不是这样的。此外,文献[9]、文献[10]也没有说明为什么可以这样置换?
4.2.2 电磁场中正确的克莱因-高登方程
正确的做法是:粒子在电磁场中的能量为 E′ = E-qφ(束缚粒子的能量要比自由粒子的能量小,所以是 E′ = E-qφ 而非 E′ = E + qφ),同样,束缚粒子的动量也比自由粒子的动量小,其动量为
(注:q|A| 具有磁势能的特性,
具有动量的量纲,因此
具有磁动量的特征)。电磁场中爱因斯坦能量—动量公式为
相应的算符公式为:
,将
,
代入得

,
在电磁场中依然成立。文献[9]通过一系列推导,还得出了电磁场中协变形式的克莱因-高登方程
事实上,由于四维势 Aμ = (A,iφ) 是唯一能系统描述电磁场的矢量(如果用电场强度和磁场强度,则要用电磁场的张量才能完整地描述)。如果把粒子和电磁场作为一个整体来考虑,那么,能描述它们的矢量应该是两者的线性组合。或者更直接一点,我们可以构造一个新的四维动量(它与粒子和场都有关),即令
(k 为比例系数),显然 k 应该和电荷 q 有关(不同的电荷在场中的能量动量不同,而且 q 为洛伦兹不变量),再考虑到量纲和前面讲的特点(束缚态下的能量动量要小于自由粒子的能量动量),可以确定 k = - q/c 于是有
,显然,
不变量(两个四维矢量的内积必为不变量),这个不变量当然和有无电磁场无关,在没有场时,它为
(见前面的式(26)),有电磁场的时候当然还是这样,所以有
把四维动量换成相应的算符并作用于波函数,再注意
稍加整理可得式(32)。这比直接从式(31)导出式(32)更简单。但是,这也就意味着电磁场中克莱因-高登方程具有构造或猜测的成分。
4.3 由电磁场中的克莱因-高登方程导出薛定谔方程
文献[9]通过设置一个新的波函数,即令
,代入式(31),经过复杂的运算并考虑低速条件下的近似,可得到电磁场中的薛定谔方程(推导过程略)
如果没有磁场,则式(34)就退化为
其中,V(r) = qφ。这正是电场中的经典薛定谔方程。笔者需要指出的是,文献[9]中,表达式 11.1.23 不太妥当,右边没有把动量换成动量算符。
笔者采用的方法远比文献[9]所用的方法简单,由式(30)得

即

,
代入上式并把-qφ 项移到右边,然后作用于波函数得

5 克莱因-高登方程的缺陷
克莱因-高登方程的缺陷主要有两个[9-11],它会引发负概率和负能量的问题,这使它在长达 7 年的时间里不被人重视。下面简单介绍一下这两个问题。
如果定义概率密度 ρ = ψψ *,概率流密度
,则根据薛定谔方程,可以导出连续性方程:
,说明(全空域)概率或粒子数守恒[6-9]。但是,如果仍然沿用这个概率密度和概率流密度的定义,我们却无法根据克莱因—高登方程得出连续性方程。有人想到了一个看似巧妙的方案,重新定义一个 “概率密度”
,“概率流密度”
仍然不变,这样就可以由克莱因—高登方程导出连续性方程
。但是,重新定义的“概率密度”中,不仅包含波函数(或其共轭),还包含波函数对时间的一阶偏导数(或其共轭),而这两者是可以独立变化的(它们没有确定的相关性),从而使 ρ 可以时正时负或某些地方为正,某些地方为负。
关键的问题在于,克莱因-高登方程是一个对时间二阶编导的方程,要求解此方程,必须知道两个初始条件即
和
,而
可以看成“广义速度”(表示状态变化的快慢)。但是,速度或广义速度这个概念,只有对质点或波才有实际的意义(它们有确定的共同速度),对于具有波粒二象性的实物粒子而言,它既非单纯的质点也非单纯的波,因此不可能在初始时刻具有共同的“广义速度”(打个比方,一团旋转并飘移着的云团,或其形状不断变化并运动着的云团,谈论它的初始速度是荒谬的,因为它各部分根本就没有共同的速度)。正是这种荒谬的要求,导致了初始时刻的“概率密度”完全失去了意义(当然,随后的概率密度也没有意义),这是负概率问题产生的根本原因。
除了负概率的困难之外,克莱因—高登方程还存在负能量的问题。因为这个方程是根据
(电磁场中的能动公式),再通过算符和物理量之间的对应关系而得,根据此式,自然有
,因此,该方程的完备解应包含正负两种能量。
负能量在经典力学中不会引发困扰。一方面,正如很多量子力学书上所说,由于开始时刻物体或粒子的能量为正,此后因为能量守恒,它总是正的。另一方面,即使初始时刻能量为负(比如一块石头位于井底,以井口为势能零点,它的势能是负的,动能为零,不计静能,总能为负)也没有问题,物体也能稳定地存在。
但是,在量子力学中,因为有自发跃迁的可能,所以粒子可以不断地向更负更低的能级自发跃迁,导致不断释放能量和不稳定,而这和事实不符(实际的粒子可以稳定存在)
负概率和负能量的问题表明:克莱因高登方程一般不适合作为描述具有波粒二象性的实物粒子(费米子)的波动方程(除非通过特殊的手段,把方程中对时间的二阶偏导降为一阶,才会有较大的应用价值,薛定谔方程正是由此而得)。
克莱因高登方程大约是 1927 年提出的(薛定谔方程为 1926 年提出),但是直到 7 年之后的 1934 年,泡利等人才发现,该方程并不是一个恰当描述单粒子(费米子)状态的波动方程,而是一个描述自旋为零的粒子的场方程。勉为其难,用它来描述单粒子(费米子)状态时,波函数的物理意义就不甚明了(不再像薛定谔方程中的波函数那样,其模的平方表示概率密度)。此时,其模的平方没有明确的物理意义,因而波函数本身也就很难有一个合理的解释。总之,一个对时间二阶偏导数的微分方程,难以很好地描述具有粒二象性的实物粒子(费米子)的状态。尽管克莱因高登方程存在很多缺陷,但是,作为它的近似方程——薛定谔方程,却有很大的价值,这算是“青出于蓝而胜于蓝”的一个范例吧。
6 相互作用的 “规范场论”简介
为了加深对克莱因高登方程的理解,下面简单介绍一下“规范场论”的基本知识[12-13] 。
6.1 “规范场论”的由来
德国女数学家艾米·诺特(Emmy Noether,1882—1935)在 1918 年首先发现,对称性与守恒定律相关。
外尔发现,跟电荷守恒相对应的对称性是波函数的相位不变性(量子力学里粒子的状态是用波函数来描述的,自然有相位),但是由于历史原因,这个相位不变性一直被称为规范不变性,也叫规范对称性(注意,和电荷守恒相关的规范不变性是整体的)。外尔还发现,如果要求这个规范不变性是局域的,那么我们就不得不包括电磁场。
泡利对这个问题做了进一步的研究。1941 年,发表了一篇论文,他在论文里严格证明了 U(1) 群整体规范对称性对应电荷守恒,它的局域规范对称性产生电磁理论,甚至可以直接从它推导出麦克斯韦方程组。
U(1) 是群论中的一个特殊的群,叫酉群或幺正群,数字 1 表示这是 1 阶酉群。杨振宁等人发现,可以用 SU(2) 群来描述弱相互作用,用 SU(2) × U(1) 群描述电弱相互作用用,用 SU(3) 群来描述强力。U(1) 为阿贝尔群,SU(2)、SU(3) 是非阿贝尔群。
6.2 “规范场论”的核心思想
描述电、强、弱相互作用的理论框架叫做“规范场论”,它的基本思路如下:
(1)基本的自由费米子(构成物质的粒子)都具有某种规范对称性;
(2)这种规范对称性可以被定域化,这一步骤需要把自由费米子拉氏量中的偏导数项替换为一个含矢量场的协变导数项;
(3)被定域化后的拉氏量中不仅包含自由费米子项,还包含自由矢量场项和费米子矢量粒子相互作用项。非阿贝尔规范场中还会有矢量粒子的自耦合项。这样一来,相互作用就被引入到了理论当中。下面以具体的例子说明一下。
参与电磁相互作用的是带电荷的粒子。实践表明,电荷只有一种(正负只是它的数值),即它是个 U(1) 荷,所以自由的带电粒子的拉氏量具有 U(1) 对称性。现在将这个 U(1) 对称性定域化,偏导数项替换为一个含矢量场的协变导数项。当然,四维动量算符也可以做相应的替换,即
,这里把偏导
替换为协变导数 Dμ(算符)。这样一来,就会发现拉氏量中出现了带电荷的粒子与这个矢量场的相互作用项,我们把这个矢量场称为电磁场,而把这种相互作用称为电磁相互作用。此时,定域化后引入了相互作用项的拉氏量依然满足 U(1) 对称性,即电磁相互作用项也满足 U(1) 对称性,它对应 U(1) 群。
显然,
,
后,自由粒子的莱因—高登方程
就变为
或
。这个正是电磁场中的莱因-高登方程。
对于强相互作用,参与的粒子带色荷。实验表明色荷有三种(红绿蓝),所以带色荷的自由夸克具有 SU(3) 对称性。同样将这个对称性定域化,就会在拉氏量中引入夸克和矢量场的相互作用项,我们把这个矢量场称为胶子场,把这种相互作用称为强相互作用。同样,定域化后的拉氏量仍然具有 SU(3) 对称性,所以强相互作用对应 SU(3) 群。与此类似,电弱相互租用对应 SU(2) × U(1) 群。
所谓规范群对应相互作用,是指可以通过要求理论的拉格朗日量在相应的规范群的(定域)作用下保持不变,从而对理论的拉格朗日量的形式进行限制。另一方面,因为理论的动力学和相互作用信息都编码在了拉格朗日量中,所以在这个意义下,我们可以说规范群决定了相互作用。
6.3 U(1) 的意义
在数学中,n 阶酉群是 n×n 的酉矩阵组成的群,群乘法是矩阵乘法。酉群记作 U(n),是一般线性群的一个子群,为正交群、辛群与复数群的 3 重交集。最简单的情形是 n = 1,群 U(1),相当于圆群,由所有绝对值为 1 的复数在乘法下组成的群。
U(1),SU(2),SU(3) 在数学角度来看都是李群,从物理角度来看是对系统施加一种变换,让系统在这种变换下具有某种不变性。U(1) 变换在数学上来看就是一种旋转变换,对于规范场也是同样的道理。例如电磁场,系统研究的对象是电子的波函数 ψ 和电磁场 Aμ,施加的变换就是旋转变换
,根据量子力学的要求,系统必须在这种变换下保持不变,Aμ 也要做如下变化:
,所以电磁场对应的就是 U(1) 变换。
7 结语
本文介绍了三种薛定谔方程的引出方法。传统方法认为,在低速情况下,物体的能量可以写成:
,这样做就意味着物体的动量 P = m0v,如果是这样,那么
,于是薛定谔方程将无法建立,或者说这种建立方法不太严密。
本文另辟蹊径,根据爱因斯坦的能量动量公式,级数展开后先建立一个精确的薛定谔方程(22),然后重新设置一个势能零点并定义一个新势能 U(r) = m0c2 + V(r),忽略极小项 ε,最终引出了常见的薛定谔方程(24)和方程(25)。笔者的引出过程简单而又严密。
第三种方法是从克莱因—高登方程导出薛定谔方程,此法虽然很严密,但是比较复杂。此外,笔者还对电磁场中的克莱因-高登方程的由来做了一个必要的说明(采用四维矢量构造法),这在一般的文献中是没有的。还指出了文献[9]、文献[10]的一些不当之处。此外,还简单介绍了克莱因高登方程的缺陷和“规范场论”的基本知识。
笔者的方法之所以简单,有两个原因,首先是克莱因-高登方程对时间和空间的偏导数都是二阶的,这样由它导出薛定谔方程时就会很复杂,而笔者采用级数展开法后,对时间是一阶偏导数,对空间是偶数阶偏导数(包括零阶、二阶、四阶等),低速条件下,可以忽略四阶以上偏导数,这样就大幅度简化了推导过程。其次,很多人由克莱因-高登方程导出薛定谔方程时,采用波函数置换法(设置一个新的波函数),这样推导过程也很繁琐,而笔者采用的是势函数置换法(设置一个新的势能零点和新的势能),大大简化了推导过程。
方法一采用的是牛顿式的思维方式,从特殊到一般(先经典后推广到相对论性),这个方法简单但不严密。方法三则相反,采用爱因斯坦的思维方式,从一般到特殊,从顶层设计到实际应用,(薛定谔方程的引出)严密但较复杂。这一方法的背后隐含着两个假设:一个是傅里叶-爱因斯坦假设(任何粒子都可以看成无穷多个平面电磁波的线性叠加);第二个就是德布罗意假设波粒二象性假设,
,
,对应关系
主要由这两条假设而得。方法二则采用半经典半相对论性的级数展开法,严密而又简单。希望本文能使读者加深对量子力学的理解,有助于量子力学的教学。
参考文献
[1]喀兴林. 高等量子力学[M]. 2 版. 北京: 高等教育出版社, 2001: 63.
[2]黄永义. 薛定谔方程的教学探讨[J]. 大学物理, 2020, 39(6): 25-26.
HUANG Y Y. Discussion on the teaching of Schrodinger equation[J]. College Physics, 2020, 39(6): 25-26. (in Chinese)
[3]宋开欣. 对建立薛定谔方程中一个问题的商榷[J]. 物理与工程, 1987(4): 17-18.
SONG K X. Discussion on a problem in establishing Schrodinger equation[J]. Physics and engineering, 1987(4): 17-18. (in Chinese)
[4]邓俊勋. 关于对非相对论量子力学薛定谔方程中几个疑点的分析与讨论[J]. 甘肃工业大学学报, 1987, 13(1): 96-104.
DENG J X. Analysis and Discussion on some doubtful points in Schrodinger equation of non relativistic quantum mechanics[J]. Journal of Gansu University of technology, 1987, 13(1): 96-104. (in Chinese)
[5]董广宇. 猜出来的方程: 薛定谔方程和狄拉克方程[J]. 现代物理知识, 2016, 28(6): 45-50.
DONG G Y. Guess the equation: Schrodinger equation and Dirac equation[J]. Modern Physics Knowledge, 2016, 28(6): 45-50. (in Chinese)
[6]曾谨言. 量子力学卷Ⅰ[M]. 4 版. 北京: 科学出版社, 2007: 27-59.
[7]张永德. 量子力学[M]. 2 版. 北京: 科学出版社, 2008: 30-46.
[8]朗道, 栗弗席兹著. 量子力学(非相对论理论)[M]. 6 版. 严肃, 译, 喀兴林, 校. 北京: 高等教育出版社, 2008: 45-75.
[9]苏汝铿. 量子力学[M]. 2 版. 北京: 高等教育出版社, 2002: 410-413.
[10]曾谨言. 量子力学卷Ⅱ[M]. 4 版. 北京: 科学出版社, 2007: 384-388.
[11]张永德. 高等量子力学(上册)[M]. 北京: 科学出版社, 2009: 220-228.
[12]王正行. 简明量子场论[M]. 2 版. 北京: 北京大学出版社, 2020.
[13]戴元本. 相互租用的规范场论[M]. 2 版. 北京: 科学出版社, 2005.
作者简介:蔡志东,男,镇江高等专科学校教授,主要从事物理教学科研工作,研究方向为相对论,czd196261@sina.com。
引文格式: 蔡志东. 薛定谔方程引出过程中存在的问题及解决方案[J]. 物理与工程, 2022, 32(4): 115-124.
Cite this article: CAI Z D. Problems and solutions in derivation of Schrodinger equation[J]. Physics and Engineering, 2022, 32(4): 115-124. (in Chinese)
END

对麦克斯韦方程组拓展的评论王青教授:深入理解“拓展的麦克斯韦方程组”——2.0版王青教授:理解王中林院士“拓展的麦克斯韦方程组”“碰瓷”麦克斯韦:伽利略协变和洛伦兹协变电磁场论趣谈热点:运动介质洛伦兹协变电磁理论2021年《物理与工程》优秀论文、优秀审稿专家、优秀青年学者名单王青教授:源自苏格拉底的问题驱动式教育——在互动中共同学习和成长读后感:教育中的现实和远方王青教授:昨晚(6月9日),清华电动力学期末考试朱邦芬院士:“减负”误区及我国科学教育面临的挑战《物理与工程》2022年第3期目录乐永康:新冠肺炎疫情防控下美国物理实验教学及中美情况对比顾牡:对于重新制定的《非物理类理工学科大学物理课程教学基本要求》的认识和体会朱邦芬院士:从基础科学班到清华学堂物理班朱邦芬院士:对培养一流拔尖创新人才的思考李学潜教授:物理是一种文化李学潜教授:如何帮助物理系学生迈过从高三到大一这个坎穆良柱:物理课程思政教育的核心是科学认知能力培养穆良柱:什么是物理及物理文化?穆良柱:什么是ETA物理认知模型穆良柱:什么是ETA物理教学法吴国祯教授:我的国外研究生经历印象——应清华大学物理系“基科班20年·学堂班10年纪念活动”而写
陈佳洱,赵凯华,王殖东:面向21世纪,急待重建我国的工科物理教育王亚愚教授:清华物理系本科人才培养理念与实践葛惟昆教授:关于中外人才培养的几点思考安宇教授:为什么传统的课堂讲授模式需要改变安宇教授:其实教学就是积累的过程刘玉鑫教授:关于本科生物理基础课程教学和教材编著的一些思考沈乾若:重创理科教育的美加课程改革Henderson C:美国研究基金支持下的物理教育研究及其对高等物理教育的影响《物理与工程》期刊是专注于物理教育教学研究的学术期刊,是中国科技核心期刊,1981年创刊,欢迎踊跃投稿,期刊投审稿采编平台:
http://gkwl.cbpt.cnki.net
欢迎关注
《物理与工程》微信公众号
原标题:《薛定谔方程引出过程中存在的问题及解决方案》