原创 William Dunham 返朴
大胆且简洁是欧拉研究的一大特色,仅从初等微积分便可略见一斑。
撰文 | 威廉·邓纳姆(William Dunham,美国穆伦堡学院数学教授)
翻译 | 李伯民、汪军、张怀勇

图片来源:rook76 / Shutterstock.com
无论按何种标准衡量历史上最杰出的数学家,莱昂哈德·欧拉都是其中的佼佼者。在永不枯竭的广泛兴趣的推动下,他使数学发生了彻底的变革,他一方面扩展了像数论、代数学和几何学这样一些早已确立的分支学科的研究范围,同时又创建了像图论、变分学和分拆论这样一些分支学科。数学界在1911年开始出版他的著作集《欧拉全集》,这本身就是一个巨大的挑战。到目前为止(编者注:本文出版于2005年),已经出版了70余卷,达25000多页,还尚未完成此项任务。这个耗费了将近一个世纪时间的庞大的出版项目,充分证明了欧拉与生俱来的过人数学天赋。
这种天赋在分析学中表现尤为突出。在已经出版的欧拉著作集中,就有厚厚的18卷近 9000 页是论述这门学科的。这些著作中包含了函数(1748)、微分学(1755)和积分学(1768)的里程碑式的教材,以及数十篇题材从微分方程到无穷级数以至椭圆积分的论文。因此,欧拉被描绘成“分析学的化身”。[1]
要在这短短一章的篇幅中公允地介绍这些贡献是不可能的。我们仅选择5个主题(编者注:本文仅节选前两个主题:微分和积分),以期能窥探欧拉的成就。首先从初等微积分的一个例子开始,介绍他大胆的——或许有人会说是不顾一切的方法,来说明他如此鲜明的工作特色。
无穷小量等于0
◆ ◆ ◆
欧拉在 1755 年写的《微分学原理》(Institutiones calculi differentialis)这本教科书中,给出了微分学的一些常见的公式。[2]这些公式建立在“无限小量”概念的基础上,他对这一概念的特征描述如下。
毫无疑问,任何量都可以减小直到完全消失,以至最后不复存在。但是一个无穷小量是一种不断减小的量,因此,它在事实上等于0……同其他普通的思想一样,在这种思想中其实并没有隐含什么高深莫测的奥秘,使得无穷小的演算变得如此疑难重重。[3]

对欧拉来说,微分dx就是零:既不多,也不少——一句话,什么也没有。因此,表达式x和x+dx是相等的,并且在必要时可以互换。他注意到“同有限量相比,无穷小量消失为零,因此可以忽略不计”。[4]此外,像(dx)2和(dx)3这样的无穷小量的乘方比dx还要小,所以同样可以随意丢弃。
欧拉通常需要寻求的是微分之比,并且确定这个比值,这相当于对0/0赋予一个值,这是微积分的使命。正如他所说,“微分学的强大之处在于它同研究任何两个无穷小量的比值相关”。[5]
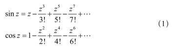
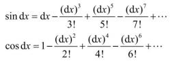
我们以他对函数y=sin x的处理作为一个例证。欧拉从牛顿级数开始(其中我们使用现在的“阶乘”符号):

用微分dx代换z,他推出

由于微分的高次方相对于dx或者常数是可以忽略的,这两个级数化简成
在等式y=sin x中,欧拉用x+dx代替x,用y+dy代替y(这对他来说没有任何改变),然后利用恒等式
和式(2),得到
从两端减去y=sin x,他得到dy=sin x+(cos x)dx-y=(cos x)dx。欧拉把这个结果变成一句口诀:“任意弧度的正弦的微分等于弧度的微分与弧度余弦的乘积。”[6]由此推出,这两个微分的比值自然就是我们所谓的导数,

。非常简单!
善用无穷级数
◆ ◆ ◆
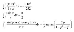
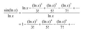
欧拉是历史上最重要的求积专家之一,被积函数越是奇特,他做得越是得心应手。在他的著作中,特别在《欧拉全集》第17卷、第18卷和第19卷中,随处可见下面一类非同寻常的例子:[7]

最后这个公式是超越函数一种多重组合的积分。
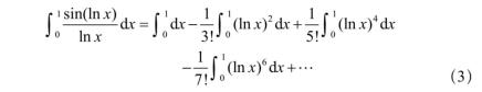
作为一个独特的典型,我们考察欧拉对
的求积过程。[8]
首先,他采用了一个备受推崇的策略:只要可能就引入一个无穷级数。
从式(1),他得到

用积分的无穷级数代替无穷级数的积分,得到

形如
的积分不禁使人联想到前一章的约翰·伯努利积分公式,而欧拉立即看出它们的递归形式:

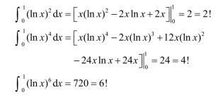
依此类推。正如前一章所见,
,这说明在这样一些不定积分中用0代换x,相应的项变成零。
当欧拉将这个形式的结果用于式(3)时,他求出
这自然是第2章中的莱布尼茨级数,所以欧拉得到
从这个推导可以看出,欧拉同他的前辈们牛顿、莱布尼茨和伯努利兄弟一样,是对付无穷级数的(无畏的)高手。事实上,人们有理由说,在他的前辈数学家们的工作基础上,一种相当高的处理无穷级数的水平造就了这样一位早期的分析学家。
注释
[1] Eric Temple Bell, Men of Mathematics, Simon & Schuster, 1937, p. 139.
[2] Leonhard Euler, Foundations of Differential Calculus , trans. John Blanton,
Spriger-Verlag, 2000.
[3] 同[2], p. 51.
[4] 同[2], p. 52.
[5] 同[2], p. 52.
[6] 同[2], p. 116.
[7] 这些积分分别参见 Leonhard Euler, Opera omnia, ser. 1, vol. 17, p. 407, Opera Omnia, ser. 1, vol. 19, p. 227, Opera omnia, ser. 1, vol. 18, p. 8.
[8] Leonhard Euler, Opera omnia, ser. 1, vol. 18, p. 4.
本文经授权节选自《微积分的历程》(人民邮电出版社,2020年9月版)第4章“欧拉”,小标题和图片为编辑所加。
版权说明:欢迎个人转发,任何形式的媒体或机构未经授权,不得转载和摘编。转载授权请在「返朴」微信公众号内联系后台。
原标题:《看数学大神欧拉如何处理微积分?“非常简单!”》