日前,教育部下发《关于公布2021年度普通高等学校本科专业备案和审批结果的通知》,南京大学、东南大学、南京农业大学、中国矿业大学等多所高校新增一批本科专业,包括数字经济、智慧交通、城乡规划、农业智能装备工程等。


今年,江苏新增备案本科专业111个、新增审批本科专业10个,撤销41个专业点,2个专业调整修业年限。大部分新增专业,服务于新一代信息技术、人工智能等十大新兴产业和重大民生需求。新增专业计划于2022年起开始招生。

南京大学新增数字经济、智能科学与技术专业。其中数字经济专业,旨在培养适应国家数字经济发展需要,熟悉中国数字经济运行规律与改革实践,具备数字经济背景下的经济大数据统计分析、金融大数据应用分析技能,以及产业数字化规划与建设能力,适应地方经济建设和社会发展所需要的高素质复合型专业人才。

东南大学新增密码科学与技术、海洋信息工程、智慧交通专业三个专业,其中,密码科学与技术专业旨在培养具有密码研究能力、开发能力、应用能力、管理能力等方面的人才。海洋信息工程培养具备智慧交通系统设计、应用和数据分析能力的,服务于智慧交通产业发展的创新型、复合型和应用型专业人才。智慧交通专业培养具备智慧交通系统设计、应用和数据分析能力的,服务于智慧交通产业发展的创新型、复合型和应用型专业人才,能够在与交通相关的政府机构、企事业单位、设计院等部门从事智慧交通投资咨询、行政管理、技术服务、系统设计等方面的工作。

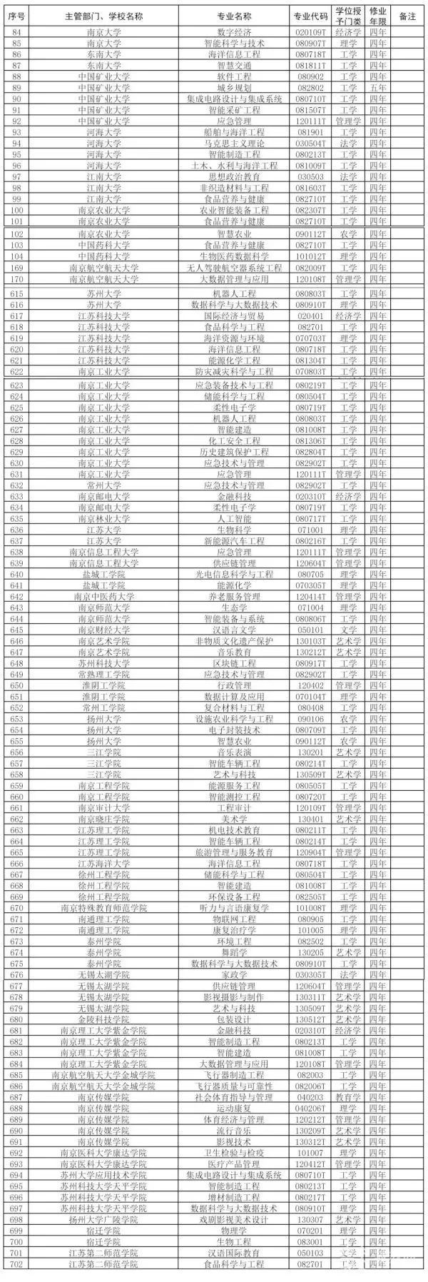
新增备案本科专业名单(江苏)
此外,中国矿业大学新增智能采矿工程、集成电路设计与集成系统、软件工程、应急管理和城乡规划5个本科专业;江南大学新增思想政治教育、非织造材料与工程和食品营养与健康3个本科专业;河海大学新增智慧水利、土木水利与海洋工程、船舶与海洋工程、智能制造工程、马克思主义理论、运动训练6个本科专业;南京农业大学新增智慧农业、农业智能装备工程、食品营养与健康3个专业;中国药科大学新增食品营养与健康、生物医药数据科学2个专业。

新增审批本科专业名单(江苏)
值得一提的是,河海大学新增的智慧水利专业和南京林业大学新增的木结构建筑与材料、智慧林业专业,均是新专业。有利于打破学科专业壁垒,深入新工科、新农科建设,支撑高校主动服务国家战略、区域经济社会和产业发展需要。
更多内容敬请关注
江苏教育新闻

播出频道:江苏教育频道
首播:周一至周五 19:30
原创如需转载,请联系我们授权,并注明出处来源 江苏教育频道(微信号:JSBCeducation)
记者:徐华峰
原标题:《有没有你心仪的专业?2022年江苏高校新增121个本科专业》