伴随2022年北京冬奥会的热潮,冰雪运动也逐渐走进中国人的生活。在冰雪运动中,随处可见高分子的身影。我们从高分子化学与物理的视角出发,体验一场奇特的高分子冬奥盛会。
滑雪镜中的奥妙
滑雪,应该差不多是今年的冬奥会中关注度最高的项目之一了。对于滑雪运动员来说,滑雪镜是他们必不可少的装备之一。滑雪镜不仅可以对眼部起到保护作用,还可以提供防紫外线、防眩光、防止起雾等额外的功能,而这些功能的实现,都离不开现代高分子材料的帮助。

图a. 滑雪运动员和炫酷的滑雪镜(图源网络)
滑雪镜结构
滑雪镜主要包括镜架、镜片和泡沫海绵几个部分,不同的部分都有着不同的制造方式。相比与传统的金属材料(例如不锈钢)或者非金属材料(例如玻璃),高分子材料有着质量更轻的特点,同时仍然有着很好的强度,因此现代滑雪镜中高分子材料的身影正越来越多的出现。

图b. 现代滑雪镜结构(图片来自www.jd.com)
滑雪镜中的高分子材料
1.镜架和泡沫海绵中的高分子材料
滑雪镜的镜架一般选用的是高硬度的热塑性聚氨酯材料(Thermoplastic polyurethanes, 一般缩写为TPU),它是通过二异氰酸酯和二醇的聚合反应合成出来的,如下图c所示。由于分子链之前的氨基和羰基可以形成氢键,聚氨酯分子之间的相互作用力很强,不容易通过外力改变分子的排布状态,反应到宏观上就是材料的强度较高,很少发生不可逆的变形,因此选用聚氨酯做滑雪镜的镜架,可以为滑雪运动员提供更好的保护。

图c. 热塑性聚氨酯的合成和分子结构
选用不同分子结构的异氰酸酯和二醇,也可以合成出性质不同的聚氨酯材料。如今生活中,硬至人造皮革,软至手机外壳,都可以使用不同的聚氨酯来制造。顺带一提,为什么这种聚氨酯名字里面要加一句“热塑性”呢?因为这种聚氨酯的分子都是直线型的,加热到足够的温度之后就可以自由运动,宏观上表现为能够融化成液体,这样就可以趁热进行塑形,为了与另一类网状结构、加热不融化的聚氨酯区别而在名字里加上了“热塑性”三个字。
泡沫海绵中用到的就是另一类网状的聚氨酯。它的合成是把前面的方案中的二醇一部分换成三醇甚至四醇,这样所有的小分子最后都会被连接成一个大网一样的结构。为了保证舒适性,制造海绵的过程中还会加入一些发泡剂,就像发面时加点酵母一样,做出来的海绵就是多孔的,又软又弹,更贴合运动员脸部的同时,也能在必要时提供更好的缓冲。此外,多孔结构也有利于内外空气流通,对防止起雾也有一定的效果。
2.镜片中的高分子材料
为了化学给运动员提供足够的防护,滑雪镜的镜片也需要使用高强度的材料进行制备。易碎的玻璃肯定不合适,不透明的聚氨酯也不能用,最终得到广泛使用的是另一种叫做聚碳酸酯(Polycarbonate,简称PC)的高分子材料,其分子结构展示在下图d中。聚碳酸酯的透明很好,并且在透明材料中强度是最高的,因此被用作镜片的主要材料。不仅仅是滑雪镜的镜片,现代战斗机的座舱盖也可以使用聚碳酸酯,这足以证明这种材料的强度之高。

图d. 聚碳酸酯的合成和分子结构
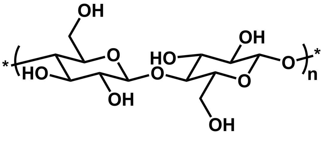
除了聚碳酸酯之外,镜片一般还需要进行进一步的加工,以实现更好的性能。例如为了防止比赛过程中烦人的起雾影响视线,镜片内部会再涂一层醋酸纤维素涂层。纤维素我们都应该很熟悉了,它是自然界中植物纤维的主要成分,我们天天都会摄入。纤维素侧链上也有一大堆羟基可以形成氢键,导致它分子间相互作用超级强,基本溶解不了也融化不掉(不信可以自己试一试)。用醋酸反应掉纤维素中一部分羟基就得到了醋酸纤维素,由于羟基少了,它总算是能溶解能加工了,同时剩余的羟基可以与水有一定的相互作用,使得其表面上的水能够铺展开,而不会聚集成一滴一滴的小水珠,这就起到了防雾的效果。


图e. 纤维素和醋酸纤维素的分子结构
参考文献
[1] 孙晓明, 陈旭红. 从专利申请看滑雪装备的发展进步[J]. 中国发明与专利, 2014, 03: 26-29.
[2] 何曼君, 张红东, 陈维孝, 董西侠. 高分子物理[M]. 上海: 复旦大学出版社, 200703.
[3] EDER, BERNHARD. Perspiration-absorbing and retaining sports goggle edge-lining of soft polyurethane foam hydrophilised by heating and compression[P]. DE3006391, 1981-08-27.
[4] 王李成漳, 郑德龙. 防雾镜片及镜片表面处理方法[P]. 台湾省:CN113219559A, 2021-08-06.
供稿人:曹木青 许华平教授课题组博士研究生
审稿人:许华平 清华大学化学系教授,主要研究方向为动态响应性含硒/碲高分子。中国化学会高级会员,中国化学会化学教育学科委员会副主任委员、中国化学会青年工作者委员会委员。
中国化学会
Chemsoc
原标题:《滑雪镜中的奥妙》