以下文章来源于环境与职业医学 ,作者马文军

环境与职业医学.
CSCD、中文核心、科技核心刊,报道环境因素、职业因素与人群健康关系研究成果。月刊,上海市疾病预防控制中心主办。

近期,暨南大学马文军、广东省公共卫生研究院胡建雄以及合作者在室外气温长期暴露对非意外死亡风险的影响及集中供暖政策对降低冬季死亡风险研究中取得进展,研究结果先后发表于Environmental Pollution和 Urban Climate。


前期许多研究关注环境气温短期暴露对人群非意外死亡的影响。然而,关于环境气温长期暴露的死亡风险的研究不多。此外,冬季人群死亡率明显升高,集中供暖等适应措施可能降低冬季人群的死亡风险,但目前这方面的定量分析也很少。
针对此问题,马文军团队与合作者一起收集了全国364个区/县的死亡数据(图1),匹配了平均气温、相对湿度和空气污染数据,采用基于准实验设计的改进的双重差分设计(difference-in-differences design,DID)进行分析。首先,以年和季节为时间尺度构建数据库,建立广义可加泊松模型(generalized additive Poisson model,GAM),评估了气温的年度和季节暴露对死亡的影响,同时对不同死因、性别、年龄以及社会经济因素进行分组分析。其次,基于中国集中供暖的持续时间(10月至次年3月)重新构建供暖季的模型,量化了供暖措施和供暖时长对死亡的作用,并对比了集中供暖地区与非集中供暖地区供暖季气温长期暴露对死亡的影响。
▼图1 全国364个区(县)的地理分布

来源:Urban Climate
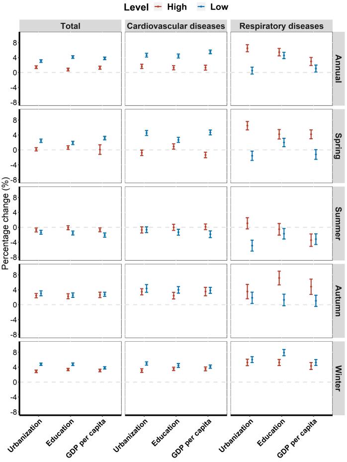
研究发现,环境温度长期暴露与非意外死亡风险的关系呈近似线性关系,年平均温度每降低1℃,死亡风险增加2.93%。其中,气温对呼吸系统疾病的影响(每降低1℃风险增加5.16%)高于心脑血管疾病(每降低1℃风险增加3.43%),对年轻人(每降低1℃风险增加4.21%)高于老年人(每降低1℃风险增加2.36%)。在季节性分析中,夏季气温与死亡率呈正相关,而春季、秋季和冬季为负相关。气温每降低1℃,春、秋和冬季的死亡风险分别增加1.55%、2.88%和4.21%,而夏季则降低0.53%。此外,在城市化率低、受教育程度低和人均GDP低的地区,气温对非意外死亡和心血管疾病死亡的长期影响更高。然而,在呼吸系统疾病方面,除冬季平均气温暴露外,在社会经济好的地区超额死亡风险更高(图2)。
▼图2 不同地区因素下平均温度每降低1℃的死亡风险变化百分比

来源:Environmental Pollution
集中供暖与冬季死亡率呈负相关(OR:0.42,95%CI:0.39,0.46),且对女性、老年人和呼吸系统疾病患者的影响更大。集中供暖时间每减少1周,非意外总死亡的风险上升3.32%(95%CI:3.03%,3.61%)(图3)。进一步分析发现,集中供暖地区供暖季气温对死亡的影响较小,且无统计学意义;非供暖地区供暖季平均气温下降则显著增加死亡风险,尤其是女性、老年人和呼吸系统疾病患者(表1)。
▼图3 供暖时长每减少7天的死亡风险变化百分比

来源:Urban Climate
▼表1 供暖地区和非供暖地区供暖季平均气温每降低1℃的死亡风险变化百分比

来源:Urban Climate
以上研究表明,室外气温的长期暴露与死亡风险有关,夏季气温增高与死亡风险呈正相关,而其他季节的气温增加则与死亡风险呈负相关,脆弱人群易受长期气温暴露的影响;集中供暖政策有效降低了冬季人群由低温引起的死亡风险。因此,应加强研究我国中部和南方地区冬季供暖方式,采取行之有效的措施降低冬季低温对人群健康的危害。
学者简介

马文军
《环境与职业医学》副主编,暨南大学基础医学与公共卫生学院,教授,博士生导师,现为国务院特殊津贴专家、广东省医学领军人才、广东省疾控中心首席科学家。长期从事环境流行病学、疾病预防与控制相关的研究工作。过去5年,作为项目负责人,获得国内外课题20多项,带领团队在Nature Medicine, Nature Climate Change, Gut, Cell, Lancet Public Health, Lancet Planetary Health, Lancet Regional Health-WP等国际期刊上发表论文100多篇。

胡建雄
广东省公共卫生研究院,医师。主要研究方向为环境流行病学和传染病流行病学。近年承担/参与了国家级、省部级项目10余项,以第一作者/共同第一作者发表了国内外论文10多篇。
···THE END···
转自公众号:环境与职业医学
作者:马文军
原标题:《暨南大学马文军团队:长期环境低温暴露增加人群死亡风险,集中供暖明显降低冬季死亡风险》