原创 青春上海 青春上海
上一期青年大学习
上海共有81.1万人参与线上学习
准备好了吗?
我们开始新一期青年大学习!
一百年来,党领导人民进行伟大奋斗,在进取中突破,于挫折中奋起,从总结中提高,积累了宝贵的历史经验。
党的十九届六中全会审议通过的《中共中央关于党的百年奋斗重大成就和历史经验的决议》概括了党百年奋斗的十条历史经验:坚持党的领导,坚持人民至上,坚持理论创新,坚持独立自主,坚持中国道路,坚持胸怀天下,坚持开拓创新,坚持敢于斗争,坚持统一战线,坚持自我革命。
这十条历史经验是系统完整、相互贯通的有机整体,深刻揭示了党和人民事业不断成功的根本保证,深刻揭示了党始终立于不败之地的力量源泉,深刻揭示了党始终掌握历史主动的根本原因,深刻揭示了党永葆先进性和纯洁性、始终走在时代前列的根本途径,具有重大的历史意义和现实指导意义。
回望过往的奋斗路,眺望前方的奋进路,我们必须把党的历史学习好、总结好,把党的成功经验传承好、发扬好。今天让我们跟随四川电影电视学院学生邱文潇和中央团校的五位老师一起,深刻领会党百年奋斗的历史经验,不断汲取前进的智慧和力量。
赶紧长按识别以下二维码
进入学习时间吧
上外青年大学习在过去连续41周
位居上海高校排行榜前列
现平均学习率已经超过80%
为了鼓励团员青年参与青年大学习
上海外国语大学团委做了四方面尝试
高度重视青年理论学习的重要意义
上海外国语大学团委
坚持每月面向全校发布当月
《团组织生活主题内容工作提示》
将每月团组织学习重点内容
列入组织生活的要求中
结合学校办学特色
列理论学习篇目名录、强调青年大学习要求
同时列上实践类学习场所去处
提醒全校团员认真学习和定期开展组织生活
并设立了“一团一品”的特色支部考评方式
注重大学习本身机制化建设
大学习是体现组织工作是否有效的抓手
大学习工作由团委组织部主抓
青年大学习每月学习内容回顾推送
强调青年大学习要求
并依托学生党建团建中心大屏幕
每天滚动播放青年大学习情况
提醒青年团员参与大学习

每月推送总结回顾大学习情况

每周大屏幕公布学习排名
加强各级组织联动
定期召开各院系团委书记和团委副书记工作例会
将当月青年大学习平均学习率和排名进行发布
当场邀请排名靠前的院系团委书记进行经验分享
请各院系吸取先进经验,比学赶超
这件事情抓早抓细
学校的总体氛围比较好
慢慢任务布置会少了
经验交流多了
而且也就成了学校学习的风尚

团组织骨干例会分享开展青年大学习工作经验
充分联系基层团支部书记
通过服务来获得信任
大学习做得好不好,终端连接很重要
核心其实是团支部书记
上外现在建立了学生党建团建中心
通过书记沙龙、特色活动申报、团干部培训等抓手
校团委可以直接联系到全校300多个团支部书记

团支部在校团委的协助下组织红色观影活动
校团委通过与红色场馆、
社区居委、重点企业和有关学校的联动
带动团支部书记可以开展活动
通过学生党团建中心
开展大学习衍生品的周边文创设计
把学生最喜欢的“上外团团”玩偶和周边文创
作为大学习优秀学习个人和支部的纪念品
推陈出新,每月创新,保持新鲜
也增加了团组织在青年中的影响力


团团周边文创激励学习
上一期
各系统学习情况怎么样?
一起来看看吧
(参学数据统计截至12月26日22时)




换了团组织
组织变更到底应该怎么操作?
跟着小申同学一起来看看吧
↓


这周积分商城
又有哪些好东西?
一起来看
↓
“青年大学习”文创又双叒上新啦
马上就要新的一年啦
2022年也要多读书多看报哦~
01
2022全年《青年报》

喜欢青春上海吉祥物的小伙伴看过来
绅士鹿的包包来了
背上你就是路上最靓的崽
02
绅士鹿双肩包

只要每周认真学习
积分商城的文创产品
都有机会带回家哦~
本期的
上海共青团微信公众号影响力排行榜
也准时出炉啦!
上周又有哪些精彩内容?
赶紧来看↓

一周点评
☆ 本周,静安新青年霸榜热文榜前二,投票推文依然有很强的流量,“上海青年五四奖章”的个人和集体评选,你pick哪一位?

☆ 法院人看过来,这是不是你的日常:七大姑八大姨的儿子儿媳闹离婚,问你怎么办;远方的表哥被撞,司机跑了,问你怎么办;许久不联系的同学突然发消息说被骗了,问你怎么办。在他们眼里,学习法律的你是无所不能的。《什么?那个法官被骗了 | 庭前独角兽》俗话说,隔行如隔山,每个法官都术业有专攻,对于纠纷也有无能为力之时,对于风险、陷阱,原来他们也会有被骗的时候。

一周榜单




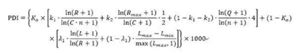
PDI指数是什么
青春上海携手上海交通大学大数据与传播创新实验室(T-Lab)打造全新的PDI(Pandata Index)全景数据评估指数,拒绝过度关注点赞数,更认真地统计峰值,认同潜力值,立志于更科学地为新媒体传播做测算:

文章发布时段:2021年12月19日~2021年12月25日
数据收录时间:2021年12月27日 10:00
2022倒计时5天
滴滴!今年的青年大学习
你都打卡了吗?

漫画:曹雨佳、姚晓霏
点评:扎坦娜 数据汇总:Nala 制表:吴佳斐 整理:扎坦娜
原标题:《青年大学习:党百年奋斗的历史经验(附公众号影响力排行榜)》