原创 奇点糕 奇点网 收录于话题#HPV疫苗 2 个内容 #癌症 130 个内容 #奇点网 49 个内容

可能不少朋友会有此疑问,因为既往宣传中,HPV疫苗总是和宫颈癌绑定在一起,所以难免让人误以为HPV疫苗是女性专属。
奇点糕也是看了今天这个研究才知道,男性感染HPV的概率和女性是一样的[1],全球每年约有7万名男性因感染HPV而罹患阴茎癌、肛门癌、口腔癌或其他头颈部癌症[2]。
不同的是,男性感染HPV后体内产生保护性抗体的水平较女性低,再次感染的风险更高[3];女性肛门生殖器HPV感染率随年龄增长而下降,而男性感染率始终保持不变[4]。
不过不用担心,在HPV疫苗面前,男女平等。

具体来说,在16-26岁接种3剂疫苗者,外生殖器疣、外生殖器病变和肛门上皮内瘤变或肛门癌的发病率分别比未接种者低90.4%、91.8%和75.0%;至少接种1剂疫苗者的相应发病率分别比未接种者低81.8%、78.9%和78.8%。
有个好消息是,16-26岁时未接种疫苗的人在20-30岁补种疫苗后,肛门上皮内瘤变或肛门癌的累积发病率与16-26岁时接种疫苗的人相当。
由此看来,不论男女都有必要接种HPV疫苗。而且,鉴于HPV主要通过性生活或密切接触传播,接种疫苗不止是在保护自己,也是在保护另一半。

接下来,咱们就一起来看看这个研究是如何做的。
如下图所示,研究分为两个阶段。
随访前期:2004年9月3日-2008年8月29日。4065位曾有过1至5名性伴侣且没有性传播疾病病史(HPV感染除外)的男性(16-26岁),被随机分配至早期接种组(2032人)和安慰剂组(2033人),分别接种3剂四价HPV疫苗或安慰剂。自接种完第1针起,平均随访2.9年。期间定期(第1天,第7、12、18、24、30、36个月)检查受试者的肛门生殖器情况(患处活检),检测HPV。随访结束时,分析结果显示,HPV疫苗可有效降低男性HPV感染风险。
随访后期:2010年8月10日-2017年4月3日。安慰剂组补种HPV疫苗。早期接种组和补种组分别有936人(异性恋者:827人;男男性行为者(MSM):109人)和867人(异性恋者:739人;MSM:128人)自愿参加后续随访,最终两组各有709人(75.7%)和664人(76.6%)完成了全部随访。期间每年进行1次肛门生殖器检查和HPV检测。

这些受试者来自澳大利亚、巴西、德国、美国、中国等16个国家。
自打完第1针起至2017年,早期接种组和补种组的中位随访时长分别为10年(0.5-12.1年)和5.2年(0.6-7.2年)。
主要研究终点有两个。对于所有受试者而言:与HPV6或11有关的外生殖器疣发病率,与HPV6、11、16或18有关的外生殖器病变(外生殖器疣、阴茎/肛周/会阴上皮内瘤变、阴茎/肛周/会阴癌)发病率。对于MSM而言:与上述4种型别有关的肛门上皮内瘤变或肛门癌发病率。
次要研究终点为HPV疫苗的免疫原性(抗体几何平均滴度和抗体阳性率)。此外,研究还重点关注了疫苗的安全性(严重不良事件发生情况)。
下面我们来看看具体研究结果。
纵向比较,在早期接种者中,不管是接种3剂疫苗还是至少接种1剂疫苗,随访后期3种结局的发病率都显著低于随访前期。
随访前期,接种3剂疫苗者的外生殖器疣、外生殖器病变和肛门上皮内瘤变或肛门癌(仅MSM)发病率分别为每1万人年13.2例、11.6例和226.5例,至少接种1剂疫苗者的相应发病率则分别为每1万人年27.2例、32.7例和188.2例。
随访后期,没有出现外生殖器疣、外生殖器病变或高级别肛门病变的新发病例,但有1例低级别肛门上皮内瘤变,此人在随访前期感染了HPV51,后期感染了HPV6和58。

再来看安慰剂组的数据。
随访前期,安慰剂组外生殖器疣、外生殖器病变和肛门上皮内瘤变或肛门癌(仅MSM)发病率分别为每1万人年137.3例、140.4例和906.2例。补种疫苗后没再出现过外生殖器疣和外生殖器病变新发病例,但在96位MSM中出现了5例肛门上皮内瘤变或肛门癌。
这说明,没有接种过HPV疫苗的男性,即便已经感染过HPV,还是可以通过补种疫苗来降低后续感染的风险。
横向比较,随访前期,疫苗接种者的肛门生殖器病变发病率显著低于未接种者(安慰剂组)。具体来说,接种3剂疫苗者外生殖器疣、外生殖器病变、肛门上皮内瘤变或肛门癌的发病率分别比未接种者低90.4%、91.8%和75.0%;至少接种1剂疫苗者的相应发病率分别比未接种者低81.8%、78.9%和78.8%。
安慰剂组补种疫苗后,肛门上皮内瘤变或肛门癌的累积发病率与早期接种者相当。这些病例大都是在接种疫苗后的3年内被发现的。

最后再来看看,男性接种HPV疫苗的免疫原性和安全性。
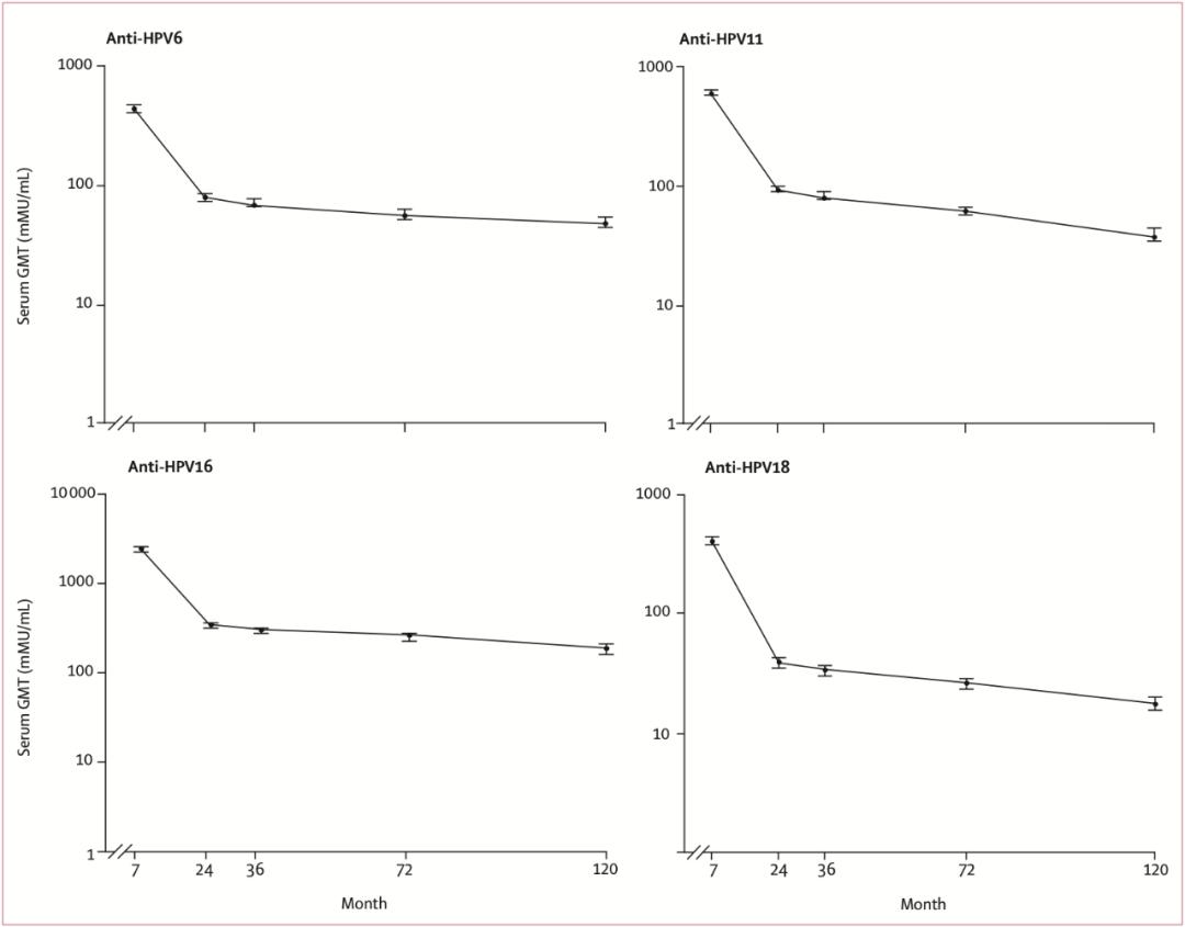
从研究结果来看,早期接种组打完第1针后,体内便能检测到HPV6、11、16和18的抗体,抗体滴度在第7个月时达到高峰,然后在接下来的17个月内大幅降低,随后直至随访结束(第120个月),始终处于比较平稳的状态。第120个月时,这4种型别的抗体阳性率分别为91.7%、92.0%、99.7%和92.1%。在补种组中,也观察到了类似的规律。
也就是说,最好在暴露于HPV前(首次性行为前)完成疫苗接种,如果做不到,还可以通过补种疫苗亡羊补牢。HPV疫苗虽不能治疗HPV,但能触发机体产生抗体,防止再次感染。
这一点也被另外两项研究证实了——接种过四价HPV疫苗的高级别肛门上皮内瘤变患者和外生殖器疣患者,治疗后复发风险分别降低80%和50%[6,7]。

从安全性角度来看,随访期间没有发生与疫苗相关的严重不良事件。
当然,这项研究也有一些局限,比如失访率较高(24%),可能会因此引入选择偏倚(继续参加随访的人的发病风险可能有别于那些退出随访的人)。而且,安慰剂组后期也接种了HPV疫苗,不能在后续长期随访中继续充当空白对照,不过这也是没办法的事,毕竟前期随访已经证实HPV疫苗有预防HPV感染的效果,安慰剂组自然也该尽早完成补种才符合伦理。
此前,另一项研究发现,9-15岁时接种四价HPV疫苗的男性,未来10年内罹患生殖器病变的风险显著降低[8]。因此,研究人员指出,结合两项研究结果来看,四价HPV疫苗是安全的,在9-26岁期间接种,可使机体产生持久抗体,长期降低男性肛门生殖器病变的发生风险。
虽然国内尚未向男性开放HPV疫苗,但相信也不会让大家等太久。在药物临床试验登记与信息公示平台上我们可以看到,针对男性的九价HPV疫苗I期临床试验正在招募受试者,III期临床试验也快启动了。

[1] Partridge JM, Hughes JP, Feng Q, et al. Genital human papillomavirus infection in men: incidence and risk factors in a cohort of university students. J Infect Dis. 2007;196(8):1128-1136. doi:10.1086/521192
[2] de Martel C, Georges D, Bray F, Ferlay J, Clifford GM. Global burden of cancer attributable to infections in 2018: a worldwide incidence analysis. Lancet Glob Health. 2020;8(2):e180-e190. doi:10.1016/S2214-109X(19)30488-7
[3] Lu B, Viscidi RP, Wu Y, et al. Prevalent serum antibody is not a marker of immune protection against acquisition of oncogenic HPV16 in men. Cancer Res. 2012;72(3):676-685. doi:10.1158/0008-5472.CAN-11-0751
[4] Giuliano AR, Lee JH, Fulp W, et al. Incidence and clearance of genital human papillomavirus infection in men (HIM): a cohort study [published correction appears in Lancet. 2011 Jun 11;377(9782):2006]. Lancet. 2011;377(9769):932-940. doi:10.1016/S0140-6736(10)62342-2
[5] Goldstone SE, Giuliano AR, Palefsky JM, et al. Efficacy, immunogenicity, and safety of a quadrivalent HPV vaccine in men: results of an open-label, long-term extension of a randomised, placebo-controlled, phase 3 trial. Lancet Infect Dis. 2021;S1473-3099(21)00327-3. doi:10.1016/S1473-3099(21)00327-3
[6] Goldstone SE, Johnstone AA, Moshier EL. Long-term outcome of ablation of anal high-grade squamous intraepithelial lesions: recurrence and incidence of cancer. Dis Colon Rectum. 2014;57(3):316-323. doi:10.1097/DCR.0000000000000058
[7] Silvera RJ, Smith CK, Swedish KA, Goldstone SE. Anal condyloma treatment and recurrence in HIV-negative men who have sex with men. Dis Colon Rectum. 2014;57(6):752-761. doi:10.1097/DCR.0000000000000080
[8] Ferris DG, Samakoses R, Block SL, et al. 4-Valent Human Papillomavirus (4vHPV) Vaccine in Preadolescents and Adolescents After 10 Years. Pediatrics. 2017;140(6):e20163947. doi:10.1542/peds.2016-3947

