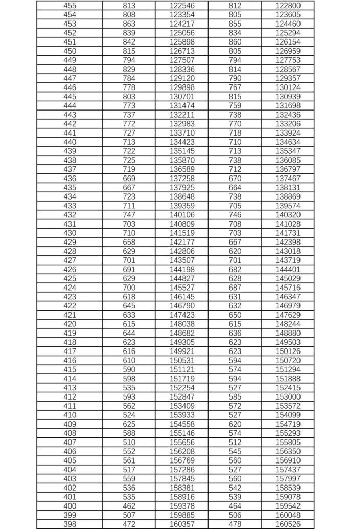
湖南省2021年普通高考档分1分段统计表
(物理科目组合)
(点击可查看大图)










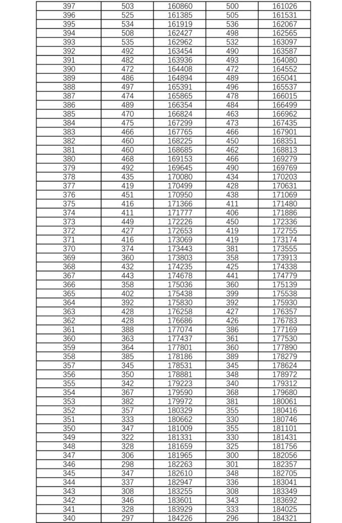
湖南省2021年普通高考档分1分段统计表
(历史科目组合)
(点击可查看大图)










原标题:《刚刚发布!湖南2021高考1分段表来了!》
媒体:红网 2021-06-24 22:23
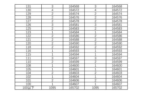
湖南省2021年普通高考档分1分段统计表
(物理科目组合)
(点击可查看大图)










湖南省2021年普通高考档分1分段统计表
(历史科目组合)
(点击可查看大图)










原标题:《刚刚发布!湖南2021高考1分段表来了!》