近日
中国民用航空局公布了
《2020年民航机场生产统计公报》
报告显示
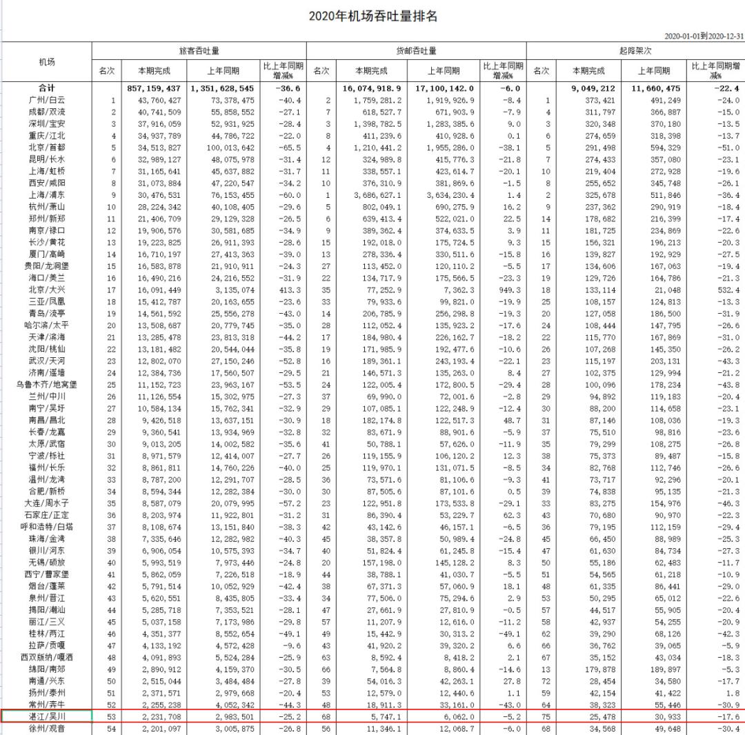
2020年中国境内运输机场共计241个,其中定期航班通航机场240个。其中广州白云机场以4376万人次的旅客吞吐量位居榜首,成都双流机场、深圳宝安机场名列旅客吞吐量榜单第二、三位。湛江机场则以223万多人次,名列旅客吞吐量排行榜第53位。

△点击查看大图
(数据来源:中国民用航空网)
和全国这么多大机场PK
湛江机场排名靠前
也是棒棒哒了!
很是自豪有木有?
在疫情进入常态化防控后,湛江机场创造条件加速恢复和拓展国内航线航班。尤其是进入2020下半年以来,恢复水平在全国同量级机场处于领先地位。

湛江机场能取得如此成绩
离不开湛江的美景
赶紧按照这些旅游线路
来探索湛江的风情吧
01
“一路向南,探寻诗与远方”
湛江市区出发至徐闻,赏田园风光,体验乡村风情,游览合水线,到处走一走,体验特色民宿、赶海、拾海螺。

徐闻
这里一年四季阳光充足
海湾和岛屿众多
是闻名全国的“汉代海上丝绸之路的始发港”
这里有与海南自贸区对接的徐闻港
可以一起去打卡哦

徐闻还是个农业大县
盛产热带亚热带作物
除了广为人知的“菠萝的海”
还有“中国香蕉之乡”之称
还有南极村、徐闻古港、海安白沙湾、
贵生书院、角尾珊瑚礁自然保护区、
龙泉森林保护区和大汉三墩等景点
和丰富的旅游资源
02
“探访国家历史文化名城”
湛江市区一路开往雷州,游览雷州历史博物馆、雷州西湖,逛骑楼街,行雷祖祠,看三元塔……赴乌石镇,参观具有国际范的乡村手作博物馆,感受被誉为中国西海岸最美落日的美丽景色,到海边湿地探访蜂鸟等迁徙鸟类的秘密。

天南重地,海北名邦
雷州是国家历史文化名城
雷城内风情万种,绰约多姿
名胜古迹,星罗棋布
雷祖祠、西湖、三元塔、天宁寺等景点
展现了独特的雷州文化
03
“吴川,中国民间文化艺术之乡”
到吴川游览林召棠故居,游览德萨斯牛仔小镇,游览鼎龙湾沙滩风情街,到吴川稳村感受乡村新风貌……

“北有温州,南有吴川”
吴川是著名的“中国建筑装饰之乡”
也获得“中国羽绒之乡”、“中国塑料鞋之乡”、
“中国月饼之乡”等美誉

吴川的人文特色享誉全国
无论是吴川飘色、美味的吴川月饼
还是吉兆湾、陈兰彬故居、状元祠等景点
都是吴川被称为“中国民间文化艺术之乡”的证明
04
“田园风光,探访圣人踪迹”
湛江市区出发至遂溪岭北,游览千年古官道,感受南粤古驿道的文化魅力;至螺岗小镇,感受生态农庄、田园风光;游览遂溪孔子文化城,接受儒家文化休闲氛围熏陶;至金龟岭农庄,体验农业种植及摘果,品尝农家乐。

醒狮之乡遂溪县
也是雷州文化的发祥地之一
是雷州半岛最早有人类居住的地方
称为“雷州半岛第一村”
遂溪风景秀丽,气候宜人,农产富饶
是著名的“鱼米之乡”
以及“中国醒狮之乡”、”中国第一甜县”
还是粤西“红色革命老区”所在地
有角头沙、江洪仙群岛、遂溪护国寺等景点
05
“摘果尝绿,探访乡村古镇生态”
到廉江游览高桥红树林生态旅游区,欣赏全国连片面积最大的红树林保护区的湿地风光;游览平山岗村,感受新农村的风貌……游览鹤地水库,到杨桃沟及周边果园,采摘水果—游览茗上茗茶家乐景区,体验摘茶、炒茶等茶文化。

廉江境内多代地层出露齐全
岩浆活动频繁
褶皱断裂构造发育成矿
地质条件良好,矿种众多
素有“花岗岩王国”之称

廉江工业类别齐全
尤其以电饭煲产业表现突出
盛产水果,号称“百果之乡”
廉江红橙全国知名

这里空气清新
自然资源丰富
高桥红树林、鹤地水库等
都是全国闻名的景点
有“人造海”之誉
06
“愉悦身心,硇洲岛海鲜大餐”
赴中国最大的火山岛硇洲岛,游览那晏海石滩,观赏湛江最大规模的柱状火山熔岩节理景观;游览硇洲灯塔,探访宋皇朝遗址、祥龙水院、宋皇井等;体验海钓、赶海等活动;品尝海鲜大餐……

经开区一直大力发展高科技工业项目
打造湛江工业主战场
前途无可限量

除此之外
经开区还拥有拥有龙海天旅游区、
硇洲灯塔、 硇洲岛等旅游景点
既注重经济发展
也注重自然和人文资源的保护
07
“尝花品卉,探访世界地质公园”
在麻章区逛公园:世界地质公园湖光岩风景区、三岭山国家森林公园、南亚欢乐田园景区等等,体验户外电玩游乐项目,采摘时令水果……

以玛珥火山地质地貌为主体的湖光岩、
华南地区最大的养鹿基地坐落在麻章区
环境优美,风景怡人
还得名“火龙果之乡”
看完这些你还在犹豫什么?
赶紧找机会来领略湛江风情

原标题:《2020年全国机场旅客吞吐量出炉!湛江→》