原创 曹则贤 返朴 收录于话题#贤说八道42个
什么样的人是名人?把自己的姓氏活成形容词、名词甚至动词的,那是真名人。
撰文 | 曹则贤(中国科学院物理研究所)
偏离天道者翻车!注释[1]
——厄米特
摘要 厄米特,一位令人万分敬仰的数学巨人,在数学的各个领域都留下了不可磨灭的足迹。厄米特高中毕业即成为一流数学家但却几经波折于6年后才得以大学毕业,入选法国科学院13年后依然是个大学改作业的助教,研究成果誉满天下27年后才当上教授。他是为数不多的把自己的姓氏活成形容词的人,hermitian后面可以加上的数学概念不胜枚举,每一个学数学、学物理的人都略知一二。他是一位好老师,其学生之一是震烁古今的全才学者庞加莱。
1
引子
作为一个物理系的学生,笔者是在大二的数学课上首次接触到厄米特 (Charles Hermite, 1822-1901) 这个名字的。厄米特矩阵 (Hermitian matrix) 是其转置共轭等于自身的矩阵, A=A+,写成 (复数) 矩阵元的形式则为
。厄米特矩阵,如同实对称矩阵,其本征值总为实数!若 A 是 n×n 的厄米特矩阵, v 是n-维矢量,则二次型
总是个实数。后来学量子力学,课本说这样的矩阵对应自伴随算符 (self-adjoint),也就是厄米特算符。这样的算符,以及对应的矩阵,是厄米特的,因为本征值是实的,故这样的算符可以对应可测量物理量。
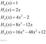
在数学物理方程和量子力学课上, 笔者还学到了厄米特多项式 (Hermite polynomials),
,
,具体列出来有如下的三角形形式, 很美的:

厄米特多项式有正交关系,对于 m≠n ,有
,可以看到这里的关键是一个加了权重因子
的空间里的故事。它可以用于解量子谐振子的薛定谔方程。
以当时我能注意到的数学、物理著作里的名人来说,仅凭这两项厄米特也算是名列前茅了。这是个什么样的人呢?

图1. Charles Hermite (1822-1901)
2
厄米特小传
厄米特出生于1822年 (图1),是父母七个孩子中的老六,右足有严重的残疾。在他7岁的时候,厄米特全家从洛林地区搬到了法国名城南希。厄米特可说是上了最好的中学,他先是上了Collège de Nancy,后又转往巴黎的Collège Henri IV,1840-1841从Lycée Louis-le-Grand (路易大公中学) 毕业,这是伽罗华15年前学习过的学校,指点厄米特数学的是著名数学家卡塔兰 (Eugène Charles Catalan,1814–1894)。注意,在法语中Lycée是中学,Collège也可以是中学,École (school) 可以是大学,而中学老师也可称为professor(所谓授业解惑者也)。据说和他的学长伽罗华一样,厄米特喜欢阅读欧拉、高斯和拉格朗日的著作。对一个要成为真正学者的人来说,早点遇到大学者很重要啊,阅读经典很重要啊,它其实是必由之路。
在花了整整一年时间备考以后,1842年厄米特考入了著名的巴黎工科学校(l’école polytechnique)。这是一所带有军事性质的学校,因其数学教育而闻名于世。然而,根据法国教育当局1843年新年实行的一道命令:“身体不健全者不得进入工科学系”,厄米特被拒绝入学。后来,虽经其父母周旋,1843年2月重又被批准入学,但到开学时厄米特并未回到学校,后又于1844年新年退学。据说经过了五年的自修 (after spending five years working privately towards his degree),厄米特终于在1847年7月1日通过了文学学士 (baccalauréat ès lettres) 考试,当月12日通过了数学学士 (baccalauréat ès sciences mathématiques) 考试,最终于1848年5月9日获得了数学专业毕业证书 (licence ès sciences mathématiques)。毕业后,厄米特被巴黎工科学校聘用为改作业的助教和入学考试监考老师 (répétiteur et examinateur d'admission)。
厄米特1842年就发表了“五次代数方程不可解的证明”这样的一流数学成果,1856年当选法国科学院 (Académie des Sciences) 成员。然而,迟至1869年他才被母校和巴黎大学聘为数学教授,那时他的数学研究成果已是铺天盖地了。他1876年从母校退休,但在巴黎大学工作到辞世,其间于1862-1873年在巴黎高师兼职讲师。厄米特70岁生日时被授予法国“荣誉军团”高级军官衔。
3
厄米特的数学成就
很难具体谈论厄米特的数学成就,因为他的数学成就太多。简单罗列一下以他的名字命名的部分数学概念,就足以让人们大为震惊。以Hermite 命名的数学概念包括但不限于以下诸条:
Cubic Hermite spline (一类三次样条)
Gauss–Hermite quadrature (二次型)
Hermite distribution (分布函数)
Hermite–Lindemann theorem (关于超越数的定理)
Hermite constant (与格点几何有关的一个常数)
The Hermite–Hadamard inequality (关于凸函数及其积分的不等式)
Hermite interpolation (插值法)
Hermite normal form (矩阵形式)
Hermite numbers(与厄米特多项式关联的整数)
Hermite polynomials (多项式)
Hermite reciprocity (关于二项式不变量的互反律)
Hermite ring (环)
Hermite's cotangent identity (余切恒等式)
Hermite's identity (关于实数之整数倍的小数部分的恒等式)
Hermite's problem (表述实数的问题)
Hermite's theorem (只有有限多个数域有小于给定值的判别式)
Einstein–Hermitian vector bundle (矢量丛)
Hermitian adjoint (伴随算符)
Hermitian connection (多联络)
Hermitian form (特殊的六线性形式)
Hermitian function (函数)
Hermitian manifold/structure (多流形)
Hermitian matrix (矩阵)
Hermitian operator (算符)
Hermitian symmetric space (对称空间)
Hermitian transpose (转置)
Hermitian variety (簇,对四次型的推广)
开篇我已经说了,对于物理爱好者来说,Hermitian operator (算符),Hermitian matrix (矩阵),Hermitian transpose (转置), Hermitian adjoint operator (伴随算符) Hermite polynomials (多项式),Hermitian function (函数) 这几个概念大家一般都很熟悉。厄米算符,即自伴随算符,对应的矩阵表示为厄米矩阵,即转置复共轭等于自身的矩阵;厄米矩阵的本征值为实数,对应的本征矢量作为一组完备正交基构成一个矢量空间。这是初等量子力学的关键内容。
厄米特的成名一战是1842年关于一元五次代数方程不可解证明。但是因为有阿贝尔、伽罗华的工作作为对比,故而厄米特的这项成就,虽说是在上大学前就做出来的,也未为他带来多少学术声誉。然而,厄米特伟大的地方在于他能破能立。证明五次方程代数不可解是一类工作,为其找到其它可能的解表达式是另一类性质的工作。1858年,厄米特给出了五次代数方程的椭圆函数解,详情参见拙著《云端脚下》。
厄米特为人所称道的一项伟大工作是关于超越数的证明。所谓的超越数,就是不可能是代数方程根的数。1873年,厄米特证明了自然对数的基,e,是个超越数。厄米特的证明用到了一个很俏皮的积分式,
,这个等式最右侧一项就是把原来积分中的 f(t) 替换成了 f'(t)。继续积分下去,会出现函数 f(t) 的每一阶导数。想想多项式经过有限阶微分总会为0,这事儿会有个了断。假设函数 f(x) 是多项式,定义
,故有
。注意,函数 ex 的微分还是 ex,e0=1。现在,假设 e 是某个代数方程的解,即满足方程
,则有
。因为有代数方程,上式右侧第一项为零,故得
。厄米特接下来选择
,其中,p是个任意选择的足够大的质数,
,然后证明了式左侧是个非零足够大的数而右侧是个足够小的数,从而引出矛盾。这个反证法过程中用到的积分、函数的构造都很精巧,可见厄米特数学的基本功格外扎实。笔者有个感慨:大师来自对细节的深刻把握。
能证明e是超越数的人自然会瞄上π是超越数的证明。但是,这类问题的证明太耗费心神了。以笔者愚见,若证明过程没带来新的数学,这样的证明也就是个游戏而已。在一封给朋友的信中,厄米特写道: “我可不想证明π的超越性了。如果有别人从事这项事业,没有比我会更为他们的成功感到高兴的了。但是,请相信我,我的朋友,这绝对会让他们大费周折。(Je ne me hasarderai point à la recherche d'une démonstration de la transcendence du nombre π. Que d'autres tentent l'entreprise, nul ne sera plus heureux que moi de leur succès, mais croyez-m'en, mon cher ami, il ne laissera pas que de leur en coûter quelques efforts.)” 1882年,德国人林德曼(Ferdinand von Lindemann,1852-1939) 成功证明了π的超越性。
4
厄米特的秉性
厄米特生来右足残疾,这让他的父母非常为他担心。据说,小时候的厄米特天性开朗,招人疼爱。1842年入巴黎工科学校一事遭遇不顺,但在这期间他却同法国数学家伯特兰 (Joseph Bertrand, 1822-1900),刘维尔 (Joseph Liouville, 1809-1882),德国数学家雅可比 (Carl Gustav Jacob Jacobi,1804-1851) 建立了深厚的私交,并频繁地交流学术思想。他1848-1869年间在巴黎工科学校做了21年的助教和辅助入学考官,期间还于1856年入选法国科学院,可见其成就是为同时期的法国数学界认可的。或许是命运决定心情,厄米特终究心有不平吧,他的文字总散发着谦卑,而且还有随时准备维护他发现有优点的同事的意愿 (his willingness to fight for colleagues whose merit he discerns)。厄米特确实赢得了后辈数学家的敬重,因为他注重数学教学,善于发现激励后进。据说他的教学不是瞄着严格的细节,而是奔着激发对美且简单之事物的赞赏 (but towards exciting admiration for things simple and beautiful) 去的。厄米特的讲义对数学传播有着广泛的影响,他培养的学生中有震烁古今的全才庞加莱 (Henri Poincaré,1854-1912),学生中有此一人足以引以为傲了,估计这方面和他能相提并论的物理学家仅有索末菲一人。厄米特另一个著名的学生是Thomas Stieltjes (1856-1894), 我们学积分的时候会遇到Stieltjes积分。这个荷兰人的姓的汉译似乎没有共识。
厄米特涉猎极广,故而在别人看来他的思维完全不按照逻辑运行。据庞加莱说,“把厄米特称为逻辑学家,没有比这和事实更南辕北辙的了。(研究) 方法是以一种神秘的方式存在于厄米特的脑子里的。我觉得这就对了。做科学的所谓方法如果有迹可循,那要么是研究者真不会,要么是研究对象是没价值的伪问题或者平庸问题。
5
多余的话
行文至此,忽然想聊聊什么是名人的问题。什么人是名人?从人之姓名演化的视角而言,粗略想来,有这么几种情况。一是使得自己的姓名纳入了某种现象的描述,这样的人可算名人,比如“姜太公钓鱼——愿者上钩”中的姜尚,华佗再世里的华佗,东施效颦里的东施与西施,剪影(silhouette)一词里的Etienne de Silhouette。二是把自己的姓氏活成形容词的人,比如由Isaac Newton (牛顿), Charles Hermite,Bernhard Riemann (黎曼) 的姓氏而来的newtonian, hermitian,riemannian就是数学、物理文献中常用的形容词。三是把自己的姓氏活成了名词的人,比如由Pierre-Simon Laplace (拉普拉斯), Joseph-Louis Lagrange (拉格朗日),William Rowan Hamilton (哈密顿)姓氏而来的Laplacian (拉普拉斯算子),Lagrangian (拉格朗日量)和Hamiltonian (哈密顿量),这是数学、物理的基本概念,未来这几个概念进入小学课本也不令人惊讶。第四类是把自己的姓氏活成了动词的人, 比如陈省身 (S.S. Chern)。Chern姓作为名词见于Chern number (陈数),指一类拓扑指标,而计算一个几何体系之陈数这个劳作有如下表达:Chern it up.
厄米特一生的遭遇可能对于我们来说尤为难以接受。他1856年入选法国科学院,是名满天下的数学家,但还是在巴黎工科学校继续干了13年的助教。不过有趣的是,厄米特本人似乎安之若素。其实,人家的学校可不是那种光打鸣不下蛋的母鸡。查看一下巴黎工科学校的教师和毕业生名单,厄米特这样的杰出人物一抓一大把。再者,他们德法一带的社会讲究一码归一码,一个人不会因为一项成就获得了诺奖或者当选了某个academy, society or institution 的member or fellow (学园、学会或者机构的成员、伙计) 就必定要给个教授加乡绅的头衔。一个在数学、物理领域做出过发现的人未必就不需要完整的受教育经历,未必是个合格的教授,也未必就有指导他人研究的能力与兴趣。赢者通吃是山大王的传统,是对专业的蔑视。
参考文献
1.Charles Hermite,Considérations sur la résolution algébrique de l'équation du 5e degré,Nouvelles annales de mathématiques : journal des candidats aux écoles polytechnique et normale, Série 1, Tome 1329-336 (1842).
2. Emile Picard (ed.), Œuvres deCharles Hermite, Gauthier-Villars, vol. I(1905); vol.II (1908); vol. III(1912).
注释
[1] He who strays from the paths traced by providence crashes. —Hadamard cited Hermite
版权说明:欢迎个人转发,任何形式的媒体或机构未经授权,不得转载和摘编。转载授权请在「返朴」微信公众号内联系后台。
原标题:《厄米特:路途坎坷的天才数学家丨贤说八道》