原创 柳叶刀 柳叶刀TheLancet

《柳叶刀-公共卫生》(The Lancet Public Health)近日发表来自中国疾病预防控制中心慢性非传染性疾病预防控制中心周脉耕研究员团队及北京师范大学的联合研究。研究显示,2015-16年中国有1.3%的成人在过去30天内使用过电子烟,而该比例于2018-19年上升至1.6%。该研究首次报告了近年中国成人电子烟使用现况和变化趋势,为中国电子烟限售政策的评估提供了基线数据。现阶段有传统香烟使用历史的电子烟使用者中,电子烟的使用与每日吸烟、平均每日吸20根以上香烟、试图戒烟有关;在从未有吸烟历史的电子烟使用者中,电子烟的使用与知晓统香烟的危害有关。作者呼吁中国应调整烟草控制策略,以应对在青壮年、肥胖人群,以及意识到吸烟危害但无传统香烟使用历史的电子烟使用者这三类人群中电子烟使用率升高。
作者介绍
周脉耕
中国疾病预防控制中心慢病中心副主任,研究员,流行病与卫生统计学博士,博士生导师,中国卫生信息与健康医疗大数据学会慢病防治与管理专业委员会主任委员,国家百千万人才工程专家。研究领域包括慢性病防控,人群健康测量与评价,环境与健康等方面。
《柳叶刀-公共卫生》(The Lancet Public Health)近日发表来自中国疾病预防控制中心慢性非传染性疾病预防控制中心周脉耕研究员团队及北京师范大学的联合研究。研究报告了2015-16年至2018-19年期间中国18岁以上成人的过去30天电子烟使用率及其相关因素。该研究首次报告了近年中国成人电子烟使用现况和变化趋势,为中国电子烟限售政策的评估提供了基线数据。
研究结果表明,2015至2019年间,中国电子烟使用者数量显著增加。2015-16年,中国成人过去30天电子烟使用率估计为1.3%,其中男性为2.5%,女性为0.1%。从2015-16到2018-19年,中国成人电子烟使用率从1.3%上升到1.6%,新增成人电子烟用户约为335万,其中男性为320万,女性为15万。(Figure 1)

Figure 1: Prevalence of past 30-day e-cigarette use (A) and e-cigarette awareness (B) in 2015–16 and 2018–19 among Chinese adults, overall and in current smokers
Data represent weighted estimates from the China Chronic Disease and Nutrition Survey 2015 (n=189 306) and 2018 (n=184 475). Populations for the years 2015–16 and 2018–19 were standardised with the 2010 population census to gain comparable estimates. Error bars show 95% CIs. The unweighted denominators were much greater than 50 for all subgroups apart from current female smokers aged 18–29 years; in this subgroup, the unweighted denominator was 61 in 2015–16 and 50 in 2018–19, and these results should be interpreted with caution. Among the total population, awareness of e-cigarettes significantly increased in 2018–19 compared with 2015–16 (p<0·0001). p values are shown in appendix 2 (p 12).
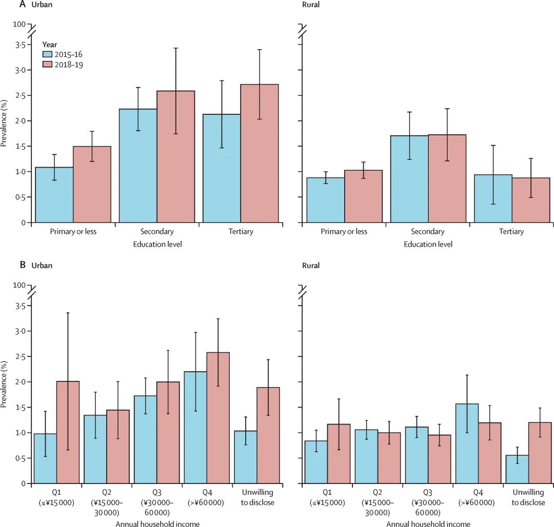
中国电子烟使用人群的特征与发达国家有所不同。研究显示,在18-29岁人群、城市居民、中学及以上教育程度人群、年收入水平较高人群、工厂或建筑手工业工人、肥胖人群中,电子烟使用率较高。与瑞典和美国等发达国家形成对比的是,教育水平较高或收入水平较高的中国人群更可能使用电子烟。这意味着公众对于尼古丁或电子烟所可能含有物质的健康危害仍然缺乏了解。此外,从2015年到2019年,家庭收入水平较低的人群增加了电子烟的使用,这可能加剧健康不平等性。(Figure 2)

Figure 2: Prevalence of past 30-day e-cigarette use in urban and rural areas in China by education level (A) and annual household income (B) in 2015–16 and 2018–19
Data represent weighted estimates from the China Chronic Disease and Nutrition Survey 2015 (n=189 306) and 2018 (n=184 475). Populations for the years 2015–16 and 2018–19 were standardised with the 2010 population census to gain comparable estimates. Error bars show 95% CIs. p values are shown in appendix 2 (p 13).
研究显示中国与其他国家有类似的电子烟使用模式。一、与其他国家类似,电子烟也受到中国青少年和青壮年的欢迎。二、电子烟使用者绝大多数正在吸传统香烟,2018-19年96.2%的中国电子烟使用者现在正在吸传统香烟。三、从未吸过传统香烟的人很少使用电子烟,但意识到传统烟草危害的从未吸烟者使用电子烟的可能性较高。四、肥胖人群更有可能使用电子烟。
重要的是,研究特别关注了中国18至29岁青壮年电子烟使用情况。中国18-29岁青壮年电子烟使用率从2015-16年的2.0%显著上升至2018-19年的2.7%。由于尼古丁对青壮年大脑发育的危害,美国疾控中心建议青壮年切勿使用电子烟或雾化产品(含尼古丁或四氢大麻酚)。而中国目前对电子烟销售和推广的监管只针对18岁以下青少年。此外,鉴于中国年轻女性吸烟率持续上升,电子烟对胎儿大脑发育影响尚不明确,研究者建议公共卫生政策制定者对该领域加大投入,制定防控方案。
全球对于电子烟是否可用于吸烟者戒烟仍存在争议。本研究表明,电子烟的监管政策可能会影响多达1690万中国人的健康。我们鼓励那些想戒烟的人到戒烟门诊咨询个性化建议,呼吁公共卫生界关注电子烟使用对健康的短期和长期影响,并持续对其监测并加以监管,对不同人群制定差异化的电子烟政策和公众教育策略,以应对电子烟对烟草控制带来的新挑战。END
题图Copyright © Getty Images